1. 서 론
2. 도함수 진단 분석
3. 연구 지역 및 방법
4. 연구 결과
4.1 낙민 심부 시추공 양수시험 결과 해석
4.2 부곡 심부 시추공 양수시험 결과 해석
4.3 장전 심부 시추공 양수시험 결과 해석
5. 결론 및 제언
1. 서 론
현장 수리시험을 통해 대수층의 수리전도도(Hydraulic Conductivity, K)와 같은 수리상수를 산출하는 것은 지하 심부 균열암반의 수리학적 특성 평가에 있어서 매우 중요하다. 여러 수리시험 방법 중, 양수시험(pumping test)은 시추공에서 일정 유량으로 양수하고 균열암반 매질의 압력변화 반응인 수위강하(drawdown)를 측정하여, 시추공 주변 넓은 범위의 수리특성을 반영하는 수리상수를 획득한다. 양수시험은 기본적으로 정압주입시험, 펄스시험, Lugeon시험 등과 더불어 균열암반의 수리상수를 얻기 위해 수행되며, 이외에도 암반 대수층의 형태와 전체적인 균열망의 광범위한 수리적 연결성 등에 관한 정보도 제공할 수 있다. 양수시험으로부터 나온 수위변화 자료를 분석할 때, 일반적으로 수위강하 자료의 곡선 형태가 대부분 비슷하고 대상 부지의 지질학적인 배경 정보가 부족한 경우가 많기 때문에 실제 현장조건에 가장 적합한 해석모델을 결정하는데 있어 많은 어려움이 따른다.
이러한 문제를 해결하고자 해외 석유공학과 방폐 관련 암반 수리지질학 분야에서, 수위강하 자료의 도함수를 이용한 진단 분석 방법이 제안되어 다양한 양수시험 자료의 해석을 위해 활용되어 왔다(Bourdet et al., 1989, Spane and Wurstner, 1993, Beauheim et al., 2004, Renard et al., 2009, Ishii, 2018). 이 도함수 진단 분석 방법에서는 측정된 수위강하 자료와 이를 1계 미분한 도함수를 시간에 따라 로그-로그 스케일의 그래프로 도식화하고, 이 두 곡선을 여러 양수시험 해석모델의 표준곡선과 최적 매칭하여 수리전도도를 구한다. 일반 수위강하 곡선에서 수리특성을 파악하기 어렵고 미세한 수위변화량을 감지해야 할 경우, 이 분석법을 사용하여 적합한 양수시험 자료 해석모델을 보다 정확하고 빠르게 선택할 수 있다.
국내에서도 도함수 진단 분석을 양수시험 자료에 적용하여 암반 대수층의 수리특성을 평가하는 연구들이 있었다(Kim et al., 2003, Hamm et al., 2005, Kim et al., 2010). 그러나 해당 연구들은 대부분 심도 100~200 m 이내의 천부 시추공을 대상으로만 현장시험이 이루어졌고, 양수 지속 기간이 수 시간 이내로 짧았기 때문에 시추공을 중심에서 멀리 떨어진 암반 대수층의 단계적 흐름 양상 변화나 경계 효과와 같은 원계영역(far-field)의 수리적 반응을 정확하게 파악하기 어려운 점이 있었다. 그러므로 국내 균열암반 대수층 내 고심도 시추공에서 수일 이상 수행한 장기 양수시험 자료를 대상으로 도함수 진단 분석법의 적용성과 타당성을 면밀히 평가할 필요가 있다.
본 논문에서는 국내 심부 균열암반에서 획득한 장기 양수시험 자료를 도함수 진단 분석법에 적용하여 암반 대수층의 대표 수리상수인 수리전도도를 산출하였다. 국내 화강암과 화산암 지역의 심도 650~790 m의 심부 시추공에서 현장 양수시험을 수행하였고, 이를 통해 측정된 수위강하 데이터를 도함수 진단 방법을 사용해 해석하였다. 이 과정에서 기존 수위강하 곡선과 그 변화율인 도함수 곡선을 동시에 표준곡선에 중첩함으로써 가장 적합한 해석모델을 선정하였다. 또한 도함수 분석을 통해 균열암반의 수리전도도를 산출하는 연구 외에도 대수층 내 지하수 흐름 양상의 변화와 수리적 경계조건 해석에 관해서도 파악하고자 하였다.
2. 도함수 진단 분석
양수시험 시 균열암반 대수층, 공내 저류 및 스킨효과(wellbore storage and skin effect), 수리적 경계 효과(hydraulic boundary effect)와 같은 여러 수리적 영향이 수위강하 자료에 나타난다. 이처럼 다양한 수리반응에 따라 그에 적합한 해석모델을 선정해야 하는데, 기존 수위강하 곡선 형태로는 다양한 수리특성들을 구분하기 어렵다. 따라서 최적 해석모델 결정에 있어 오류가 발생할 수 있으며, 결과적으로 양수시험 자료해석을 통해 산출한 수리상수의 정확도와 신뢰도가 낮아질 수 있다. 이와 같은 한계를 보완하기 위해 제안된 도함수 분석 방법은 균열암반 대수층 본래 수리특성과 시추공 주변 수리적 반응인 공내 저류효과와 스킨효과 및 시추공으로부터 멀리 떨어진 원계영역의 수리경계 특성까지 판별할 수 있다. 결과적으로 양수시험 초반부터 후반에 이르는 전체적인 지하수 흐름 양상과 변화를 명확하게 판단함으로써 해석모델 선택에 있어 혼동과 오류 문제를 최소화 할 수 있다.
Fig. 1은 암반 대수층의 특성과 경계 조건에 따른 이상적인 수위강하와 도함수를 개념적으로 나타낸 그림이다. Fig. 1(a)은 피압대수층 내 일반적인 방사상 유동(radial flow)이 나타나고 시험이 끝날 때까지 유지되는 경우이다. 양수를 시작하고 초반부에 수위강하 곡선과 도함수 곡선이 거의 같은 기울기(1:1)의 직선 형태로 상승하는 구간이 나타나는데 이 부분의 수리적 반응을 공내 저류효과라고 한다. 이는 양수 초반에 물이 지상으로 급격히 빠져나올 때 암반에서 시추공 안으로 그만큼 지하수 공급이 빠르고 원활하게 일어나지 않기 때문에 발생하며, 수위강하가 시추공 내부에 존재하는 물을 통해서만 발생하여 그 속도가 매우 빠르게 나타난다. 이 때 도함수 곡선도 양의 기울기를 가지는 곡선의 형태로 상승하는데, 이는 그만큼 시추공 내 수위강하 변화율(속도)이 높다는 의미이고, 동시에 주변 암반에서 시추공으로 지하수 유입이 원활하지 않다는 것을 의미한다. 공내 저류효과를 보이는 구간 이후 상승했던 도함수 곡선이 다시 아래로 감소하는 형태가 나타나는데, 시추공 인접 지역인 이 부분의 수리적 반응을 스킨효과라 한다. 이는 시추공 주변부에서 투수성이 국부적으로 증가하는 현상으로, 암반 시추 시 회전하여 굴진하는 드릴 비트의 시추공벽 교란을 통해 인위적인 균열을 생성하고 기존 암반 균열을 확장하여 연결성을 증가시킴으로써 발생하게 된다(Follin et al., 2011, Lee and Park, 2024b). 앞선 공내 저류 및 스킨효과가 나타나는 과도기 구간까지 지나고, 도함수 곡선이 0의 기울기에 가깝게 수평 형태로 나타나는데, 이 구간은 시간경과에 따른 수위강하량의 변화가 일정한 방사상 흐름을 나타낸다. 이 방사상 흐름은 암반 대수층 내 가장 많이 존재하는 일반적인 지하수 유동 양상을 의미한다.
Fig. 1(b)은 이중 공극(double porosity) 또는 이중 투수성의 암반 대수층에서 발생할 수 있는 수위강하와 도함수 곡선을 나타낸다. 이 경우의 가장 큰 특징은 수위강하의 미분값인 도함수 곡선에서 뚜렷한 함몰(구멍) 형태가 나타나는 것이다. 시추공에 연결된 1차 균열암반을 통해 초반에 지하수가 잘 공급되면서 수위강하가 더딘 상태로 유지되다가 1차 대수층의 지하수 공급이 부족해지거나 고갈되면서 다시 수위강하가 빠르게 진행된다. 이후 다른 투수성(공극)을 가진 2차 대수층 구역을 만나면 다시 시추공으로의 지하수 공급이 원활해져 수위강하가 느려진다. 이처럼 지하수 공급의 지연으로 인해 움푹 파인 형태의 도함수 곡선이 관찰될 수 있으며, 이러한 현상은 주로 비피압대수층(unconfined aquifer)에서 포화 부분 위에 존재하는 불포화 영역의 수직 배수 지연이나 카르스트 대수층의 매트릭스 블록 배수에서 발생한다.
Fig. 1(c)과 (d)는 균열암반의 수리적 경계가 존재하는 경우, 양수가 지속되면서 영향반경이 점차 넓어지다가 그 경계를 만나게 되는 수위강하 도함수 곡선을 나타낸다. 양수시험 도함수 곡선의 후반부는 균열암반 대수층의 수리적 경계 특성과 밀접한 관련이 있다. Fig. 1(c)은 후반부에 도함수 곡선이 음의 기울기를 보이며 급격히 감소하는데, 이는 수리 함양 경계인 고정수두경계(constant head boundary)에 도달하여 시추공으로의 지하수 유입이 매우 원활하게 발생하는 경우이다. 이러한 함양 경계는 투수성이 높은 대규모 단층이나 하천 또는 바다 등 많은 양의 물을 지속적으로 충분히 공급해 줄 수 있는 저장소(reservoir)를 의미한다. Fig. 1(d)은 Fig. 1(c)과는 다르게 후반부 도함수 곡선이 양의 기울기를 보이며 위쪽으로 상승하는데, 이는 영향반경이 불투수성 경계에 도달하거나 지하수의 공급이 원활하지 않은 경우이다.

Fig. 1.
Most typical diagnostic plots (log-log drawdown and derivative plots) for various hydrogeological formation and boundary conditions (modified from Spane and Wurstner, 1993)
이처럼 도함수 분석을 통해 여러 다양한 양수시험 해석모델 중에서 해당 수위강하 자료분석에 적합한 모델을 결정할 수 있다. 이 때 주의해야 할 부분은 실제 양수시험에서 획득한 수위강하와 도함수 곡선 자료가 Fig. 1에서 보이는 바와 같이 완벽하게 이론적이고 전형적인 형태로 나타나지 않는 경우도 존재한다는 점이다. 각 흐름 구간들의 길이나 지속시간이 다양하게 나타날 수 있고, 너무 짧은 경우는 흐름 구간이 중첩되거나 생략되어 도함수 곡선 상에서 확인이 어려울 수도 있다. 또한 Fig. 1에서 보이는 여러 도함수 곡선 형태가 합쳐져 하나의 시험 기간 동안 복합적으로 나타나는 경우도 존재한다. 따라서 도함수 곡선 형태가 확실하지 않아 후보 해석모델이 단 하나로 결정되지 않고 두 개 이상으로 추려질 경우에는, 현장 수위강하 자료곡선과 해석모델 표준곡선 사이의 매칭적합도를 나타내는 수치인 잔차제곱합(RSS, residual sum of squares)을 비교하는 동시에 실제 현장 균열암반 조건을 반영하는 지질학적 배경 정보를 함께 검토하여 보다 적합한 대수층 해석모델을 선정할 수 있다.
3. 연구 지역 및 방법
본 연구 지역은 부산광역시에 위치하며, 계곡부의 충적층을 제외하고는 화강암과 화산암이 주로 분포하고 있다(Son et al., 1978). Fig. 2의 지질도상 붉은색 지역은 불국사 화강암을 나타내며, 보라색 지역은 화산암이 주로 존재하는 부분이다. 불국사 화강암은 섬록반암, 화강섬록암, 각섬석 화강암, 흑운모 화강암으로 구성되어 있다. 화산암은 안산암질암, 유문암질암, 화산력 응회암으로 이루어져 있고, 북북동 또는 북동 방향으로 분포하고 있는 불국사 화강암과 유사한 방향으로 분포하고 있다. 이 연구 지역은 화강암이 백악기 화산암에 둘러싸여 분포하기도 하고, 전반적으로 두 암종이 혼재된 형태로 관찰되기도 한다.
본 연구에서는 지하 648~790 m에 이르는 심부 시추를 통해 확보한 3개 시추공(Nakmin/Bugok/Jangjeon)을 대상으로 양수시험을 수행하였다(Fig. 2b). 케이싱은 지표로부터 지하 200 m 내외까지 설치되었으며, 그보다 깊은 심도는 모두 나공상태(open hole)로 구성되었고 시추공 직경은 모두 20 cm로 굴착되었다. 자연 지하수위는 5~98 m로 큰 편차를 보이고 있는데, 이 같은 수치는 일반적인 균열암반 대수층 내 심부 시추공에서 나타나는 지하수위보다 상당히 낮은 값이다. 이는 이 지역에 위치하는 온천지구에서의 지속적인 양수로 인한 수위강하가 일부 시추공의 지하수위에 영향을 준 것으로 판단할 수 있다. 연구 지역을 관통하는 주요 지질구조선인 동래단층이 존재하고 있는데, 이 단층은 지하 깊은 곳에 부존되어 있는 고온의 열수를 지표 부근까지 연결하는 이동 통로 역할을 할 수 있는 대규모 단열로 추정하고 있다(Ryu et al., 1999, Son et al., 2002, Shin, 2012, Lee et al., 2024a).
각 시추공에서 310~400 m3/day 범위의 일정한 양수율로 대략 3일(=4320분) 동안 양수시험을 수행하였다. 양수를 위한 수중펌프는 지하 600 m에 설치하였으며, 40마력(HP)에 최대 500 m3/day 양수 성능의 사양을 가지고 있다. 시추공 내부에 자동수위측정기(Diver 100)를 설치하고 양수 시작 후 시간경과에 따른 수위강하를 측정하였다. 획득한 수위강하 자료는 검증된 수리시험 상용 프로그램인 AQTESOLV를 사용해 분석을 수행하였다(Duffield, 2007). 우선 수위강하와 도함수 곡선을 양대수(log-log) 그래프로 도시하고 진단분석을 활용한 대수층 반응의 비교검토를 통해 적절한 양수시험 해석모델을 선정한 후, 해당하는 해석모델의 표준곡선과의 반복적인 최적 매칭을 통해 암반의 대표 수리상수인 수리전도도를 산출하였다.
4. 연구 결과
4.1 낙민 심부 시추공 양수시험 결과 해석
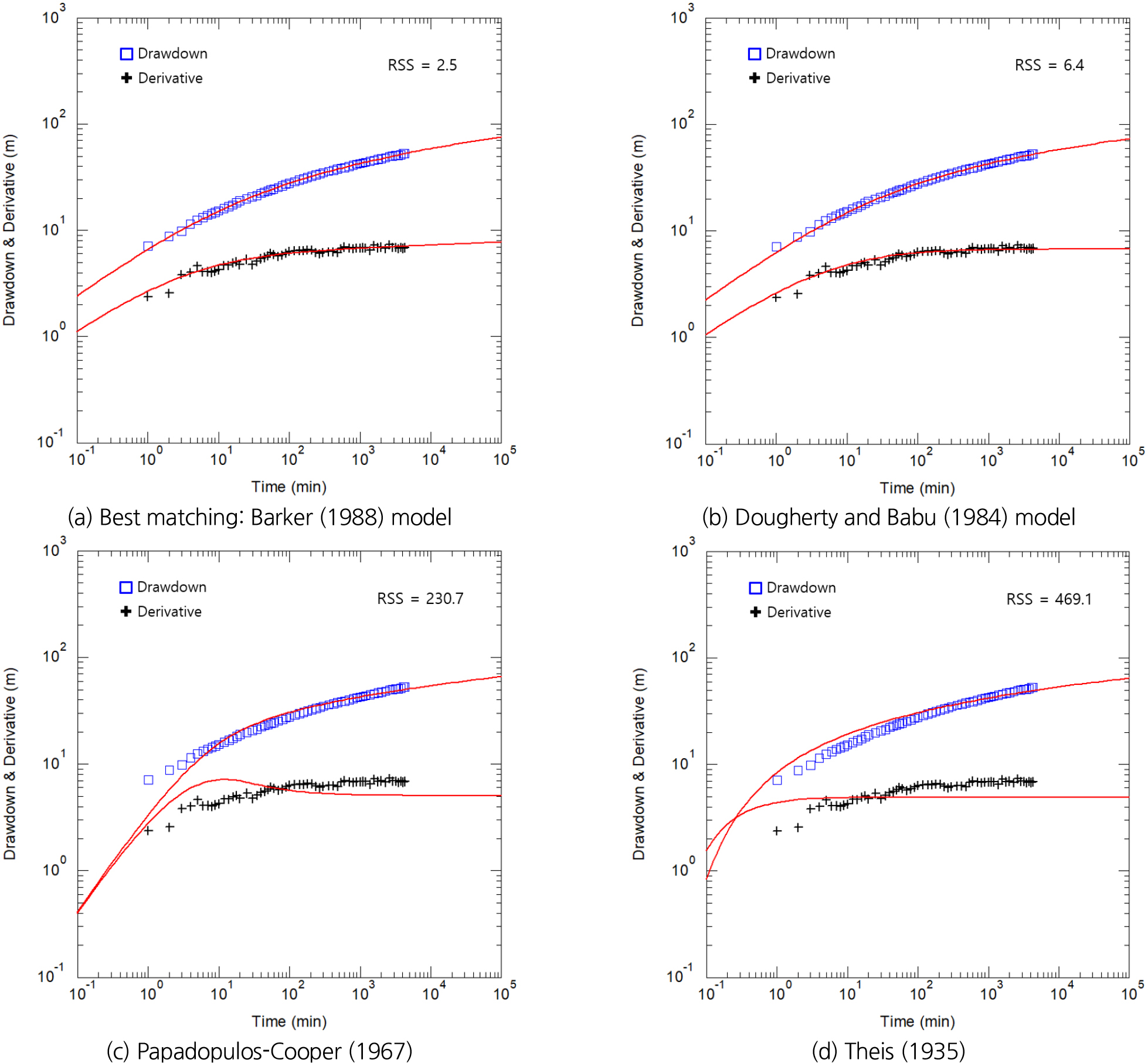
Fig. 3은 낙민 지역 심부 시추공에서 측정한 시간당 수위강하와 도함수 자료를 양대수 그래프에 곡선 형태로 나타낸 그림이다. 시추공 내에 설치된 수중펌프를 사용해 일정 양수율(400 m3/day)으로 양수를 진행했을 때, 3일 경과 후 약 53 m 정도의 지하수 수위강하가 발생하였다. 진단 분석 그래프를 자세히 살펴보면, 수위강하 곡선은 시간에 따라 감소하며 특징적인 양상은 보이지 않았고, 도함수 곡선은 초반에 조금 상승하다가 수평에 가까운 형태를 나타낸 후 양수가 종료될 시점까지 그대로 유지되었다. 이는 본 낙민 시추공 내 지하수 흐름이 2차원 방사상 유동 양상을 가지는 것으로 판단하고, 앞선 Fig. 1의 여러 대수층 해석모델 중 Fig. 1(a)의 피압대수층 방사상 흐름 모델에 해당한다고 볼 수 있다. 약간의 차이를 보이는 부분은 Fig. 1(a)의 개념 곡선에서는 시험 초반부 시추공 인접 영역의 공내 저류 및 스킨효과가 발생하는 구간이 뚜렷하게 나타나지만, 낙민 시추공 양수시험 자료에서는 이 시험 초반부 수리적 반응이 강하게 나타나지는 않은 상태에서 중후반부 방사상 흐름 양상을 보인다는 점이다. 본 시추공에서는 3일 동안 장기간 양수를 하였으나 후반부에 특별히 수리적 경계를 만나는 특성이 나타나지 않았고, 시간에 따라 수위변화량이 일정한 방사상 흐름 구간이 계속 이어졌다.
지질학적 배경 정보를 검토해 보았을 때도 낙민 시추공은 심도가 매우 깊은 화산암 대수층 내에 풍화나 균열발달이 심하지 않고 균질한 심부 암반으로 구성되어 있으므로, 일반적인 피압대수층 형태로 판단할 수 있다. 일반적인 균열암반 피압대수층의 방사상 흐름에 가장 적합한 양수시험 해석모델로는 Dougherty and Babu(1984)와 Barker(1988) 모델이 있고, 이 둘 모두 양수시험 해석 시 공내저류효과와 스킨효과 영향을 해석모델 내에 반영하고 있다(Dougherty and Babu, 1984, Barker, 1988). Papadopulos-Cooper(1967)와 Theis(1935) 모델도 해당 대수층 흐름 조건에서 이론적으로 적용이 가능한 해석법이지만 시험 초반 수리적 반응인 공내 저류 또는 스킨효과 영향이 해석식에서 배제되어 있어 앞의 두 모델에 비해서는 상대적으로 표준곡선 매칭적합도가 낮은 편이다(Theis, 1935, Papadopulos and Cooper, 1967).
Table 1에 나타난 것처럼 낙민 시추공 양수시험에서 획득한 수위관측자료를 Barker(1988), Dougherty and Babu(1984), Papadopulos-Cooper(1967), Theis(1935) 모델에 적용하여 분석한 결과, Barker(1988)가 제시한 일반 방사상 유동 모델(Generalized Radial Flow Model, GRFM)이 가장 적합한 것으로 확인되었다. Barker(1988) 모델의 RSS 수치가 다른 모델들에 비해 상대적으로 가장 작은 값을 나타냈고, 수위강하와 도함수 곡선 모두 해석모델의 표준곡선과 가장 잘 매칭되는 결과를 보였다. Dougherty and Babu(1984) 모델도 최적 해석 모델로 선정된 Barker(1988) 모델과 유사한 수준의 매칭적합도와 RSS 값을 보였다. Barker(1988) 모델에 의해서 수리전도도를 산출한 결과, 낙민 시추공에서는 균열암반의 수리전도도가 8.53×10-8 m/s로 나타났다. 낙민 시추공의 균열암반 대수층은 전체적으로 균질하며 일정한 투수성을 가지는 것으로 판단할 수 있다.
Table 1.
Hydraulic conductivities and residual sum of squares (RSS) estimated using various models in Nakmin borehole
| Barker (1988) GRFM model | Dougherty and Babu (1984) | Papadopulos-Cooper (1967) | Theis (1935) | |
| RSS | 2.5 (Best matching) | 6.4 | 230.7 | 469.1 |
| K (m/s) | 8.53E-08 | 8.42E-08 | 1.12E-07 | 1.15E-07 |
4.2 부곡 심부 시추공 양수시험 결과 해석
Fig. 4는 부곡 지역 심부 시추공에서 측정한 시간당 수위강하와 도함수 자료를 양대수 그래프에 곡선 형태로 나타낸 그림이다. 일정 양수율(310 m3/day)으로 양수를 진행했을 때, 3일 경과 후 약 102 m 정도의 지하수 수위강하가 발생하였다. 진단 분석 그래프를 보면, 도함수 곡선이 초반에 조금 상승하다가 언덕 형태를 만들고 다시 내려간 후에 약간의 진동형태를 보이면서 수평에 가깝게 수렴하였다. 이 같은 함몰 이후 다시 상승하는 형태의 도함수 곡선은 Fig. 1(b)의 이중 공극 대수층 흐름 모델과 유사한 것으로 보인다. 시험 중후반부 구간에서 보이는 도함수 곡선의 진동 양상을 크게 고려하지 않을 경우에는, Fig. 1의 도함수 개념 곡선 중에서 Fig. 1(a) 형태와 전반적으로 유사하다. 따라서 부곡 시추공 양수시험 자료의 도함수 진단 분석 상 도함수 상에 약한 함몰 형태 및 진동이 나타나는 것을 먼저 고려하여(Fig. 4a) 이중 공극 해석모델인 Moench(1984) 모델을 부곡 양수시험 자료분석에 적용하였다(Moench, 1984). 또한 피압대수층 일반 방사상 흐름 모델인 Barker(1988) 모델도 함께 해석에 적용하였다(Fig. 4b).
수위강하 및 도함수 곡선 매칭 분석과 RSS 값 수치 비교 검토를 수행한 결과, Moench(1984)의 이중 공극 모델이 본 부곡 시추공 양수시험 자료에 가장 적합한 최적 해석모델로 나타났다(Table 2). 앞선 낙민 시추공 자료에 비해 부곡 시추공의 수위강하 및 도함수 곡선의 변동이 강한 편이라 표준곡선과의 완벽한 매칭이 어려웠고, 결과적으로 낙민 지역의 최적 모델 RSS 값에 비해서는 다소 높은 RSS 값을 보였다. Moench(1984) 이중 공극 모델에 의해서 수리전도도를 산출한 결과, 부곡 시추공에서는 균열암반의 수리전도도가 3.09×10-8 m/s로 나타났다. 전체적으로 앞선 낙민 시추공의 안정적인 수위강하와 도함수 곡선 모양에 비해 부곡 시추공의 곡선 변동성이 보다 심하게 나타났고, 이를 통해 부곡 시추공을 포함하는 균열암반 대수층의 절리망 분포가 복잡하고 불규칙하며, 시추공으로부터 거리가 멀어지면서 다양한 투수성(공극)을 가지는 것으로 해석할 수 있다.
Table 2.
Hydraulic conductivities and residual sum of squares (RSS) estimated using various models in Bugok borehole
| Moench (1984) Double porosity model | Barker (1988) | Dougherty and Babu (1984) | Theis (1935) | |
| RSS | 103.3 (Best matching) | 153.9 | 154.4 | 843.0 |
| K (m/s) | 3.09E-08 | 4.35E-08 | 4.24E-08 | 3.21E-08 |
4.3 장전 심부 시추공 양수시험 결과 해석
Fig. 5는 장전 지역 심부 시추공에서 측정한 시간당 수위강하와 도함수 자료를 양대수 그래프에 곡선 형태로 나타낸 그림이다. 일정 양수율(370 m3/day)으로 양수를 진행했을 때, 3일 경과 후 약 36 m 정도의 지하수 수위강하가 발생하였다. 진단 분석 그래프를 보면, 수위강하 곡선은 시간에 따라 초중반까지 일정하게 증가하다가 후반부에 이르러 수평으로 수렴해가는 양상을 보였고, 도함수 곡선은 초반에 상승하다가 언덕 형태를 넘어 그 이후 일정한 기울기 형태로 지속적으로 감소하다가 후반부에 거의 0의 값에 급격히 가까워지면서 양수를 종료하였다. 이러한 수위강하 및 도함수 곡선 모양은 앞선 두 지역(낙민, 부곡)과는 완전히 다른 형태로서 Fig. 1(c)의 고정수두경계 흐름에 해당한다. 앞의 두 지역 시추공은 양수를 종료하는 시점까지 특별히 수리적 경계를 만나지 않고 일반 방사상 유동에 근접한 흐름 양상을 보였으나, 장전 시추공에서는 양수가 계속되면서 영향반경이 점차 넓어지다가 지하수를 지속적으로 충분히 공급할 수 있는 저장소와 연결된 것으로 보인다. 따라서 수리 함양 경계 특성을 반영할 수 있는 Moench(1985) 고정수두경계 모델을 장전 시추공 양수시험 자료분석에 적용하였다(Moench, 1985). 비교를 위해 앞의 두 지역에서 적용한 피압대수층 일반 방사상 흐름 모델(Barker, 1988, Dougherty and Babu, 1984)과, 지하수위의 빠른 안정과 도함수 곡선의 급격한 감소 형태가 나타나는 Hantush and Jacob(1955) 모델도 함께 자료분석에 적용하였다(Hantush and Jacob, 1955).
Table 3에 정리된 것처럼 수위강하 및 도함수 곡선 매칭 분석과 RSS 값 수치 비교 검토를 수행한 결과, Moench(1985)의 고정수두경계 모델이 장전 시추공 양수시험 자료에 가장 적합한 최적 해석모델로 나타났다(Fig. 5a). Barker(1988) 모델의 경우에 시험 중후반부까지 비교적 좋은 매칭적합도를 보였으나 마지막 양수 종료 시점 부분의 수리적 경계 특성은 반영하지 못하였다(Fig. 5b). Dougherty and Babu(1984) 모델의 경우는 도함수의 표준곡선과의 매칭적합도가 낮게 나타났고, 본 장전 시추공이 일반적인 2차원 방사상 흐름 양상이 아님을 알 수 있다(Fig. 5c). Hantush and Jacob(1955) 모델의 경우 후반부 도함수 곡선의 감소 형태는 유사하였으나 표준곡선과는 전체적으로 매칭되지 않았고 RSS 값도 높은 편으로 본 장전 시추공 양수시험 해석모델로는 적합하지 않은 것으로 판단하였다(Fig. 5d). Moench(1985) 고정수두경계 모델에 의해서 수리전도도를 산출한 결과, 장전 시추공에서는 균열암반의 수리전도도가 1.39×10-7 m/s로서 앞선 두 지역에 비해 높은 투수성의 대수층 특성을 보였다.
Table 3.
Hydraulic conductivities and residual sum of squares (RSS) estimated using various models in Jangjeon borehole
| Moench (1985) Constant head boundary model | Barker (1988) | Dougherty and Babu (1984) | Hantush and Jacob (1955) | |
| RSS | 2.8 (Best matching) | 10.2 | 31.7 | 33.9 |
| K (m/s) | 1.39E-07 | 2.39E-07 | 2.27E-07 | 9.29E-08 |
앞선 낙민과 부곡 지역과 비교할 때, 장전 지역 시추공 양수시험 결과의 가장 큰 차이점은 자료상에 수리적 경계 특성을 관찰할 수 있다는 점이다. 장전 지역 도함수 곡선이 초반부터 중후반부까지 계속 감소의 형태를 보이고 있는데 이는 시추공으로부터 거리가 멀어짐에 따라 투수성과 그에 따른 절리망 분포 연결성도 높아지고 있다는 것을 의미한다(Fig. 5a). 최종 후반부에서 수위강하가 거의 멈추고 수위강하의 변화율인 도함수 값도 0에 가깝게 수렴한 형태는 수리적 함양 경계를 만난 것으로 판단할 수 있다. 장전 지역의 지질학적 배경을 살펴보면, 동래단층이 인접한 위치에 존재하고, 이 단층은 지하 깊은 곳에 존재하는 고온의 열수를 지표 부근까지 연결하는 이동 통로 역할을 할 수 있는 대규모 단열로 추정하고 있다(Ryu et al., 1999, Son et al., 2002, Shin, 2012, Lee et al., 2024a). 장전 시추공은 오랜 시간 양수시험으로 인하여 영향반경이 확대되다가 후반부에 이 고정수두경계 역할을 할 수 있는 대규모 동래 단층과 연결된 것으로 추정할 수 있다.
장전 시추공과 동래단층과의 연결성은 양수시험 자료 변화 경향과 지리적으로 서로 가깝다는 위치 정보 이외에, 이전 지온경사 및 용출온도 분석 연구 결과를 통해서도 확인이 가능하다(Lee et al., 2024a). 과거부터 동래단층대를 따라 고온의 열수가 지표로 용출되어 올라왔고, 이 지역을 따라 많은 온천공들이 개발되어 현재에는 대규모 온천지구를 구성하고 있다. 온도검층자료 분석 결과, 낙민 시추공의 지온경사와 용출온도는 각각 25.1°C/km와 26.5°C이었고 부곡 시추공의 지온경사와 용출온도는 각각 24.4°C/km와 24.5°C인 반면에, 장전 시추공의 지온경사와 용출온도는 각각 64.0°C/km와 40.1°C로 앞선 두 지역에 비해 매우 높은 온도 특성값을 보인다(Lee et al., 2024a). 따라서 앞선 두 지역과는 달리 장전 지역이 높은 온도를 가지는 열수를 동래단층을 통해 충분히 공급받고 있다고 판단할 수 있으며, 이는 산출된 높은 수리전도도와 도함수 곡선 변화 형태 그리고 물리검층 온도자료 및 지질학적 배경 등 모든 다학제적 정보와 부합하는 결과라 볼 수 있다.
5. 결론 및 제언
본 연구에서는 도함수 진단 분석 방법과 장기 양수시험 자료를 활용하여 국내 심부 균열암반 대수층의 수리특성을 평가하였다. 화강암과 화산암 지역에 위치한 심도 650~790 m의 심부 시추공에서 약 3일 동안 현장 양수시험을 수행하였고, 이를 통해 획득한 시간경과에 따른 수위강하 자료를 도함수 분석에 이용하였다. 수위강하 곡선과 그 변화율을 의미하는 도함수 곡선을 동시에 표준곡선에 중첩하여 가장 적합한 해석모델을 결정하였다. 이 후 최적 해석모델을 이용해 균열암반의 대표적인 수리특성인 수리전도도를 산출하였고, 암반 대수층 내 지하수 흐름 양상 변화와 수리적 경계조건 특성에 관해서도 평가하였다.
연구 결과, 낙민 시추공에서는 Barker(1988)의 일반 방사상 유동 모델이 가장 적합한 것으로 밝혀졌다. 부곡 시추공에서는 Moench(1984)의 이중 공극 모델이 가장 높은 적합도를 보였으며, 마지막으로 장전 시추공에서는 Moench(1985)의 고정수두경계 모델이 양수시험 자료분석에 있어 최적 해석모델로 나타났다. 특히 장전 지역에서 수리경계 특성을 확인하였으며 이는 연구 지역 내에 존재하는 주요 지질구조선인 동래단층과의 연결성이 중요한 요인인 것으로 분석되었다. 본 연구의 도함수 분석을 통해 기존 시간경과에 따른 압력변화인 수위강하 곡선 자료에서 구분하기 어려웠던 시험 초반 수리적 반응인 공내 저류 및 스킨효과와 흐름 양상의 전이, 그리고 원계영역의 수리적 경계 특성을 명확하게 파악할 수 있었다.
본 연구에서 확인된 것처럼 같은 지역 내 유사한 균열암반 구성 내에서도 각 현장 양수시험 자료에 적합한 해석모델이 서로 다르게 나타날 수 있다. 향후 국내 여러 암반 지역에서 양수시험을 수행하고 다양한 해석모델을 검토함으로써 도함수 진단 분석 방법의 적용성과 타당성을 확보하는 연구를 지속적으로 확장할 필요성이 있다. 결론적으로 도함수 진단 분석의 효과적인 활용을 통해 최적의 해석모델을 보다 쉽게 선정할 수 있고, 양수시험을 수행해 얻는 균열암반 수리상수의 정확도와 신뢰도를 제고할 수 있을 것이다.







