1. 서 론
2. 압입시험 및 취성도 산정
2.1 압입시험
2.2 취성도 산정방법
3. 취성도 간의 상관관계 분석
3.1 기울기지수와 하중데이터기반 취성도
3.2 기울기지수와 기존 취성도 지수
3.3 하중데이터기반 취성도와 기존 취성도 지수
4. 결 론
1. 서 론
암석의 취성도(brittleness index)는 암석의 파괴거동을 분류하는데 중요한 특성 중 하나로 고려되고 있다. 취성도의 정의에 대한 합의는 이루어진 바 없으나, 일반적으로는 재료가 하중을 받을 때 급격하게 하중지지 능력이 저하되면서 파괴에 다다르는 성질을 의미하는 것으로 설명되고 있다. 상대적으로 빠르게 파괴상태에 도달할수록 취성적(brittle)인 거동을 하며, 반대의 경우에는 연성적(ductile)인 거동을 하는 것으로 구분한다. 이러한 취성도를 정량적으로 산정하기 위한 연구들이 지속적으로 수행되어오고 있으나, 아직까지 표준화되어 있지 못한 상황이며 연구자들에 따라 다양한 방식으로 정의되어 활용되고 있다. 취성도를 정의하기 위한 다양한 방식들에는 암석의 압축강도와 인장강도를 통해 산술적으로 계산하는 방법(Hucka and Das, 1974, Altindag, 2003, 2010), 응력-변형률 선도를 이용하는 방법(Hucka and Das, 1974, Meng et al., 2015, Liang et al., 2017), 탄성정수(elastic modulus)를 이용하는 방법(Rickman et al., 2008, Chen et al., 2014, Luan et al., 2014), 특별한 시험을 통해 산정하는 방법(Bruland, 1998, Copur, 1999, 2003, Yagiz, 2009, Jeong et al., 2012, 2016) 등 여러 방법이 소개되어 오고 있다.
TBM을 비롯한 다양한 기계굴착장비에 의한 암석의 절삭에서는 암석의 상대적인 취성도에 따라 암반의 파쇄특성이나 효율이 달라지는 것으로 파악되고 있다. 따라서 선행 연구(Goktan, 1991, Bruland, 1998, Kahraman, 2002, Altindag, 2002, 2003, 2010, Gong and Zhao, 2007, Yagiz, 2009, Jeong et al., 2016, Dursun and Gokay, 2016)에서는 암석의 취성도와 기계굴착장비의 절삭력, 비에너지, 굴진율 등과의 경험적인 상관관계를 분석하기 위한 연구를 지속적으로 수행하여 오고 있다. TBM의 굴진성능 평가를 위한 대표적인 예측모델인 CSM모델과 NTNU모델에서는 압입시험(punch penetration test)와 S20 지수를 통해 암석의 취성도를 산정하여 굴진성능 평가를 위한 입력변수로 활용하고 있다(Bruland, 1998, Copur, 1999, Yagiz, 2002).
본 연구에서 대상으로 하는 압입시험(punch penetration test)은 Handewith(1970)에 의해 소개된 이후 여러 연구자들에 의해 그 활용방법에 대한 연구가 지속되어 오고 있다(Cook et al., 1984, Dollinger et al., 1998, Copur et al., 2003, Yagiz, 2009, Jeong et al., 2012, 2016). 주로 암석의 물성을 간접적으로 평가하거나 혹은 TBM 및 로드헤더의 굴진성능 예측을 위해 활용되고 있다. 압입시험에서는 콘형태의 압입자(indenter)를 암석에 관입시켜 관입되는 깊이에 따라 얻어지는 수직하중의 관계를 통해 암석의 굴진저항성(또는 취성도)을 평가하게 된다. 압입시험을 통해 산정되는 여러 지수들은 TBM의 절삭하중, 굴진율 등과 밀접한 상관관계를 갖는 것으로 보고되고 있다.
한편 암석의 강도를 통해 취성도를 산정하는 방법은 간편성을 장점으로 기계굴착장비의 굴진성능(커터작용력 또는 비에너지)과의 상관관계 분석에 활발하게 활용되어 오고 있다. 하지만 연구자들에 따라 상충되는 결과가 도출되는 경우가 빈번하여 어느 취성도가 기계굴착장비의 굴진성능에 미치는 영향을 잘 설명하는지에 대한 논의는 아직까지 지속되고 있는 것으로 보인다. 본 연구에서는 국내 암석에 대해 압입시험을 수행하고 선행연구(Copur et al., 2003, Yagiz, 2009, Jeong et al., 2016)에서 제안하고 있는 방법에 따라 취성도를 산정하여 보았다. 압입시험을 통해 산정된 취성도를 기존의 암석의 강도를 통해 취성도를 계산하는 방법과 비교하여 그 상관관계를 비교 분석하여 암석의 강도를 통해 산정되는 취성도의 적용성을 평가해 보고자 하였다.
2. 압입시험 및 취성도 산정
2.1 압입시험
압입시험(Punch penetration test)은 압입자를 암석에 관입시킴으로써 발생하는 암석의 치핑(chipping)과 파쇄과정에서 나타나는 압입깊이와 수직하중간의 관계를 통해 다양한 지수를 획득할 수 있는 시험이다. 시험방법과 시험장치들에 대한 자세한 설명은 선행연구(Yagiz, 2009, Jeong et al., 2012, 2016)에 서술되어 있다. Fig. 1에 개략적으로 나타난 바와 같이 시험장치로는 압축시험기, 시험체를 구속하기 위한 구속프레임, 인덴터의 거치를 위한 홀더가 필요하다. 암석을 구속하기 위한 구속프레임 내부에 암석이 위치하며, 시험 도중 암석의 쪼개짐을 방지하기 위해 시멘트 혹은 석고재질의 재료를 이용하여 암석주변을 캐스팅하여 시편을 제작하게 된다. 시험 도중 압입자가 압입하는 속도에 대해서는 정해진 것은 없으나 0.025 mm/sec의 일정한 속도로 관입되도록 하는 것이 중요하며, 시험은 초기에 설정된 최대 깊이(6 mm)에 다다르거나 하중이 선행하중에 비해 50% 수준 이하로 떨어지는 경우 종료된다. 또한 시험 도중 압입깊이와 하중을 측정하기 위한 로드셀과 LVDT가 설치되어야 한다. 시험 대상 암석은 선행연구(Jeong et al., 2012, 2016)에서 사용된 것과 동일하며 국내 7개 암석에 대하여 압입시험이 수행되었다. 시험에 사용된 암석의 역학적 물성은 Table 1에 요약하였다. 아산편마암의 경우에는 편리면의 각도(0°: 1, 90°: 2)에 따라 각각 두 가지로 구분하였다.
Table 1.
Mechanical properties of the rocks used in this study (Jeong et al., 2012, 2016)
2.2 취성도 산정방법
본 연구에서는 취성도간의 상관관계 분석을 위해 압입시험을 통해 산정되는 취성도와 실험실시험을 통해 측정된 일축압축강도와 간접인장강도의 산술적인 관계를 통해 취성도를 산정하였다. 후자의 경우 계산방식에 따라 번호를 사용하여 취성도를 구분하고 있으나 그 순서에 대한 정의는 연구자들마다 다르다. 본 논문에서는 최근 Meng et al.(2021)이 정리한 순서에 따라 4개의 취성도를 선택하였다. 식 (1)의 B1은 암석의 일축압축강도와 인장강도의 비로 정의되며(Hucka and Das, 1974), 가장 일반적으로 사용되고 있는 값이다. 또한 식 (2)-(4)와 같이 일축압축강도와 인장강도의 차이로 표현되는 B2(Hucka and Das, 1974), 압축강도와 인장강도의 합으로 표현되는 B3(Özfirat et al., 2016), 압축강도와 인장강도의 곱으로 표현된 B4(Altindag, 2002)를 선택하였다. Table 1에 요약된 물성 값을 사용하여 계산된 각각의 취성도는 Table 2와 같다.
Table 2.
Results of brittleness indices based on the rock strength
한편 압입시험을 통해 취성도를 산정하는 방법은 여러 연구자들에 의해 되어오고 있다. 접근방식으로 구분하면 수직하중과 압입깊이를 통해 계산되는 기울기(단위 kN/mm)를 통해 취성도를 산정하는 방법과 압입시험에서 얻어지는 하중데이터에 기반한 방법으로 나누어진다. 전자의 경우, Yagiz(2009)은 압입시험에서 나타나는 최대 하중을 최대 압입깊이로 나눈 값을 통해 암석의 취성도로 정의하였고, BIm으로 명명하였다(이후 본 논문에서는 PSI(Peak Slope Index)라 한다). 이후 Jeong et al.(2016)의 연구에서는 여러 압입깊이에서의 기울기의 변화량을 반영하기 위한 Peak load index(PLI)와 Mean load index(MLI)의 개념을 제시하였다. 각각의 지수에 대한 산정방법은 Fig. 2에 표현되어 있다. 한편 후자의 경우에는 Copur(1999)에 의해 소개되었으며 압입시험에서 나타나는 하중의 변화경향에 따라서 암석의 취성도를 평가하는 방법에 대하여 제안하였다. 압입시험에서 나타나는 하중 값의 변화는 암석이 파괴되는 형태에 영향을 받는다. 인덴터가 암석에 관입하게 되면 응력의 집중에 따라 암석시편의 국부적인 영역에 지속적으로 파괴를 발생시키며, 이러한 국부적인 파괴에 따라 수직 하중이 일시적으로 감소하였다가 곧바로 다시 증가하는 형태의 그래프가 연속적으로 나타난다. 이러한 파괴특성을 기반으로 4개의 취성도를 나타내는 지수가 제안되었고 각각의 지수를 계산하는 방법은 Fig. 3에 나타난 바와 같다. 각각의 정의에 따른 의미를 간략히 살펴보면, 우선 BI1은 압입시험에서 얻은 총 데이터(T) 중에서 하중이 증가하는 데이터(I)의 비율을 나타낸다. 하중이 증가하는 구간의 데이터의 개수가 많을수록 다시 말해 파괴과정에 해당하는 데이터의 개수가 적을수록 파괴가 급격하게(취성적) 발생한다고 할 수 있다. BI2도 유사한 의미로 하중이 증가하는 데이터와 감소하는 데이터(D)의 개수의 비로 정의되므로 파괴과정에 해당하는 데이터가 적을수록 취성 거동을 하는 암석이라고 판단할 수 있다. BI3는 하중이 감소하는 구간의 평균 시간(Pdec)을 하중이 증가하는 구간의 평균 시간(Pinc)으로 나누어준 값이며, BI4는 하중의 증감 구간에서 하중이 증가(Rinc)하거나 감소(Rdec)하는 평균속도의 비율로 산출되는 값이다. Table 3은 이상의 압입시험으로부터 얻어지는 취성도의 계산결과를 요약한 것이다.
Table 3.
Results of brittleness indices from punch penetration test
| Rock type |
PSI* (kN/mm) |
PLI* (kN/mm) |
MLI* (kN/mm) | BI1 | BI2 | BI3 | BI4 |
| Hwangdeung Granite | 55.67 | 60.28 | 26.39 | 60.94 | 16.93 | 28.59 | 31.60 |
| Asan gneiss-1 | 52.37 | 52.85 | 22.95 | 75.56 | 13.84 | 12.26 | 23.11 |
| Asan gneiss-2 | 37.87 | 38.41 | 18.62 | 73.22 | 11.97 | 25.98 | 46.57 |
| Hudong granite | 32.65 | 32.92 | 15.20 | 50.93 | 8.23 | 61.74 | 47.43 |
| Sungnam gneiss | 31.75 | 47.85 | 23.65 | 55.96 | 15.62 | 42.44 | 79.27 |
| Paldang gneiss | 39.31 | 47.15 | 22.04 | 67.21 | 11.80 | 45.01 | 43.07 |
| Macheon Granite | 29.31 | 32.09 | 14.60 | 55.46 | 12.29 | 41.59 | 47.14 |
*The data is from previous studies (Jeong et al., 2012, 2016)
3. 취성도 간의 상관관계 분석
3.1 기울기지수와 하중데이터기반 취성도
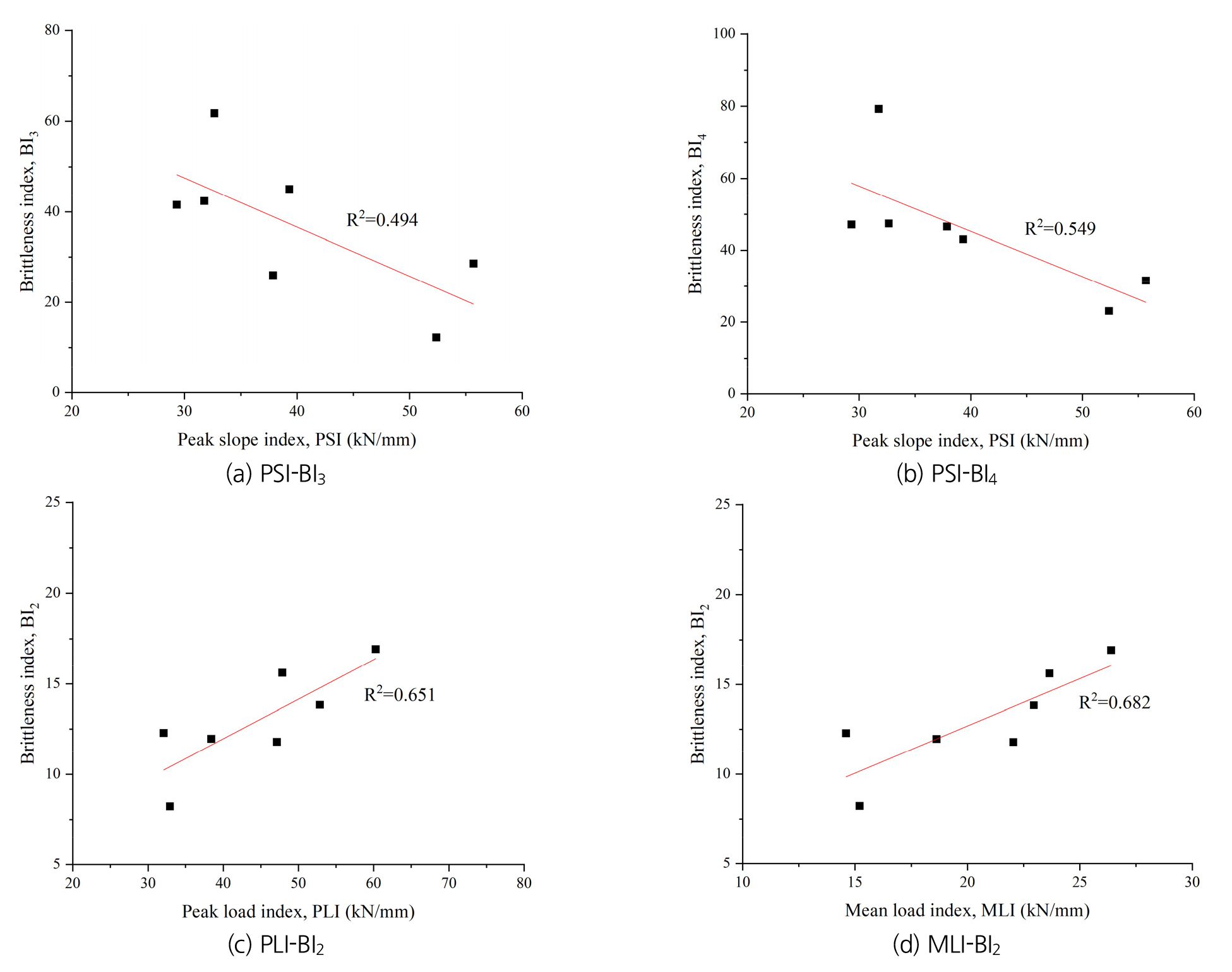
Table 4는 압입시험에서의 기울기 지수와 하중데이터 기반의 취성도와의 상관관계를 나타낸 것이다. 변수들 사이의 상관관계는 Pearson 상관도(신뢰수준: 95%)에 의해 나타내었다. 일반적으로 변수들 간의 상관관계분석에서는 선형상관관계를 나타내는 Pearson 상관계수와 비선형상관관계를 나타내는 Spearman 상관계수가 많이 활용된다. 두 가지의 상관계수를 통해 변수들 사이의 상관관계를 모두 선행 분석한 결과, 상관계수의 절대값 차이는 있었으나 상관관계의 경향이나 우선순위 측면에서 큰 차이를 보이지 않는 것을 알 수 있었다. 또한 본 논문에서는 다양한 취성도들 사이의 기본적인 상관관계 분석을 목적으로 하고 있으므로 가장 간단한 선형관계를 나타내는 Pearson 상관계수를 선택하였다. 선행연구(Jeong et al., 2016)에서 분석된 것과 같이 각각의 기울기 지수들은 서로 우수한 상관관계(Pearson 상관계수 0.7 이상)를 가지는 것을 알 수 있다. 한편 각각의 기울기 지수와 하중데이터에 기반한 취성도(BI1, BI2, BI3, BI4) 사이의 상관관계를 분석한 결과는 다음과 같다. 우선 하중데이터에 기반한 취성도 중 BI1과 BI2는 다른 취성도와 양의 상관관계를 갖는 것을 알 수 있으며, BI3과 BI4는 다른 취성도와 음의 상관관계를 갖는다. 상관계수가 0.6이상인 것들의 관계만 추려보면, PSI는 BI3, BI4와 우수한 상관관계를 나타내었고, PLI와 MLI는 BI2와 우수한 양의 상관관계를 보인다. Fig. 4는 이 관계들을 그래프로 도시한 것이다. 취성도들 사이의 상관관계가 전부 일관된 경향을 보이는 것은 아니지만 전반적으로는 BI2와 BI3이 기울기 지수들과 양호한 관계를 나타내는데, 이는 Copur(1999)의 연구에서 얻어진 결과와 유사하다. Copur(1999)는 하중데이터를 기반으로 제안한 네 가지의 취성도 중 BI2와 BI3가 픽 커터의 작용하중과 상관관계가 좋은 것으로 보고하였으며, 픽 커터의 작용하중 예측을 위한 경험식을 제시한 바 있다. 또한 기울기지수들이 기계굴착장비들의 굴진율 및 작용하중과 상관관계가 우수한다는 기존의 연구결과(Yagiz, 2009, Jeong et al., 2016)에 기반하면 하중데이터에 기반한 취성도 중 BI2와 BI3가 굴진성능예측에 활용이 가능할 것으로 판단된다.
Table 4.
Pearson`s correlation coefficient between slope and brittleness index from punch penetration test
3.2 기울기지수와 기존 취성도 지수
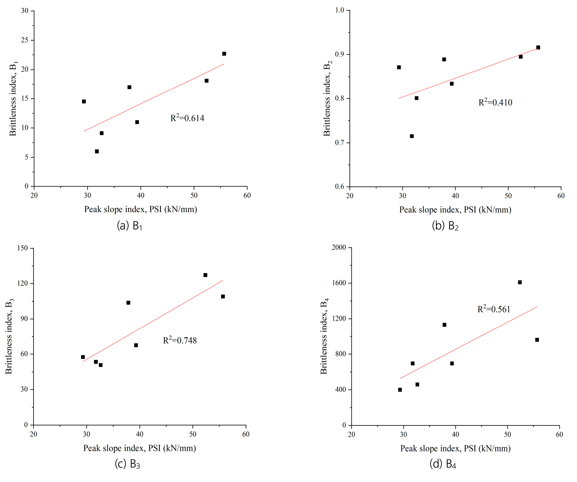
Table 5는 압입시험에서 산출되는 기울기지수와 기존의 압축강도와 인장강도의 산술식으로부터 계산되는 취성도와의 상관관계를 나타낸 것이다. 먼저 PSI의 경우에는 취성도 B1~B4와 모두 양호한 상관관계를 나타내었으며, 이는 선행연구의 결과와 일치하는 경향을 보인다. Yagiz(2009)의 연구에서는 PSI와 기존의 취성도와의 상관관계를 분석한 바 있으며, B1-B3와 PSI는 양호한 상관관계를 보인다는 것을 보고하였다. PSI는 B1와 선형적인 관계를 갖는다고 하였으며, 반면 B2와 B3는 비선형적인 비례관계를 갖는다는 결과를 보고하였다. 이상의 결과는 Fig. 5에 그래프로 나타내었으며, PSI는 기존의 취성지수들과 전반적으로 양호한 상관관계를 나타내는 것으로 판단되었다. 반면 PLI와 MLI의 경우에는 B3과 B4의 상관관계가 양호하였으며, Fig. 6은 그 상관관계를 도시한 것이다. 기존의 압축강도와 인장강도의 산술식으로 계산되는 취성도 중, B1과 B2는 선행연구들(Singh, 1986, Goktan, 1991, Altindag, 2002, Kahraman, 2002, Gong and Zhao, 2007, Mohammadi et al., 2015, Dursun and Gokay, 2016)에서 암석의 파쇄효율을 평가하기 위해 일반적으로 활용되고 있는 것이다. 암석의 파쇄효율과 두 취성도 사이의 상관관계는 선행연구들에서 일치하는 경우도 있으나, 서로 상충되는 결과들도 많이 보고되고 있다. 본 연구에서도 압입시험에서 도출된 결과들과 두 취성도와의 상관관계는 일관된 경향을 보이고 있지 않은 것으로 미루어 볼 때, 두 취성도의 활용에 대해서는 지속적인 논의가 필요할 것으로 판단된다. 반면, B3와 B4는 세 개의 기울기 지수들과 비교적 양호한 선형관계를 일관되게 나타내고 있으며, Fig. 6에는 PLI와 두 개의 취성도와의 관계를 대표적으로 도시하였다. B3와 B4의 경우에는 B1과 B2와 비교하여 연구사례가 많지는 않으나, Altindag(2003)은 비에너지가 B4에 따라 비선형적으로 증가하는 경향을 갖는다는 것을 보고하였고, Yarali and Kahraman(2011)의 연구에서는 굴진저항성이 B4에 따라 비선형적으로 증가한다고 하였다. 이후 Özfırat(2016)의 연구에서도 암석의 굴진저항성은 B3와 B4에 따라 증가한다는 동일한 경향성을 보고한 바 있다. 결국 선행연구들에서는 암석의 파쇄효율을 나타내는 비에너지 혹은 굴진저항성은 B3, B4와 비례관계를 가진다는 경향을 비교적 일관되게 보고되고 있다. 결국 두 취성도가 높은 값을 가질수록 암석을 파쇄하는 것이 어렵다는 것을 의미하는데, 이러한 사실은 압입시험에서 암석을 파괴시키는데 필요한 단위압입깊이 당 하중의 증가율을 나타내는 기울기지수의 산출결과와 일치하는 것이다. 본 연구의 결과와 현재까지 비교 가능한 선행연구의 결과로부터 B3와 B4가 암석의 굴진성능을 평가하는데 적합한 취성도로 판단된다.
Table 5.
Pearson`s correlation coefficient between slope index of punch penetration test and strength-based brittleness index
| PSI | PLI | MLI | B1 | B2 | B3 | B4 | |
| PSI | - | ||||||
| PLI | 0.848 | - | |||||
| MLI | 0.729 | 0.975 | - | ||||
| B1 | 0.784 | 0.466 | 0.317 | - | |||
| B2 | 0.640 | 0.226 | 0.060 | 0.938 | - | ||
| B3 | 0.865 | 0.612 | 0.511 | 0.834 | 0.748 | - | |
| B4 | 0.749 | 0.584 | 0.529 | 0.570 | 0.485 | 0.927 | - |
3.3 하중데이터기반 취성도와 기존 취성도 지수
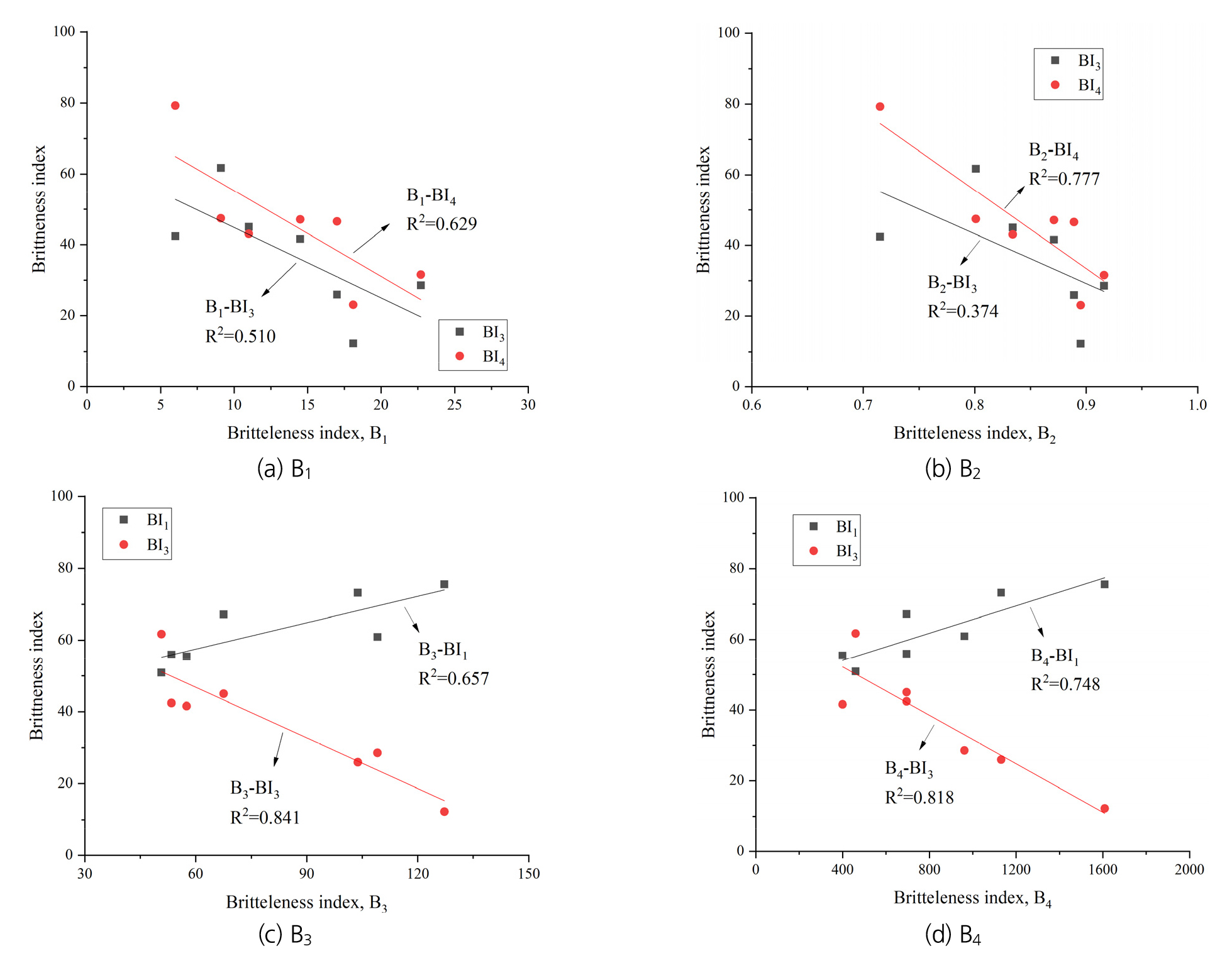
Table 6은 압입시험으로부터 산출된 하중데이터기반의 취성도와 기존의 압축강도와 인장강도의 산술식으로부터 계산되는 취성도와의 상관관계를 나타낸 것이다. 마찬가지로 취성도 사이의 상관관계는 변수들 사이의 선형상관관계를 나타내는 Pearson 상관계수로부터 분석되었다. BI1은 B3, B4와 우수한 양의 상관관계를 보이는 것으로 나타난 반면, BI2는 기존의 취성도들과 상관관계가 비교적 좋지 못한 것으로 산출되었음을 알 수 있다. BI3는 B3, B4와 매우 좋은 양의 상관관계를 보였으며, B1, B2와도 양호한 상관관계를 나타내었다. BI4의 경우에는, B1, B2와 상관관계가 좋았으며, B3와도 양호한 상관관계를 보였다. Fig. 7은 이상에서 설명한 것들 중 좋은 상관관계를 보이는 것들을 선별하여 상관관계(기존의 취성도를 x축으로 표시)를 도시한 것이다. 비록 기존의 압축강도와 인장강도의 산술식으로부터 계산되는 지수들이 암석의 취성도를 객관적으로 설명하느냐에 대해서는 여전히 논의가 필요하겠지만, 기존의 취성도를 나타내는 지수와의 상관관계를 기준으로 하였을 때는 압입시험을 통해 산출되는 취성도 중 BI3와 BI4가 암석의 취성도를 설명하기에 적합한 것으로 판단되었다.
Table 6.
Pearson`s correlation coefficient between brittleness index of punch penetration test and strength-based brittleness index
4. 결 론
본 연구에서는 국내 7종 암석에 대하여 압입시험을 수행하고 압입시험을 통해 산정된 취성도를 기존의 일축압축강도와 인장강도의 산술식으로부터 계산되는 취성도와 비교하여 그 상관관계를 분석하였다. 압입시험을 통해서 산출되는 취성도는 기울기지수(PSI, PLI, MLI)와 하중데이터에 기반한 취성도(BI1, BI2, BI3, BI4)로 구분하였으며, 암석의 강도로부터 계산되는 취성도는 B1, B2, B3, B4를 선택하였다. 상기 취성도에 대한 상관관계 분석을 통해 얻어진 결과들을 요약하면 다음과 같다.
먼저 압입시험을 통해 산출되는 기울기지수와 하중데이터에 기반한 취성도의 상관관계를 분석한 결과, PSI가 BI3, BI4와 우수한 상관관계를 나타내었고, PLI와 MLI는 BI2와 우수한 양의 상관관계를 보였다. 압입시험의 기울기지수들이 기계굴착장비의 작용하중 및 굴진율과 상관관계가 좋다는 기존의 연구결과를 바탕으로하면, BI2, BI3가 굴진성능예측에 활용성이 높은 취성도일 것으로 판단되었다. 한편, 기울기지수들과 암석의 강도로부터 산술적으로 계산되는 기존의 취성도의 상관관계에서는 PSI가 본 연구에서 고려한 4개의 취성지수들과 전반적으로 양호한 상관관계를 나타내었으며, PLI와 MLI는 B3, B4와 상관관계가 좋게 나타났다. 비록 한정된 데이터로부터 도출된 결과이지만, 기존의 취성도 중에서는 B3와 B4가 암석의 굴진성능을 평가하는데 적합한 취성도로 판단되었다. 마지막으로 압입시험에서의 하중데이터에 기반한 취성도와 기존의 취성도들 간의 상관관계를 살펴보았으며, 전반적으로 BI3와 BI4가 네 개의 취성도와의 상관관계가 전반적으로 좋게 도출되었다.
상술한 바와 같이, 암석의 취성도는 정의나 측정방법이 표준화되어 있지 못하며 활용분야에 따라 적합한 취성도를 산정하는 것이 필요하다. 압입시험에서 얻어지는 다양한 지수들과의 관계로부터 기존에 제안된 취성도 중에서는 B3와 B4가 암석의 기계굴착과 연관된 굴진저항성을 나타내기에 적합한 것으로 보이며, 압입시험을 통해 산출되는 기울기 지수 중에서는 PSI가 암석의 취성도를 전반적으로 표현하기에 적합한 지수인 것으로 도출되었다. 마지막으로 본 연구에서 소개한 하중데이터에 기반한 취성도 중에서는 BI3가 기존의 취성도와 압입시험에서의 기울기지수들과 좋은 상관관계를 보여 암반기계굴착분야에의 활용도가 높을 것으로 판단되었다.
하지만 본 연구에서는 한정된 암종에 대한 시험결과를 다루고 있다는 한계점이 있으며, 암반기계굴착분야에의 활용도를 평가하기 위해서는 압입시험의 결과보다는 실대형 선형절삭시험 또는 현장의 기계굴착데이터를 활용하여 상관관계를 분석하는 것이 더욱 정확할 것이다. 향후에는 현장데이터를 활용한 암석의 취성특성과 기계굴착에 의한 암반의 파쇄특성, 굴진효율 등과의 상관관계를 규명하기 위한 추가연구가 필요할 것이며, 본 연구의 주요결과들은 유용한 기초자료로 활용될 수 있을 것으로 판단된다.










