1. 서 론
2. 국내 무결암 물성의 암종별 DB
3. 국내 무결암 물성의 강도별 DB
4. 국내 무결암 물성의 지역별 DB
5. 결 론
1. 서 론
IAEA(International Atomic Energy Agency)는 체계적이고 효율적인 부지조사를 위하여 단계별 부지조사 방안을 제안하고 있다(IAEA, 1994). 이를 간략히 설명하면, 먼저 전국 규모의 조사를 수행하여 부적합 지역을 배제하고, 남은 후보지에 대한 기본조사를 수행한다. 기본조사를 통해 부지 특성화 및 적합성 평가를 수행하고 지역 주민의 수용성을 확인한 후, 추가적인 상세조사를 수행한다. 기본조사에서부터 처분장 인허가까지, 최소 30여 년 이상의 매우 장기간이 요구되는데, 스웨덴의 경우 약 40년, 핀란드의 경우 32년이 소요되었다.
국내 사용후핵연료의 누적 발생량은 2020년 4분기 기준, 경수로형 원전에서 20,053 다발, 중수로형 원전에서 474,176 다발, 연구용 원자로에서 512 다발이다(한국수력원자력, 2021, 한국원자력연구원, 2021). 발생된 사용후핵연료는 각 원전 내 임시저장시설에 보관하고 있으나, 지속적인 원전 발전 현황을 고려하면 가까운 시일 내에 임시저장시설의 포화가 예상된다. 상술한 것처럼 최종적인 처분장 건설에 많은 시간이 소요된다는 점과 국내 고준위방사성폐기물 발생 현황을 고려하면 방폐장 부지선정을 위한 조사가 조속히 수행될 필요가 있다.
2016년 산업통상자원부가 제시한 고준위방사성폐기물 단계별 관리 기본계획에 따르면, 기본조사, 부지공모, 상세조사 등 12년에 걸친 부지조사를 수행하고 최종적으로 2051년까지 처분시설을 건설하여 운영해야 한다(산업통상자원부, 2016). 부지조사를 제외하고도, 처분시설 건설허가 신청에서 운영까지 많은 시간이 소요되기 때문에 안전한 처분 및 실증을 위한 관련 기술개발이 시급한 실정이다. 2020년 한국과학기술기획평가원은 사용후핵연료 저장・처분 안전성 확보를 위한 핵심기술개발 사업 예비타당성 보고서를 발간하였다. 이를 통해 관련 기술개발의 필요성이 다시 한번 지적되었으며 그 결과, 대규모의 다부처 기술개발 사업이 추진 중에 있다(한국과학기술기획평가원, 2020). 해당 사업은 사용후핵연료의 저장 안정성 실증 및 표준화, 규제기반 구축 등 포괄적인 내용을 담고 있으며, 특히 처분시설 확보를 위한 단계별 부지적합성 평가 기술개발 및 실증 등 부지조사와 밀접한 관련이 있는 중점/세부과제를 포함하고 있다.
한편, 한국지질자원연구원은 체계적이고 효율적인 부지조사를 수행하기 위하여 단계별 조사요소 분류체계를 제안하였다(한국지질자원연구원, 2016). 이는 평가부문(aspect), 항목(item), 인자(parameter)로 구분되며 각 단계에서 요구되는 평가인자를 구체화하여 총 103개의 인자를 제시하였다(KIGAM, 2019). 이 중, 암반공학 분야의 평가항목은 불연속면, 무결암, 암반 세 가지이며, 관련 평가인자는 총 33개이다. 암반공학 관련 평가인자는 현장실험, 실내실험, 시추공/시추코어 로깅 등 다양한 방법에 의해 측정/추정될 수 있으며 광역/기본조사부터 상세조사 단계에 이르기까지 전 단계에서 활용된다. 암반공학 분야의 평가항목, 인자 목록은 Table 1과 같다(KIGAM, 2019).
Table 1.
Evaluation item and corresponding parameters regarding rock mechanics and engineering
|
Item
|
Fracture
|
Intact rock
|
Rock mass
|
|
Parameter
|
Density
|
Water content
|
Deformation modulus
|
|
Magnitude
|
Specific gravity
|
Poisson’s ratio
|
|
Orientation
|
Porosity
|
Tensile strength
|
|
Aperture
|
Seismic velocity
|
Compressive strength
|
|
Stiffness
|
Young’s modulus
|
Shear strength
|
|
Friction angle
|
Poisson’s ratio
|
Rock mass classification
(RQD, RMR, Q, etc.)
|
|
Cohesion
|
Uniaxial compressive strength
|
In-situ stress
|
|
Dilation angle
|
Tensile strength
|
Anisotropy and heterogeneity
|
|
Joint roughness
|
Cohesion, internal friction angle
| |
|
Joint compressive strength
|
Creep constants
| |
|
Crack initiation/damage stress
| |
|
Fracture toughness
| |
|
Permeability
| |
국내 지질환경 중 암종의 면적을 분류하면 화성암(36%), 변성암(30%), 퇴적암(25%), 미고결층(9%)으로 구분되며, 미고결층을 제외하면 암종별 비율에 큰 차이를 보이지 않는다(KIGAM, 2019). 처분장 후보 부지 선정 시, 합리적이고 주민 수용성이 높은 결과를 도출하기 위해서는 객관적인 부지적합성 평가 기술뿐만 아니라, 다양한 암종과 그 지역적 특성을 고려한 폭넓은 기반자료를 구축하여 평가할 필요가 있다. 본 논문은 이러한 기반자료(DB) 제공을 목적으로 한 기초 작업이며, 상술한 평가항목 중 무결암 시험편에 대한 실내시험 결과를 취합/정리하였다. 수집된 무결암 물성은 암종별, 강도별, 지역별로 분류하여 그 범위와 기술 통계량을 제시하였으며, 이는 향후 연구가 진행됨에 따라 지속적으로 갱신하여 발표될 예정이다.
2. 국내 무결암 물성의 암종별 DB
Choi et al.(2020)은 부지 선정 시 고려되는 암반공학적 평가인자에 대한 국내외 사례를 보고하였다. 이는 다양한 역학적, 물리적 물성을 포함하고 있으며, 본 논문에서 취합하여 정리한 무결암 물성은 비중(specific gravity, SG), 공극률(porosity, PO), P- 파와 S-파 속도(P- and S-wave velocity, VP, VS), 단축압축강도(uniaxial compressive strength, UCS), 탄성계수(Young’s modulus, E), 포아송비(Poisson’s ratio, υ), 압열인장강도(Brazilian tensile strength, BTS), 점착력(cohesion, c), 내부마찰각(internal friction angle, ∅)이다. 수집된 무결암 물성은 한국지질자원연구원과 서울대학교 암반공학연구실에서 수행해온 암석 실내시험결과의 일부를 취합한 자료이다. 물성별로 데이터의 크기가 상이하여 출처에 따른 데이터 비율을 정확히 산정하기는 어려우나 본 논문에 사용된 데이터는 대략적으로 한국지질자원연구원과 서울대학교 암반공학연구실의 자료가 4:6 정도의 비율을 이루고 있다. 또한, 대상 시험편이 취득된 심도에 대한 정보는 누락된 경우가 많아 본 논문에서 다루지 않았으나 상당수의 자료가 토목 구조물 시공/설계와 관련된 경우가 많아 비교적 천부 암반에서 취득되었을 것임을 참고할 필요가 있다. 상기 물성을 화성암(IGN), 변성암(MET), 퇴적암(SED)으로 대별하여 기술통계량을 분석한 결과는 Table 2와 같다.
Table 2.
Descriptive statistics of the intact rock properties according to rock type
| SG
(-)
| PO
(%)
| VP
(m/s)
| VS
(m/s)
| UCS
(MPa)
| E
(GPa)
| υ
(-)
| BTS
(MPa)
| c
(MPa)
| ∅
(deg)
|
| IGN rocks |
|
n
|
480
|
454
|
562
|
562
|
780
|
493
|
493
|
237
|
274
|
274
|
|
Ave.
|
2.70
|
1.52
|
4,256
|
2,290
|
122.16
|
36.15
|
0.22
|
11.91
|
20.80
|
54.61
|
|
S.D.
|
0.11
|
1.60
|
1,251
|
612
|
69.37
|
17.96
|
0.05
|
5.71
|
9.64
|
4.45
|
|
CV (%)
|
4.12
|
105.27
|
29.41
|
26.76
|
56.79
|
49.68
|
23.53
|
47.94
|
46.35
|
8.14
|
|
Min
|
2.36
|
0.13
|
1,020
|
660
|
10.20
|
1.18
|
0.10
|
1.00
|
2.00
|
40.00
|
|
Max
|
2.97
|
7.51
|
6,930
|
3,910
|
338.00
|
78.59
|
0.36
|
27.00
|
44.90
|
63.00
|
| MET rocks |
|
n
|
780
|
720
|
790
|
790
|
1,052
|
800
|
800
|
503
|
515
|
515
|
|
Ave.
|
2.71
|
1.11
|
4,257
|
2,308
|
92.91
|
32.64
|
0.21
|
10.89
|
18.55
|
51.21
|
|
S.D.
|
0.10
|
1.50
|
917
|
461
|
52.70
|
15.37
|
0.05
|
4.08
|
7.03
|
6.65
|
|
CV (%)
|
3.79
|
134.54
|
21.49
|
19.98
|
56.72
|
47.09
|
25.75
|
37.49
|
39.37
|
12.98
|
|
Min
|
2.36
|
0.05
|
1,280
|
910
|
6.12
|
1.20
|
0.10
|
1.00
|
3.00
|
35.00
|
|
Max
|
3.01
|
10.52
|
6,940
|
3,680
|
291.84
|
74.59
|
0.36
|
23.47
|
41.84
|
36.00
|
| SED rocks |
|
n
|
395
|
343
|
380
|
380
|
445
|
358
|
358
|
245
|
252
|
252
|
|
Ave.
|
2.65
|
2.27
|
4,290
|
2,335
|
116.08
|
33.85
|
0.20
|
13.23
|
21.88
|
51.65
|
|
S.D.
|
0.11
|
2.53
|
1,099
|
528
|
62.36
|
13.77
|
0.05
|
6.09
|
9.13
|
5.23
|
|
CV (%)
|
4.35
|
111.29
|
25.63
|
22.63
|
53.73
|
40.69
|
25.56
|
46.02
|
41.74
|
10.13
|
|
Min
|
2.22
|
0.06
|
1,160
|
750
|
3.67
|
2.84
|
0.10
|
2.00
|
4.00
|
38.9
|
|
Max
|
2.97
|
17.34
|
6,460
|
3,610
|
343.00
|
77.03
|
0.36
|
31.00
|
45.92
|
67.00
|
Table 2에 기재된 무결암 물성의 분포는 Fig. 1과 같다. 간격은 9~11개 수준으로 조절하였으며, 각 물성의 암종별 표본 크기가 상이하기 때문에 상대빈도로 도시하였다.

Fig. 1
Distribution of the intact rock properties for different rock types
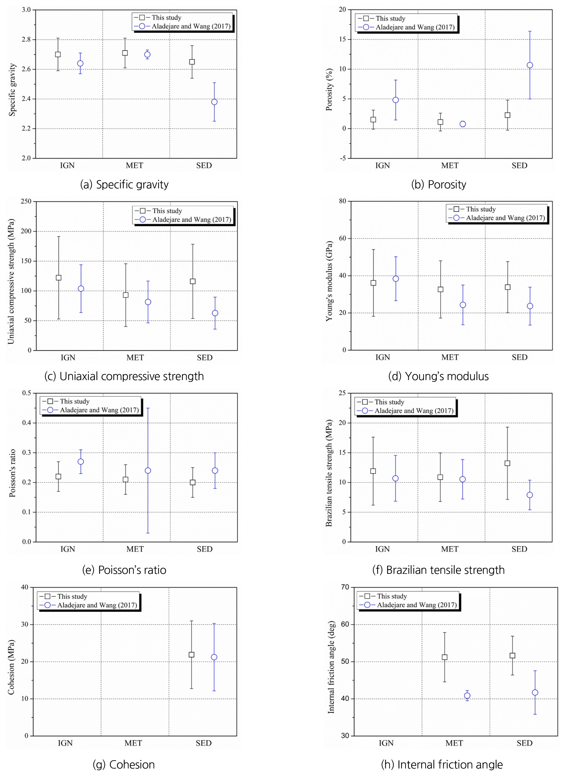
상기 결과는 Aladejare and Wang(2017)와 비교 가능하다. 그들은 전 세계에서 보고된 135개의 논문 등을 취합해 무결암 물성에 대한 각종 통계량을 제시하였다. 화성암, 변성암, 퇴적암으로 대별하여 각종 물리적, 역학적 물성에 대한 평균, 범위, 변동계수를 보고했으며 이 중, 본 논문의 자료와 비교 가능한 물성을 Fig. 2에 도시하였다. 퇴적암의 비중, 공극률, 변성암의 내부마찰각 등을 제외하면 오차범위 내에서 각 결과가 비교 가능함을 확인할 수 있다.

Fig. 2
Comparison of the collected intact rock properties with those of Aladejare and Wang (2017)
암종에 따른 무결암 물성 사이에 유의미한 차이가 존재하는지 여부를 확인하기 위해 일원 분산분석(one-way ANOVA)을 수행하였다. Fig. 1에서 확인할 수 있듯이, 모든 물성이 정규분포를 따른다고 볼 수는 없으나 표본의 크기가 충분히 크기 때문에 비모수적 분석이 아닌 분산분석을 적용하였다. 유의수준은 0.05, 사후 분석은 Scheffe 기준을 적용하였고 그 결과는 Table 3와 같다.
Table 3.
ANOVA results on the effect of rock type
|
Property
|
Group
|
Ave.
difference
|
Probability
|
Property
|
Group
|
Ave.
difference
|
Probability
|
SG
(-)
|
IGN-MET
|
-0.04
|
0.0000*
| PO
(%)
|
IGN-MET
|
0.40
|
0.0010*
|
|
IGN-SED
|
0.01
|
0.1469
|
IGN-SED
|
-0.75
|
0.0000*
|
|
MET-SED
|
0.05
|
0.0000*
|
MET-SED
|
-1.16
|
0.0000*
|
VP
(m/s)
|
IGN-MET
|
-1.25
|
0.9998
| VS
(m/s)
|
IGN-MET
|
-19.25
|
0.8049
|
|
IGN-SED
|
-34.04
|
0.8934
|
IGN-SED
|
-46.05
|
0.4243
|
|
MET-SED
|
-32.79
|
0.8883
|
MET-SED
|
-26.80
|
0.7198
|
UCS
(MPa)
|
IGN-MET
|
29.25
|
0.0000*
| E
(GPa)
|
IGN-MET
|
3.51
|
0.0000*
|
|
IGN-SED
|
6.08
|
0.2420
|
IGN-SED
|
2.30
|
0.1139
|
|
MET-SED
|
-23.17
|
0.0000*
|
MET-SED
|
-1.21
|
0.4866
|
υ
(-)
|
IGN-MET
|
0.01
|
0.0012*
| BTS
(MPa)
|
IGN-MET
|
1.02
|
0.0384*
|
|
IGN-SED
|
0.02
|
0.0000*
|
IGN-SED
|
-1.31
|
0.0175*
|
|
MET-SED
|
0.01
|
0.2272
|
MET-SED
|
-2.33
|
0.0000*
|
c
(MPa)
|
IGN-MET
|
2.25
|
0.0017*
| ∅
(deg)
|
IGN-MET
|
3.40
|
0.0000*
|
|
IGN-SED
|
-1.08
|
0.3435
|
IGN-SED
|
2.96
|
0.0000*
|
|
MET-SED
|
-3.33
|
0.0000*
|
MET-SED
|
-0.43
|
0.6202
|
암종에 따른 무결암 물성 차이에서 뚜렷한 경향을 확인할 수 없었다. 화성암, 변성암, 퇴적암으로 구분 시, 유의수준(0.05) 이내에서 암종의 효과가 확실히 검출된 물성은 공극률과 압열인장강도뿐이며, 탄성파 속도는 암종에 따른 차이를 전혀 보이지 않았다. 탄성계수의 경우 화성암-변성암 사이의 차이만 확인되었으며, 언급되지 않는 나머지 물성은 두 수준에서 차이를 보였다.
화성암, 변성암, 퇴적암 수준의 대분류로는 암종 효과의 뚜렷한 경향을 확인할 수 없었기 때문에 수집된 자료를 세부적인 암종으로 재분류하였다. 표본의 크기가 충분하며 동시에 대표성이 있는 암종을 선정하였으며 이에 대한 통계량을 기술하면 Table 4와 같다.
Table 4.
Descriptive statistics of the intact rock properties according to the detailed rock type
| | SG
(-)
| PO
(%)
| VP
(m/s)
| VS
(m/s)
| UCS
(MPa)
| E
(GPa)
| υ
(-)
| BTS
(MPa)
| c
(MPa)
| ∅
(deg)
|
| IGN | Granite |
|
n
|
264
|
248
|
335
|
335
|
424
|
282
|
282
|
133
|
172
|
172
|
|
Ave.
|
2.64
|
1.50
|
3,917
|
2,147
|
114.84
|
34.55
|
0.23
|
10.58
|
19.27
|
54.70
|
|
S.D.
|
0.10
|
1.60
|
1,180
|
598
|
60.11
|
17.33
|
0.05
|
4.78
|
8.51
|
4.36
|
|
CV (%)
|
3.83
|
106.98
|
30.13
|
27.86
|
52.35
|
50.15
|
23.78
|
45.20
|
44.17
|
7.96
|
|
Min
|
2.36
|
0.13
|
1,020
|
660
|
10.20
|
1.27
|
0.10
|
1.00
|
2.00
|
40.00
|
|
Max
|
2.97
|
7.51
|
6,180
|
3,910
|
284.69
|
72.91
|
0.36
|
25.51
|
41.84
|
62.20
|
| Andesite |
|
n
|
153
|
149
|
149
|
149
|
260
|
148
|
148
|
75
|
74
|
74
|
|
Ave.
|
2.71
|
1.61
|
5,196
|
2,712
|
138.96
|
37.15
|
0.21
|
13.90
|
24.23
|
54.10
|
|
S.D.
|
0.11
|
1.61
|
999
|
495
|
81.47
|
18.24
|
0.05
|
6.48
|
11.39
|
4.23
|
|
CV (%)
|
4.22
|
100.53
|
19.23
|
18.24
|
58.62
|
49.09
|
23.74
|
46.59
|
47.01
|
7.81
|
|
Min
|
2.37
|
0.17
|
1,600
|
1,140
|
14.00
|
2.80
|
0.11
|
3.00
|
5.00
|
40.00
|
|
Max
|
2.87
|
6.60
|
6,930
|
3,790
|
338.00
|
78.59
|
0.35
|
27.00
|
44.90
|
63.00
|
| MET | Gneiss |
|
n
|
670
|
612
|
677
|
677
|
938
|
688
|
688
|
462
|
474
|
474
|
|
Ave.
|
2.70
|
1.22
|
4,208
|
2,285
|
92.64
|
32.01
|
0.21
|
10.80
|
18.39
|
51.20
|
|
S.D.
|
0.10
|
1.59
|
932
|
462
|
51.55
|
15.13
|
0.05
|
4.05
|
7.17
|
6.71
|
|
CV (%)
|
3.66
|
129.83
|
22.14
|
20.22
|
55.64
|
47.27
|
25.98
|
37.55
|
38.99
|
13.10
|
|
Min
|
2.36
|
0.05
|
1,280
|
910
|
6.12
|
1.20
|
0.10
|
1.00
|
3.00
|
36.60
|
|
Max
|
3.01
|
10.52
|
6,940
|
3,680
|
285.00
|
69.48
|
0.36
|
23.47
|
39.00
|
66.00
|
| Schist |
|
n
|
65
|
63
|
67
|
67
|
68
|
67
|
67
|
22
|
22
|
22
|
|
Ave.
|
2.73
|
0.72
|
4,455
|
2,338
|
95.76
|
30.90
|
0.23
|
11.37
|
19.48
|
50.52
|
|
S.D.
|
0.15
|
0.59
|
919
|
463
|
65.20
|
14.94
|
0.05
|
4.64
|
8.13
|
7.08
|
|
CV (%)
|
5.45
|
82.03
|
20.63
|
19.80
|
68.09
|
48.33
|
23.16
|
40.80
|
41.75
|
14.02
|
|
Min
|
2.38
|
0.05
|
1,770
|
1,100
|
9.18
|
4.61
|
0.13
|
5.10
|
7.14
|
35.00
|
|
Max
|
3.00
|
3.00
|
6,130
|
3,350
|
267.35
|
74.59
|
0.33
|
23.00
|
37.76
|
59.00
|
| SED | Sandstone |
|
n
|
128
|
107
|
129
|
129
|
144
|
117
|
117
|
81
|
86
|
86
|
|
Ave.
|
2.66
|
2.04
|
4,623
|
2,490
|
129.33
|
36.66
|
0.19
|
15.62
|
25.16
|
51.75
|
|
S.D.
|
0.11
|
2.70
|
1,006
|
491
|
64.39
|
13.59
|
0.05
|
6.01
|
8.35
|
5.24
|
|
CV (%)
|
4.13
|
132.61
|
21.75
|
19.74
|
49.79
|
37.07
|
26.62
|
38.45
|
33.20
|
10.12
|
|
Min
|
0.24
|
0.18
|
1,530
|
870
|
3.67
|
2.84
|
0.10
|
2.04
|
9.18
|
38.90
|
|
Max
|
2.90
|
17.34
|
6,010
|
3,400
|
292.00
|
72.81
|
0.36
|
31.00
|
42.00
|
61.00
|
| Tuff |
|
n
|
95
|
85
|
85
|
85
|
105
|
87
|
87
|
65
|
67
|
67
|
|
Ave.
|
2.57
|
4.04
|
4,144
|
2,192
|
117.78
|
26.04
|
0.20
|
10.94
|
18.93
|
53.09
|
|
S.D.
|
0.10
|
2.47
|
894
|
441
|
62.71
|
13.17
|
0.05
|
5.75
|
8.26
|
4.89
|
|
CV (%)
|
4.05
|
61.16
|
21.57
|
20.14
|
53.24
|
50.59
|
26.81
|
52.58
|
43.64
|
9.22
|
|
Min
|
2.29
|
0.06
|
1,870
|
1,180
|
5.10
|
3.10
|
0.10
|
2.00
|
4.00
|
42.40
|
|
Max
|
2.80
|
13.10
|
6,240
|
3,200
|
343.00
|
77.03
|
0.34
|
26.53
|
45.92
|
67.00
|
|
SED
|
Shale
|
|
n
|
100
|
84
|
95
|
95
|
105
|
81
|
81
|
46
|
46
|
46
|
|
Ave.
|
2.68
|
1.78
|
3,832
|
2,197
|
113.79
|
36.68
|
0.21
|
13.91
|
24.02
|
52.20
|
|
S.D.
|
0.07
|
1.83
|
1,244
|
633
|
60.14
|
13.41
|
0.05
|
5.57
|
10.63
|
5.46
|
|
CV (%)
|
2.79
|
102.96
|
32.49
|
28.81
|
52.85
|
36.54
|
22.59
|
40.03
|
44.25
|
10.46
|
|
Min
|
2.39
|
0.18
|
1,160
|
750
|
30.61
|
9.70
|
0.10
|
2.04
|
7.14
|
41.00
|
|
Max
|
2.97
|
9.79
|
6,290
|
3,610
|
276.00
|
68.70
|
0.32
|
24.49
|
43.88
|
61.00
|
국내 암종별 무결암의 역학적 특성은 Kim and Kim (2006), Cheon et al. (2008), Sunwoo et al. (2011) 등에 의해 보고된 바 있다. 공극률은 음지수 분포 형태, 나머지 물성은 정규 혹은 대수정규 형태로 근사 가능하며 또한, 그 범위 등에서 선행 연구에서 보고된 결과와 본 논문에서 제시된 분포, 범위가 유사함을 확인할 수 있다.
3. 국내 무결암 물성의 강도별 DB
암종에 따른 물성 분류 외에, 강도에 따른 분류가 더 유용한 경우가 있다. 예를 들어, RMR을 통한 암반분류 시, 단축압축강도가 평가 인자 중 하나로 사용되며(Bieniawski, 1989), 국내의 경우 국토교통부 건설표준품셈 등에서 단축압축강도를 활용한 암반분류를 수행할 수 있다(국토교통부, 2019). 강도를 바탕으로 무결암을 분류하는 기준은 Deer and Miller(1966), ISRM(1981) 등이 있으며, 이 중 Deer and Miller와 Bieniawski의 RMR 평가인자 분류 기준을 정리하면 Table 5와 같다.
Table 5.
Engineering classifications of rock in terms of UCS
|
Class
|
Description
|
UCS (MPa)
|
| Deer and Miller (1966) | Bieniawski (1989) |
|
A
|
Very high strength
|
≥ 220.0
|
≥ 250.0
|
|
B
|
High strength
|
110.0 – 220.0
|
100.0 – 250.0
|
|
C
|
Medium strength
|
55.0 – 110.0
|
50.0 – 100.0
|
|
D
|
Low strength
|
27.5 – 55.0
|
25.0 – 50.0
|
|
E
|
Very low strength
|
≤ 27.5
|
≤ 25.0
|
본 논문에서 수집된 무결암 물성을 Table 5의 Bieniawski 강도 등급 기준으로 재분류하여 기술통계량을 계산하면 Table 6, Fig. 3과 같다.
Table 6.
Descriptive statistics of the intact rock properties according to the strength class in RMR
| SG
(-)
| PO
(%)
| VP
(m/s)
| VS
(m/s)
| UCS
(MPa)
| E
(GPa)
| υ
(-)
| BTS
(MPa)
| c
(MPa)
| ∅
(deg)
|
| Class E (≤ 25.0 MPa, very low strength) |
|
n
|
89
|
81
|
92
|
92
|
135
|
89
|
89
|
32
|
27
|
27
|
|
Ave.
|
2.61
|
3.83
|
2,789
|
1,543
|
17.79
|
12.84
|
0.23
|
5.30
|
9.57
|
48.83
|
|
S.D.
|
0.14
|
3.22
|
1,144
|
540
|
5.36
|
11.02
|
0.06
|
4.89
|
6.91
|
5.83
|
|
CV (%)
|
5.50
|
84.09
|
41.03
|
34.98
|
30.11
|
85.84
|
27.66
|
92.34
|
72.23
|
11.94
|
|
Min
|
2.36
|
0.16
|
1,020
|
660
|
3.67
|
1.18
|
0.11
|
1.00
|
2.00
|
35.00
|
|
Max
|
2.90
|
17.34
|
5,400
|
2,750
|
25.00
|
48.12
|
0.36
|
23.47
|
30.61
|
57.20
|
| Class D (25.0 – 50.0 MPa, low strength) |
|
n
|
197
|
180
|
204
|
204
|
303
|
203
|
203
|
89
|
99
|
99
|
|
Ave.
|
2.65
|
2.69
|
3,442
|
1,864
|
38.19
|
20.33
|
0.23
|
6.20
|
9.99
|
50.13
|
|
S.D.
|
0.14
|
2.49
|
1,161
|
546
|
7.52
|
12.99
|
0.06
|
3.12
|
4.79
|
5.57
|
|
CV (%)
|
5.13
|
92.74
|
33.74
|
29.28
|
19.69
|
63.87
|
27.14
|
50.29
|
47.92
|
11.10
|
|
Min
|
2.29
|
0.07
|
1,060
|
750
|
25.51
|
1.78
|
0.10
|
1.00
|
4.00
|
37.00
|
|
Max
|
3.01
|
13.10
|
6,940
|
2,999
|
50.00
|
55.17
|
0.36
|
16.33
|
28.57
|
62.10
|
| Class C (50.0 – 100.0 MPa, medium strength) |
|
n
|
521
|
462
|
532
|
532
|
729
|
527
|
527
|
282
|
299
|
299
|
|
Ave.
|
2.69
|
1.38
|
4,137
|
2,251
|
76.03
|
30.78
|
0.21
|
9.72
|
14.91
|
50.85
|
|
S.D.
|
0.11
|
1.62
|
956
|
458
|
14.44
|
13.66
|
0.06
|
3.74
|
4.92
|
5.88
|
|
CV (%)
|
4.27
|
117.22
|
23.11
|
20.34
|
19.00
|
44.39
|
25.92
|
38.47
|
33.01
|
11.56
|
|
Min
|
2.22
|
0.05
|
1,210
|
720
|
51.00
|
2.74
|
0.10
|
2.00
|
5.00
|
37.00
|
|
Max
|
2.98
|
10.49
|
6,690
|
3,680
|
100.00
|
68.01
|
0.36
|
25.51
|
37.76
|
66.00
|
| Class B (100.0 – 250.0 MPa, high strength) |
|
n
|
792
|
738
|
848
|
848
|
1,049
|
786
|
786
|
527
|
556
|
556
|
|
Ave.
|
2.69
|
1.07
|
4,624
|
2,497
|
150.64
|
40.92
|
0.20
|
13.56
|
24.16
|
53.33
|
|
S.D.
|
0.09
|
1.24
|
808
|
394
|
38.14
|
12.88
|
0.05
|
4.20
|
6.42
|
5.87
|
|
CV (%)
|
3.33
|
116.03
|
17.47
|
15.76
|
25.32
|
31.47
|
22.91
|
30.97
|
26.57
|
11.01
|
|
Min
|
2.33
|
0.06
|
1,160
|
1,030
|
101.00
|
6.27
|
0.10
|
4.00
|
3.00
|
36.6
|
|
Max
|
2.97
|
10.36
|
6,870
|
3,790
|
250.00
|
77.81
|
0.35
|
31.00
|
43.00
|
66.00
|
| Class A (≥ 250.0 MPa, very high strength) |
|
n
|
44
|
42
|
44
|
44
|
61
|
41
|
41
|
25
|
26
|
26
|
|
Ave.
|
2.75
|
0.54
|
5,565
|
2,919
|
282.80
|
54.57
|
0.21
|
22.32
|
38.40
|
55.33
|
|
S.D.
|
0.08
|
0.39
|
674
|
362
|
22.71
|
10.71
|
0.05
|
4.53
|
5.89
|
5.01
|
|
CV (%)
|
2.89
|
71.11
|
12.11
|
12.41
|
8.03
|
19.64
|
21.84
|
20.29
|
15.33
|
9.05
|
|
Min
|
2.58
|
0.09
|
3,920
|
2,280
|
252.00
|
29.11
|
0.13
|
10.00
|
17.35
|
41.00
|
|
Max
|
2.96
|
1.40
|
6,930
|
3,910
|
343.00
|
78.59
|
0.35
|
30.00
|
45.92
|
67.00
|

Fig. 3
Variation of the intact rock properties and CV values according to the strength class
강도 등급 기준으로 재분류한 결과, 무결암 물성 변화에서 일정한 경향을 찾을 수 있었다. 공극률, 포아송비는 강도 등급이 증가함에 따라 그 값이 감소했으며, 그 외의 물성은 일반적으로 강도 등급에 따라 증가하는 경향을 보였다. 또한, 공극률을 제외한 모든 물성은 강도 등급이 증가함에 따라 변동계수가 감소하였다. 이는 본 논문에서 수집된 기반자료들이 단축압축강도를 기준으로 일정한 상관관계가 있음을 의미한다.
4. 국내 무결암 물성의 지역별 DB
수집된 기반자료 중, 위치정보를 포함하고 있는 자료를 발췌하여 지역별로 재분류하였다. 광역시/도별로 분류하였으며, 여러 무결암 물성 중 대표성이 높다고 판단되는 단축압축강도를 기준으로 기술통계량을 계산하면 Table 7과 같다.
Table 7.
Descriptive statistics of the uniaxial compressive strength according to rock type and administrative district
|
Admin.
district
|
Uniaxial compressive strength (MPa)
|
|
Total
|
IGN
|
MED
|
SED
|
|
n
|
Ave.
|
S.D.
|
n
|
Ave.
|
S.D.
|
n
|
Ave.
|
S.D.
|
n
|
Ave.
|
S.D.
|
|
Seoul
|
318
|
97.72
|
49.18
|
123
|
107.71
|
48.04
|
191
|
91.60
|
49.31
|
4
|
83.42
|
30.53
|
|
Busan
|
76
|
185.22
|
60.94
|
29
|
199.37
|
64.34
|
-
|
-
|
-
|
47
|
176.49
|
57.72
|
|
Daegu
|
58
|
104.19
|
46.74
|
-
|
-
|
-
|
-
|
-
|
-
|
58
|
104.19
|
46.74
|
|
Incheon
|
49
|
72.95
|
38.95
|
11
|
67.90
|
37.02
|
38
|
74.41
|
39.86
|
-
|
-
|
-
|
|
Daejeon
|
16
|
102.87
|
56.67
|
15
|
107.01
|
56.11
|
1
|
40.82
|
-
|
-
|
-
|
-
|
|
Ulsan
|
24
|
106.72
|
39.84
|
13
|
127.55
|
39.34
|
-
|
-
|
-
|
11
|
82.10
|
23.70
|
|
Gyonggi
|
152
|
89.53
|
44.81
|
19
|
108.65
|
50.26
|
128
|
87.86
|
43.33
|
5
|
56.94
|
41.21
|
|
Gangwon
|
200
|
94.49
|
56.73
|
64
|
99.68
|
59.56
|
80
|
81.56
|
56.22
|
56
|
107.05
|
51.06
|
|
North Chungcheong
|
117
|
95.34
|
58.37
|
15
|
79.18
|
36.37
|
72
|
92.28
|
51.33
|
30
|
110.78
|
78.31
|
|
South Chungcheong
|
21
|
68.78
|
34.17
|
3
|
99.67
|
22.85
|
18
|
63.64
|
33.40
|
-
|
-
|
-
|
|
North Jeolla
|
83
|
121.63
|
69.06
|
22
|
86.31
|
68.40
|
54
|
137.99
|
66.52
|
7
|
106.41
|
49.60
|
|
South Jeolla
|
338
|
114.60
|
65.49
|
150
|
140.38
|
71.33
|
131
|
83.22
|
39.85
|
57
|
118.85
|
66.94
|
|
North Gyeongsang
|
237
|
97.71
|
57.63
|
58
|
107.89
|
45.21
|
119
|
87.66
|
56.73
|
60
|
107.79
|
66.84
|
|
South Gyeongsang
|
153
|
123.28
|
61.55
|
55
|
148.00
|
64.08
|
6
|
92.35
|
48.91
|
92
|
110.51
|
56.24
|
|
Jeju
|
21
|
97.42
|
51.84
|
21
|
97.42
|
51.84
|
-
|
-
|
-
|
-
|
-
|
-
|
위치정보를 바탕으로 대표적인 강도 물성인 단축압축강도와 압열인장강도에 대한 정규 크리깅을 수행하였다. 기반이 되는 베리오그램은 구형모델을 적용하였고 한반도 내 두 강도 물성의 공간적 분포를 도시하면 Fig. 4와 같다.

Fig. 4
Spatial distribution of the strength properties (unit: MPa)
Table 7에서 확인할 수 있듯, 지역별/암종별 표본의 크기 등에서 차이가 크며 특정 지역에 편중되는 등의 한계가 있기 때문에 단축압축강도의 공간적 분포는 참고자료로만 활용 가능할 것으로 판단된다. 또한, 단순 지역별 분류가 아닌 지체구조별 분류 및 그에 따른 분포의 차이 등 추가적인 분석이 필요할 것으로 판단된다.
5. 결 론
국내 고준위방사성폐기물 발생현황 및 최종적인 처분장 건설, 운영까지 장시간이 소요된다는 점을 고려할 때, 처분장 부지선정을 위한 연구진행이 시급히 요구된다. 부지선정 과정은 단계별로 진행되는 것이 일반적이며 광역조사부터 상세조사까지 매우 다양한 기반자료를 바탕으로 부지의 적합성을 검토한다. 본 논문은 이러한 부지선정 과정에서 참조할 수 있는 암반공학적 평가인자에 대한 기반자료를 제공하고자 작성되었다.
국내에서 수행된 실내시험결과를 취합하였으며, 그 결과 무결암의 물리적/역학적 물성 중, 다양하게 활용되는 10개의 물성(i.e. 비중, 공극률, P-파와 S-파 속도, 단축압축강도, 탄성계수, 포아송비, 압열인장강도, 점착력, 내부마찰각)에 대한 각종 기술통계량을 제시하였다. 먼저 기반자료를 화성암, 변성암, 퇴적암으로 대별하여 통계량과 그 분포를 기재했으며 추가적으로 화강암, 편마암 등 대표적인 암종에 대해 결과를 재분류하여 통계량을 제시하였다.
암종 외에 가장 대표적인 역학적 물성인 단축압축강도를 기준으로 무결암 물성을 분류하였다. 단축압축강도를 RMR의 평가 인자 기준, 5가지 등급으로 분류하여 각 물성의 통계량을 기재하였다. 그 결과, 강도 등급에 따른 일정한 경향을 찾을 수 있었으며, 대표적으로 공극률을 제외한 모든 물성의 변동계수는 단축압축강도가 증가함에 따라 감소하는 것으로 파악되었다.
마지막으로 본 논문에서 수집된 기반자료 중, 위치정보를 포함하고 있는 자료를 발췌하여 지역별로 분류하였다. 대표적 강도 물성인 단축압축강도와 압열인장강도에 대하여 정규 크리깅을 통해 공간 분포를 도시하였다. 이는 표본의 크기 등에서 지역별 편차가 크기 때문에 참고자료로만 활용할 수 있을 것으로 판단된다.
일반적으로 고준위방사성폐기물처분장은 500 m 이상 대심도에 건설하는 것을 목표로 한다. 따라서 심도에 따른 물성 DB 구축 및 그 특성 파악이 매우 중요하나 본 논문에서 수집된 DB는 심도에 관한 정보가 누락된 경우가 많아 이에 따른 분석은 수행하지 않았다. 한편, 한국지질자원연구원에서는 암종, 지체구조별로 750 m급 심부 시추공을 시추하여 다양한 현장, 실내시험을 수행 중이다(한국지질자원연구원, 2020). 본 논문에서 작성된 DB는 향후 연구 진행에 따라 기반자료로 활용될 예정이며 심도, 지체구조 등 추가적인 분석을 통하여 지속적으로 보완될 예정이다.