1. 서 론
무결암의 강도 및 변형특성(deformability)에 대한 평가는 실내 암석역학시험을 통하여 이루어지며 이에 대한 방법 및 절차에 관한 국내외 기준은 관련 학회에서 규정하고 있다. 절리성 암반의 경우 절리의 역학적 특성 및 절리분포의 변동성으로 인하여 강도 및 변형특성을 파악하는 것은 매우 어려우며 이에 대한 평가 기준은 현재에도 확고하게 정립되지 못한 실정이다. 일반적으로 무결암 대비 낮은 강도를 나타내는 절리성 암반은 불연속, 불균질, 이방성, 비선형의 탄성체로 취급할 수 있으며, 동일 응력수준에서 무결암보다 더 많은 변형이 발생하는 경우가 대부분이다(Harrison and Hudson, 1997). 이는 응력-변형과 관련된 절리성 암반의 거동이 주로 불연속절리망(DFN; discrete fracture network) 시스템의 기하학적 속성과 개별절리의 역학적 특성에 영향을 받기 때문이다(Ryu et al., 2020).
절리성 암반의 변형특성은 유의미한 응력수준에서 현장시험을 수행하여 직접적으로 추정할 수 있지만, 현장시험은 다양한 기하학적 및 역학적 특성이 내재된 현장의 절리분포로 인하여 시간, 비용 및 기술적 한계 등의 제약이 따른다. 현재 현장에서 빈번히 적용되는 암반분류지수와 변형특성 간의 경험적 상관관계를 활용한 간접 추정법 역시 절리의 기하학적 속성에 따른 이방적 및 규모 종속적 변형특성을 평가함에 있어서 한계가 명확하다(Ryu et al., 2020). 암반의 변형특성은 보편적으로 암반 규모의 증가 또는 절리의 빈도 및 길이의 증가에 따라 저감되는 양상을 보이지만 대표요소체적(REV; representative elementary volume) 이상의 암반에서는 실무 관점에서 이들의 변화가 무의미함이 다양한 현장시험과 수치해석을 통하여 논의된 바 있다(Bieniawski, 1968, Bieniawski and Van Heerden, 1975, Bieniawski, 1978, Castelli et al., 2003).
최근 들어 현장의 절리성 암반을 모사한 DFN을 구현하고 구성모델(constitutive models)이 정립된 무결암과 절리의 상호작용을 고려하여 수치해석을 통한 절리성 암반의 강도 및 변형에 관한 연구가 활발히 수행되는 추세이다(Min and Jing, 2003, Min and Thoraval, 2012, Lei et al., 2017). 수치해석은 유한요소법(FEM; finite element method)과 개별요소법(DEM; distinct element method) 등이 주로 활용되는데, 연속체 역학에 기초한 FEM과 달리 DEM은 절리성 암반에 대한 응력-변형 해석을 수행함에 있어서 절리의 기하학적 속성을 고려할 수 있는 장점이 있다(Ryu et al., 2020). 저자들은 유한 길이의 절리를 고려한 다면체 구성 기법(Wang and Kulatilake, 1993)을 활용하여 3DEC(Itasca, 2016) 기반의 수치실험을 수행하고 절리의 방향성, 빈도, 길이 등의 개별적 기하학적 속성이 DFN 시스템의 이방적 변형특성에 미치는 영향에 대하여 보고하였다(Ryu et al., 2020, Ryu and Um, 2020).
Oda(1982)와 Satake(1982)가 동시기에 정립한 절리텐서(fracture tensor) 이론은 삼차원 절리성 암반에서 개별절리의 발달 양상을 확률분포로 간결하게 정량화하는 수단으로 최근까지 이용되고 있다(Kanatani, 1984, Rothenburg and Bahurst, 1992, Li and Li, 2009, Fu and Dafalias, 2015). 저자는 선행연구를 통하여 절리의 방향, 빈도, 길이 등의 개별적인 절리구조 속성들을 결합한 이차원 절리텐서 파라미터와 절리성 암반의 수리전도 특성 간의 상관성을 분석하였으며 절리성 암반의 수리적 특성 평가에 절리텐서 파라미터의 적용성을 논의한 바 있다(Um and Han, 2017).
본 연구는 절리텐서의 방향성분 및 일차불변량 등의 파라미터와 DFN 블록의 지향적 변형계수(directional deformation moduli) 및 전단탄성계수(shear moduli) 등의 변형특성 간의 상관성 분석을 수행하여 삼차원 절리텐서 파라미터가 삼차원 DFN의 변형특성에 미치는 효과를 평가하였다.
2. 삼차원 절리텐서
절리텐서는 절리의 방향성, 빈도, 길이 등의 주요 기하학적 속성을 종합하여 고려할 수 있으며, 삼차원 DFN 시스템에서 절리를 얇은 원판형으로 가정할 때 절리의 길이분포 및 방향분포가 서로 종속되지 않는 임의의 k번째 절리군에 대한 절리텐서(Fij(k))의 기본형은 다음과 같이 정의된다(Oda, 1982).
여기서, ρv는 단위체적당 평균 절리개수(절리빈도), r은 원판형 절리의 반경(절리길이), n은 절리면의 단위 법선벡터, ni 및 nj(i, j = x, y, z)는 삼차원 x-y-z 직교좌표계에서 i 및 j 방향에 대한 벡터 n의 성분, f(n)과 f(r)은 각각 n과 r의 확률밀도함수, Ω/2는 단위 반구의 표면에 대응하는 입체각이다(Um and Han, 2017). Fig. 1은 본 연구의 삼차원 x-y-z 직교좌표계 및 dΩ의 개념을 보여준다.
DFN 시스템이 N개의 절리군으로 이루어진 경우 절리텐서는 다음과 같이 표현할 수 있다.
삼차원 x-y-z 직교좌표계에서 식(2)의 Fij는 다음과 같은 행렬 형태로 나타낼 수 있다(Um and Han, 2017).
이와 같은 절리텐서의 대각선 성분 Fxx, Fyy, Fzz는 각각 x, y, z 방향으로 절리의 빈도 및 길이가 결합된 효과를 나타낸다. 식(3)의 절리텐서 F는 Fij=Fji의 대칭행렬이며 절리텐서의 최대, 중간, 최소 주성분(principal components) F1, F2, F3은 다음 식(4)를 통하여 산정할 수 있다.
여기서, δij는 크로네커 델타이며 i와 j가 서로 다르면 0(i≠j), 같으면 1(i=j) 이다. F1, F2, F3의 방향은 삼차원 공간에서 서로 직교한다.
절리텐서의 일차불변량(first invariant; I1(F))은 다음과 같이 정의된다.
절리텐서의 방향성분 및 일차불변량 등의 절리텐서 파라미터는 절리군의 방향, 빈도 및 길이 등의 기하학적 속성에 따라 산정할 수 있는 정량적 값이며, 식 (1)에서 유추할 수 있듯이 절리의 빈도 또는 길이분포가 증가하면 절리텐서의 성분 및 일차불변량도 증가한다. 본 연구는 절리성 암반의 절리텐서 파라미터와 지향적 변형특성 간의 상관관계를 평가하였다.
3. 절리성 암반의 지향적 변형특성
본 연구는 개별요소 해석을 위해 제공된 3DEC 상용코드(Itasca, 2016)를 활용하여 절리성 암반을 모사한 삼차원 DFN 블록의 지향적 변형계수(Em) 및 전단탄성계수(Gm)를 추정하였다. DFN 시스템은 10 m×10 m×10 m의 정육면체 블록에서 절리의 방향성, 빈도 및 길이분포를 다양하게 설정하여 추계론적으로 생성하였다. DFN 블록의 크기는 기존의 3DEC를 활용한 절리성 암반의 변형계수 추정과 관련된 연구사례(Laghaei et al., 2018)를 참고하여 REV 이상으로 설정하였다. DFN 블록에서 절리군은 1~2개로 지정하였으며 절리군의 방향성 및 절리 빈도는 확정적으로 부여하였다. 또한, 절리의 길이는 평균과 표준편차에 의한 감마분포를 채택하였다(Ryu and Um, 2020). 실제 현장은 보편적으로 3개 이상의 절리군이 분포하지만 본 연구의 절리군 개수는 인장에 의한 단일 전리군 및 전단에 의한 공액(conjugate) 관계의 두 절리군으로 제한하고 단순화하여 절리의 빈도 및 길이 효과에 대한 분석에 집중하였다.
본 연구의 총 224개 DFN 블록에 대한 절리의 기하학적 속성이 Table 1에 수록되어 있다. 단일 절리군으로 이루어진 DFN 블록은 절리의 경사를 30° 또는 60°로 고정하고 각각에 대하여 경사방향이 000°, 030° 및 060°를 이루도록 하여 총 여섯 가지의 절리 방향을 고려하였다. DFN 블록에서 총 절리 개수는 각각의 방향성에 대하여 15개에서 30개까지 네 단계로 증가시켰으며 절리의 평균 길이는 1.5 m에서 5 m 까지 네 단계로 정하고 각각의 평균 길이에 대한 표준편차를 두 단계로 설정하였다. 따라서 고려한 각각의 방향성에 대하여 절리 빈도와 길이를 달리하는 32개의 DFN 블록이 생성되었으며 총 여섯 가지의 방향성에 대하여 총 192개의 DFN 블록이 구현되었다.
두 개의 절리군으로 이루어진 DFN 블록은 두 절리군의 경사방향을 180° 차이의 공액절리(conjugate joints)로 설정하고 경사를 30° 또는 60°를 이루도록 하여 총 두 가지의 방향성을 고려하였다. DFN 블록에서 총 절리 개수는 두 절리군의 각 방향성에 대하여 10개씩 총 20개 또는 15개씩 총 30개를 할당하고 절리의 길이는 앞에서와 같은 방식을 적용하여 총 32개의 DFN 블록을 구성하였다. 본 연구는 이와 같이 한 절리군 또는 두 절리군을 사용한 총 224개의 정육면체 DFN 블록에 대하여 세 면의 수선 방향으로 변형계수를 산정하였으며, 또한, 세 면의 전단방향으로 전단탄성계수를 산정하였다.
개별요소법을 통하여 삼차원 DFN 블록의 변형특성을 추정함에 있어서 절리의 길이를 무한으로 가정하면 해석영역은 절리를 경계로 다면체 요소로 구분될 수 있지만, DFN 블록은 유한 길이의 절리(non-persistence joints)로 이루어진 경우가 대부분이므로 해석영역을 절리만으로 다면체 요소로 이산화할 수 없다(Ryu et al., 2020). 저자들은 선행연구를 통하여 삼차원 DFN 블록에 가상절리를 추가하고 유한 길이의 절리와 가상절리에 의해 해석영역을 다면체로 이산화하는 기법을 보고한 바 있다(Ryu et al., 2020). 3DEC을 이용한 삼차원 DFN 블록의 응력-변형 해석을 위하여 가상절리는 무결암과 유사한 거동을 하도록 적절한 절리수직강성(joint normal stiffness; JKN)과 절리전단강성(joint shear stiffness; JKS) 값이 설정되어야하는데, 가상절리의 JKS 값은 G/JKS 비가 0.008~0.012m 범위에서 채택하는 것을 추천하며 JKN 값은 JKS의 2~3배 범위가 적합하다(Kulatilake et al., 1992). Fig. 2(a)는 Table 1의 총 224개 DFN 블록 중에 경사방향/경사가 000°/60°인 단일 절리군을 포함하는 DFN 블록의 예를 보여주는데, 여기서 포함된 30개 절리의 평균길이 및 표준편차는 각각 3 m 및 2 m이다. Fig. 2(b)는 3DEC 응력-변형 해석을 위하여 가상절리를 추가하고 해석영역을 다면체 요소로 이산화한 사례를 보여준다.
Table 1.
Summary of joint geometry parameters in the DFN blocks
본 연구의 응력-변형 해석은 무결암과 가상절리에 대하여 tension cutoff가 설정된 Mohr-Coulomb 파괴기준의 선형탄성-완전소성 구성모델을 채택하였으며 절리의 전단거동 모델은 JKN, JKS, 절리마찰각, 절리점착력 등에 의한 Coulomb 슬립 모델을 적용하였다(Ryu et al., 2020). Table 2는 화강편마암을 대상으로 기존에 보고된 연구(Hardin, 1982)를 참고하여 본 연구의 DFN 블록에 대한 응력-변형 해석에 사용한 무결암, 절리, 가상절리의 역학적 물성을 요약하였다.
Table 2.
Input parameters used to perform 3DEC stress-strain analysis (after Ryu et al., 2020)
정육면체 DFN 블록에서 축 방향으로의 지향적 변형계수(Ex, Ey, Ez)를 추정하기 위한 응력경로는 무결암, 절리, 가상절리의 조합으로 구성된 총 224개의 DFN 블록에 대하여 Fig. 3과 같이 x, y, z 축 방향으로 1MPa의 동일한 구속압을 일정하게 유지한 후 각각의 축 방향에서 0.05 m/s의 일정속도경계조건(constant velocity boundary condition) 으로 완전소성 변형이 충분히 확인될 때까지 재하하는 방식이다(Ryu et al., 2020). 또한, DFN 블록의 직교하는 3개의 수직면에서 전단탄성계수(Gxy, Gyz, Gxz)를 추정하기 위한 응력경로는 앞에서와 같은 방식으로 x, y, z 방향으로 1MPa의 구속압을 유지한 후 Fig. 4와 같이 직교하는 두 면에 0.005 m/s의 일정속도로 전단력을 재하하는 방식이다. 이와 같이 DFN 블록에 대한 두 가지 응력경로 따라 발생하는 블록의 변위는 정육면체의 해석영역에서 각각의 경계면에 설정한 9개의 모니터링 포인트를 통하여 기록되었으며 이들의 평균값을 사용하여 DFN 블록의 지향적 변형계수 및 전단탄성계수 등의 변형특성이 추정되었다(Fig. 5).
Fig. 6은 Fig. 2의 DFN 블록에 대한 x, y, z 축 방향으로 산정된 응력-변형률 관계인데, 선형탄성 구간의 기울기는 절리의 경사방향과 일치하는 x 방향에서 가장 낮게, 그리고 절리의 주향방향과 일치하는 z 방향에서 가장 높게 나타났다. 이는 절리의 방향이 절리성 암반의 지향적 변형계수에 유의미한 영향을 미칠 수 있음을 지시한다. Fig. 7은 000°/60°의 단일 절리군을 포함하는 DFN 시스템에 대하여 30° 간격의 수평방향으로 절리의 빈도 및 길이의 변화에 따라 추정한 변형계수를 도시한 그림이다. 절리의 빈도가 낮고 길이분포도 짧은 Fig. 7(a)의 경우, 방향에 따라 산정된 변형계수는 모두 무결암의 영률(Ei=60 GPa)과 유사한 등방적 특성을 나타냈다. 이와 동일한 절리 조건에서 절리의 빈도만 높아진 경우(Fig. 7(b)) 또는 길이분포만 길어진 경우(Fig. 7(c)), 남북 방향의 변형계수는 무결암의 영률에 비해 저감되었음을 확인할 수 있다. 절리의 빈도가 증가하고 또한 길이분포도 동시에 길어진 조건의 결과(Fig. 7(d))는 변형계수의 저감효과가 거의 나타나지 않은 동서 방향과 저감효과가 가장 큰 남북 방향 간에 뚜렷한 차이를 나타냈으며, 이는 DFN 블록에 대한 지향적 변형계수의 이방적 성향을 명확하게 설명한다.

Fig. 7
Variation of horizontal deformation modulus (GPa) of the DFN blocks having 000°/60° joint orientation with different joint density and size distribution; (a) total number of joint = 15, mean joint size = 1.5 m, and standard deviation of joint size = 1.0 m, (b) total number of joint = 30, mean joint size = 1.5 m, and standard deviation of joint size = 1.0 m, (c) total number of joint = 15, mean joint size = 3.0 m, and standard deviation of joint size = 2.0 m and (d) total number of joint = 30, mean joint size = 3.0 m, and standard deviation of joint size = 2.0 m
Table 3은 본 연구의 총 224개 DFN 블록 중 030°/60°의 절리 방향성을 갖는 32개 DFN 블록에서 절리빈도와 길이분포의 변화에 따라 추정한 지향적 변형계수 및 전단탄성계수를 수록하였다. 여기서, 절리빈도(ρv)는 DFN 블록의 단위체적당 절리개수이며 동일한 절리 길이분포에서 ρv가 증가할수록 변형계수와 전단탄성계수가 감소함을 알 수 있다. 또한, 동일한 ρv 조건에서 절리길이의 평균 및 표준편차가 증가할수록 변형계수와 전단탄성계수의 저감특성을 확인할 수 있다. 이와 같이 절리성 암반의 지향적 변형특성은 절리의 빈도 및 길이 등과 함수관계를 도출할 가능성이 있으므로 절리의 기하학적 속성을 결합한 절리텐서 파라미터와 변형특성 간의 상관성 평가는 실무적으로 매우 유용할 수 있다.
Table 3.
Estimated deformability and fracture tensor parameters of the DFN blocks having 030°/60° joint orientation
4. 절리텐서와 변형특성의 상관성
본 연구에서 고려한 총 224개의 DFN 블록은 각각 서로 다른 절리의 방향성(경사방향/경사), 절리빈도 및 길이분포 조건으로 구현하였다. 이러한 다양한 절리 시스템으로 이루어진 DFN 블록에 대하여 절리텐서의 성분(Fxx, Fyy, Fzz) 및 일차불변량(I1(F))이 식 (1)~식 (5)를 통하여 산정되었다. 030°/60°의 절리 방향성을 갖는 32개의 DFN 블록에서 절리빈도와 길이분포의 변화에 따라 산정된 절리텐서 파라미터가 Table 3에 요약되어있다. 산정된 절리텐서의 방향성분 및 일차불변량은 절리의 ρv 또는 길이분포가 증가할수록 증가하는 경향임을 인지할 수 있다.
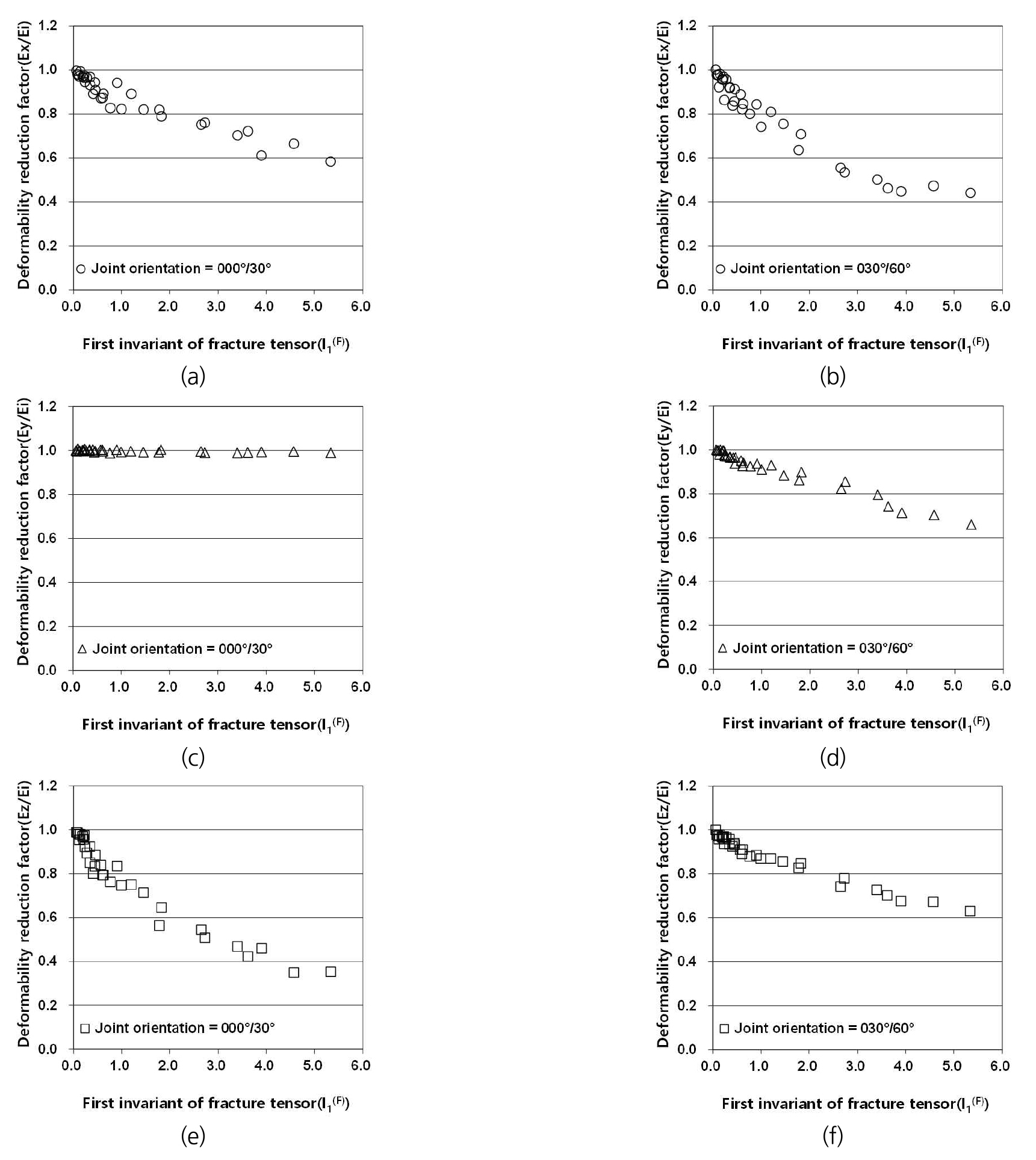
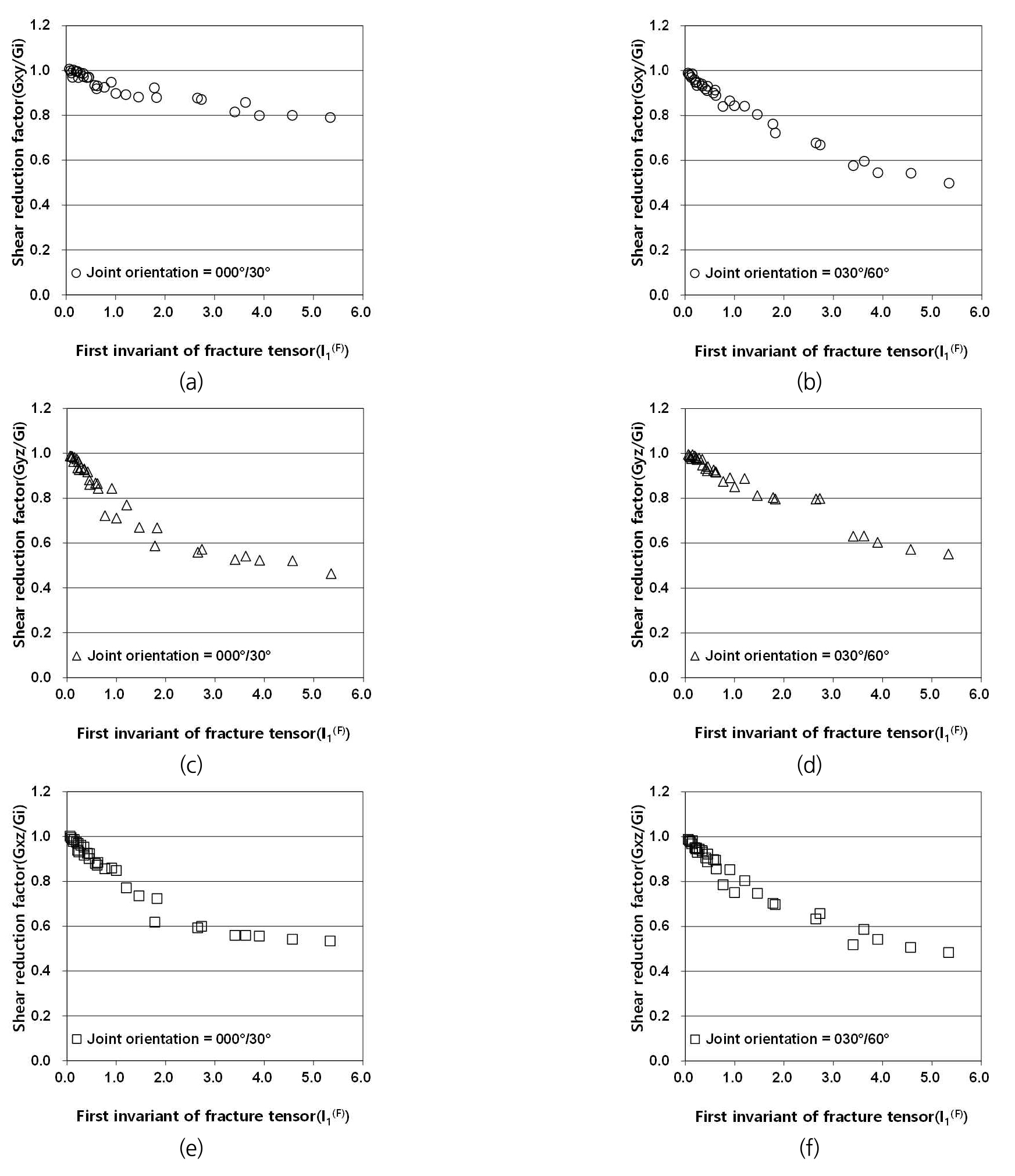
Fig. 8은 000°/30° 방향의 단일 절리군으로 이루어진 DFN 블록과 030°/60° 방향의 단일 절리군으로 이루어진 DFN 블록에 대하여 Ex, Ey, Ez와 I1(F)의 관계를 보여주는데, 그림의 세로축은 수치해석을 통하여 산정된 지향적 변형계수를 Ei로 나누어 정규화한 무차원 변수이다. 또한, DFN 블록의 Gxy, Gyz, Gxz와 I1(F)의 관계가 Fig. 9에 나타나 있다. Fig. 8과 Fig. 9의 결과는 I1(F)가 증가할수록 DFN 블록의 변형계수 및 전단탄성계수의 전반적인 감소를 지시하는데, 이는 절리텐서의 일차불변량이 DFN 블록의 변형특성에 지대한 영향을 미칠 수 있음을 의미한다. 변형계수 및 전단탄성계수는 I1(F)의 증가에 따라 감소폭이 줄어들어 일정한 값에 수렴하는 양상을 보인다. 이는 DFN 시스템에서 변형특성의 변화가 거의 없는 I1(F)의 임계값을 설정할 수 있음을 의미하며 임계 I1(F) 이상에서 DFN 블록은 변형계수 또는 전단탄성계수의 변화가 거의 없는 등가의 연속체 특성을 나타낼 수 있다. 또한, 이와 같은 결과는 절리성 암반의 응력-변형 해석에 있어서 절리의 기하학적 조건에 따른 DFN 시스템의 REV 특성을 이해하는 데 I1(F)가 유용하게 활용될 수 있음을 시사한다. Fig. 8(c)는 직관적 예측이 가능한 극단적인 사례로 절리 경사방향에 직교하는 방향(절리의 주향방향)으로 추정한 Ey를 도시하였는데, Ey는 I1(F)의 증가에 따른 변화 없이 전 I1(F)구간에서 무결암의 영률 수준으로 일정한 값이 추정되었다. 따라서 임계 I1(F)는 절리시스템의 방향성과 더불어 변형특성을 추정하는 방향에 따라 다르게 평가되어야 한다.

Fig. 8
Relations between directional deformation moduli and first invariant of fracture tensor with respect to joint orientation; (a) Ex/Ei vs. I1(F) for 000°/30° joint orientation, (b) Ex/Ei vs. I1(F) for 030°/60° joint orientation, (c) Ey/Ei vs. I1(F) for 000°/30° joint orientation, (d) Ey/Ei vs. I1(F) for 030°/60° joint orientation, (e) Ez/Ei vs. I1(F) for 000°/30° joint orientation and (f) Ez/Ei vs. I1(F) for 030°/60° joint orientation

Fig. 9
Relations between shear moduli and first invariant of fracture tensor with respect to joint orientation; (a) Gxy/Gi vs. I1(F) for 000°/30° joint orientation, (b) Gxy/Gi vs. I1(F) for 030°/60° joint orientation, (c) Gyz/Gi vs. I1(F) for 000°/30° joint orientation, (d) Gyz/Gi vs. I1(F) for 030°/60° joint orientation, (e) Gxz/Gi vs. I1(F) for 000°/30° joint orientation and (f) Gxz/Gi vs. I1(F) for 030°/60° joint orientation
Fig. 10(a), (b), (c)는 각각 본 연구의 DFN 블록에 대한 Ex/Ei vs. Fxx, Ey/Ei vs. Fyy, Ez/Ei vs. Fzz의 관계를 보여준다. 각각의 그림은 지향적 변형계수의 저감률과 절리텐서의 방향성분 간의 상관성 검토결과를 포함한다. 두 무차원 변수의 추세식에 대한 결정계수(r2)는 0.91~0.96으로 산정되었으며, 두 변수 간에 강한 상관관계가 도출되었다. 이는 지향적 변형계수가 동일 방향의 절리텐서성분과 매우 밀접한 관계임을 의미한다. 또한, Fig. 10의 세 추세식이 서로 거의 유사함을 확인할 수 있으며, 이는 개념적으로 Fxx가 Ex에 미치는 영향, Fyy가 Ey에 미치는 영향 그리고 Fzz가 Ez에 미치는 영향이 서로 간에 모두 유사한 것으로 판단할 수 있다.
Fig. 11(a)는 본 연구의 DFN 블록 경계면에서 추정한 전단탄성계수 Gxy를 무결암의 전단탄성계수(Gi)로 나누어 정규화한 무차원의 종속변수 Gxy/Gi와 대응하는 절리텐서의 성분 Fxx와 Fyy의 합 사이의 상관관계를 평가한 결과이다. 그림의 모든 데이터는 DFN의 절리 방향성 조건에 관계없이 멱함수(power function) 곡선에 잘 일치하며, 두 변수는 매우 강한 상관성을 도출하였다. 이와 같은 결과는 Gyz/Gi vs. Fyy+Fzz(Fig. 11(b)) 그리고 Gxz/Gi vs. Fxx+Fzz(Fig. 11(c)) 관계로부터 도출한 상관성 분석 결과와도 거의 유사하며, 세 추세식의 회귀상수가 서로 간에 잘 일치하는 것을 알 수 있다.
Fig. 12(a)는 Fig. 10(a), (b), (c)의 모든 변형계수 자료를 통합하여 임의 방향의 변형계수(Em)와 이에 대응하는 절리텐서성분(Fp) 간의 관계를 설명하는 단일 추세식의 도출 가능성을 분석한 결과이다. 모든 자료로부터 얻은 최적의 추세식 및 r2(=0.91) 값이 그림에 나타나 있다. 단일 추세식으로 표현된 Em과 Fp는 비교적 강한 상관성을 갖는 것으로 판단된다. Fig. 12(b)는 Fig. 11(a), (b), (c)의 모든 전단탄성계수 자료를 통합하여 상관성 분석을 수행한 결과인데, 추세식은 매우 높은 r2(=0.95)를 도출하였다. 이는 삼차원 DFN 블록의 절리구조에 무관하게 전단탄성계수와 이에 대응하는 절리텐서성분 간의 관계를 단일 추세식으로 충분이 설명할 수 있음을 지시한다. Fig. 12의 결과는 변형특성이 대략 무결암의 40~50% 비율 값에 수렴하는 경향을 보여주는데, 이는 본 연구에서 개별절리의 역학적 특성을 동일하게 설정한 조건에서 얻은 결과이며 현장암반의 변형특성과 절리텐서성분 사이의 관계는 개별절리의 역학적 특성에 따라 사례별로 평가되어야 한다.
DFN 블록의 지향적 변형특성과 대응하는 절리텐서의 성분 간에 강한 상관성은 DFN 블록의 파괴전 거동을 설명하는 구성모델(constitutive model)을 수립하는 데 활용될 수 있다. 다만 본 연구 결과는 절리를 거칠기가 없는 평탄한 면으로 가정하고 개별절리의 역학적 물성도 모두 동일하게 취급한 해석에 근거한 것이다. 또한, 본 연구는 최대 두 개의 절리군을 포함한 단순화한 DFN 모델을 사용하였다. 따라서 DFN 구조의 다변화 및 개별절리에 대한 역학적 특성의 변화를 추가한 후속연구와 현장적용 관련 사례연구가 필요하다.
5. 결 론
유한 길이의 절리 연결구조는 절리성 암반의 변형특성에 지대한 영향을 미칠 수 있다. 본 연구는 절리의 기하학적 속성 변화가 삼차원 DFN의 변형특성에 미치는 영향을 평가하기 위하여 절리텐서의 성분 및 일차불변량과 변형계수 및 전단탄성계수 등의 변형특성 간의 상관성 분석을 수행하였다.
삼차원 절리텐서는 절리의 빈도와 길이를 결합하여 단일 파라미터로 고려할 수 있으며 암반의 변형특성 연구에 활용될 수 있다. 절리텐서의 일차불변량과 변형특성 사이의 관계는 DFN 블록을 구성하는 절리의 방향성에 따라 다르게 평가되어야 한다. 본 연구의 수치실험에서 절리텐서의 일차불변량이 증가할수록 변형계수 및 전단탄성계수는 대체로 감소하는 추세이며 감소폭은 줄어들어 일차불변량이 특정 기준값을 상회하면 변형계수 및 전단탄성계수는 거의 일정한 값에 수렴하는 양상을 나타냈다. 이는 DFN 시스템에서 변형특성의 변화가 거의 없는 일차불변량의 임계값을 설정할 수 있음을 의미하며 임계값 이상에서 DFN 블록은 변형계수 또는 전단탄성계수의 변화가 거의 없는 등가의 연속체 특성을 나타낼 수 있다. 여기서, 임계값은 DFN을 구성하는 절리의 방향 조건 및 개별절리의 역학적 특성에 따라 다르게 평가해야 한다.
삼차원 DFN 블록에 대한 지향적 변형계수 및 전단탄성계수는 절리텐서의 방향성분과 멱함수의 강한 상관관계를 도출하였다. DFN 블록에 대한 변형계수 및 전단탄성계수와 이에 대응하는 방향의 절리텐서의 성분 간의 상관성은 단일 추세식으로 설명할 수 있다. 변형특성과 절리텐서 파라미터 사이의 상관성은 공학적 관점에서 활용성이 기대되는데, 이는 절리성 암반에 대한 무결암 및 절리의 역학적 특성과 더불어 절리의 구조적 특성이 파악되면 절리텐서 파라미터를 통하여 암반의 지향적 변형특성에 대한 이해를 제고할 수 있기 때문이다. 또한, DFN 블록의 지향적 변형특성과 이에 대응하는 절리텐서성분 간에 강한 상관성은 DFN 블록의 파괴전 거동을 설명하는 구성모델을 수립하는 데 활용할 수 있다. 본 연구의 결과는 절리를 평탄한 면으로 가정하고 개별절리의 역학적 특성도 모두 동일하게 취급한 DFN 모델에 대한 해석에 근거한 것이다. 따라서 연구 결과의 개선 및 현장 적용을 위한 후속 연구가 기대된다.












