1. 서 론
2. KURT 화강암 시험편
2.1 암석 시험편 제작
2.2 동결-융해 시험
3. 투수시험
3.1 투수계수 측정법
3.2 다양한 구속압 조건에서의 투수계수
3.3 다양한 온도 조건에서의 투수계수
3.4 공극률과 투수계수 간 상관관계
4. 결 론
1. 서 론
사용후핵연료는 원자력발전에 사용된 후 원자로에서 인출된 핵연료로, 방사성 붕괴로 인한 높은 열과 방사선을 방출하는 등의 위험 요소를 포함하고 있다. 따라서 이러한 고준위방사성폐기물(High-Level radioactive Waste, HLW)을 체계적이고 안전하게 관리하기 위한 방안이 필요하며, 국제원자력기구(International Atomic Energy Agency, IAEA)에서는 심층처분(deep geological disposal)의 개념을 권고하고 있다(IAEA, 1981). 심층처분은 300 ~ 1,000 m의 심부 암반에 방사성 오염원을 인간의 생활권으로부터 격리함으로써, 방사능독성(radiotoxicity)이 천연우라늄 광석 이하 수준으로 감소하도록 10만 년 이상의 장기간 안전성을 유지하면서 처분하는 방법이다. 고준위방사성폐기물 처분장 설계를 위해 스웨덴, 핀란드, 프랑스, 스위스, 미국, 일본 등에서는 암반 내에 지하연구시설을 건설하여 장기적인 안정성 확보를 위한 연구를 수행하고 있다(Lee et al., 2012). 우리나라 역시 고준위방사성폐기물 직접 처분을 위해 개발된 한국형표준시스템(Korean Reference HLW disposal System, KRS)을 현장에서 검토하고자 한국원자력연구원 부지 내 화강암층 지하처분연구시설(KAERI Underground Research Tunnel, KURT)을 건설하여, 대상 화강암의 물성 및 거동과 관련한 다양한 현장시험 및 실내시험을 수행 중이다(Lee et al., 2019).
방사성폐기물을 심층처분함으로써 얻을 수 있는 안전성은 심부 암반의 특성, 지체 구조의 특성, 장기간 지질학적 수리학적 유변 가능성 등 복합적인 요인에 기인한다. 심부 암반은 지표에 비해 지진과 화산활동에 대한 강한 내성을 지니고 있으며, 장기적인 기후변화로부터 영향을 적게 받기 때문에 상대적으로 안정한 환경을 제공한다. 또한 상대적으로 낮은 투수성을 지니기 때문에 방사성핵종의 유력한 유출 경로인 지하수를 통한 이동을 효과적으로 지연시킬 수 있다(Kim et al., 2001). 암반의 투수계수(permeability)는 암반사면이나 댐 주변의 암반과 지하공동에서의 공극수압, 지하수위, 유량과 유속 등에 영향을 미치는 중요한 특성이다. 특히, 유량은 지하공동에서의 지하수 유입을 평가하는 주요 인자이므로, 지하수 유동에 의한 핵종 이동을 예측하기 위해서는 암반의 투수계수를 파악하는 것이 필수적이다. Fig. 1과 같이, 실제 심층처분 환경의 근계암반에는 심부에서의 높은 지중응력과 암반을 통해 유입된 지하수가 벤토나이트 완충재를 재포화시키며 발생한 팽윤압이 동시에 작용한다(Park et al., 2019). 또한 방사성 원소의 붕괴열로 인한 고열의 영향을 받기 때문에, 암반의 열-수리-역학적 복합거동을 파악하는 것이 중요하다. 특히 열과 응력에 의한 암석의 투수계수 변화는 핵종 이동 특성 변화를 야기하므로, 처분장의 건전성 및 안정성 확보를 위한 설계에 지대한 영향을 줄 수 있다. 따라서 처분 대상 화강암의 열적, 역학적 영향을 고려한 수리 물성 변화 자료를 실험적으로 확보하고, 이를 바탕으로 근계암반 복합거동의 신뢰성 있는 해석을 통해 처분장을 설계하고 평가할 필요가 있다.
본 연구의 목적은 실험을 통해 실제 처분장 환경을 고려한 예상 온도 및 구속압 조건을 모사하여 각 인자가 KURT 화강암의 투수계수에 미치는 영향을 파악하는 것이다. 여기서 구속압(confining pressure)이란 정수압(hydrostatic pressure)과 같은 의미로, 실제 실험에서는 측압(lateral pressure)과 동일한 축압(axial pressure)을 유지하며 투수시험을 수행하였다. 또 다른 목적은 공극률과 투수계수 간의 상관관계를 도출하는 것으로, 두 값이 엄밀히 독립적이기는 하나 투수계수와 밀접한 관계를 가지며 측정이 보다 용이한 물성인 공극률만을 이용하여 투수계수 값을 유추할 수 있는 식을 제안하고자 하였다.
David et al.(1994)는 사암을 대상으로 유효응력에 따른 투수계수를 측정하였고, Evans et al.(1997)은 단층대 주변의 화강암을 이용하여 구속압에 따른 투수시험을 수행하였으며, 무결한 화강암 시료를 대상으로도 유사한 연구가 수행되었다(Brace and Martin, 1968, Kranz et al., 1979, Bernabe, 1986). 또한, 암석이 고온에 노출되면 여러 가지 열, 수리, 역학, 화학적 물성이 영향을 받는다는 다양한 연구가 수행된 바 있다(Chaki et al., 2008, Yu et al., 2014, Chen et al., 2017, He et al., 2018, Jiang et al., 2018, Sun et al., 2019, Li et al., 2020, Tian et al., 2020, Yang et al., 2020, Deng et al., 2021, Gao et al., 2021, Kang et al., 2021). 이들은 방사성폐기물 처분뿐만 아니라 지하 석탄 가스화, 지열에너지 발전 등의 심부 암반을 활용하는 다양한 분야에서, 각각의 온도 범위에 맞게 물성 변화에 대한 연구를 진행하였다. 또한, 암석의 공극률과 투수계수 간의 상관관계에 관한 연구 역시 다양한 연구가 수행된 바 있다(Adler et al., 1990, Saar and Manga, 1999, Bernabé et al., 2003, Nelson, 2005, Schön, 2015, Ghanbarian and Male, 2021).
2. KURT 화강암 시험편
2.1 암석 시험편 제작
본 연구에서는 한국원자력연구원 내에 위치한 지하처분연구시설(KURT)의 DB1, DH1 시추공에서 회수한 화강암 코어(Fig. 2(a))로부터 시험편을 제작하여 투수시험을 수행하였다. KURT 부지 내에는 전 범위에 걸쳐 복운모 화강암이 가장 광범위하게 분포하고 있으며, 편상 화강암을 관입하고 있다(Kim et al., 2004). 복운모 화강암은 중립 내지 세립질이며, 주 구성 광물은 석영(66.4 ~ 75.0%의 산성암), 사장석, 미사장석, 흑운모, 백운모 등이고 소량의 저어콘, 금홍석, 인회석 등이 관찰된다. 암석 시험편은 절리가 없는 무결한 부분만을 선택하였는데 일반적인 무결 화성암의 투수계수는 최대 10-16 m2 정도로, 타 암종에 비해 상대적으로 아주 낮은 투수계수를 가진다. 그러므로 무결 화강암의 투수시험은 오랜 시간이 소요되며 이는 시험편 크기에 비례하여 늘어난다. 따라서 시험편을 Fig. 2(b)와 같이 직경 약 50 mm, 두께 약 20 mm의 얇은 디스크 형태로 제작하였다. Table 1은 KURT 부지 내 히터공 주변의 다른 시추공인 OB1, OB2에서 획득한 화강암 시추코어로부터 실내 시험을 통해 측정한 물성값이다.
고준위방사성폐기물 심층처분장과 같은 지하공간 개발에는 발파 혹은 기계굴착을 이용한 암반 굴착 과정이 필연적이다. 이 경우, 발파압력에 의해 암반은 손상을 입을 뿐만 아니라 굴착으로 인해 응력 재분배가 일어나기 때문에 기존의 물성과는 다른 특성을 나타내는 굴착손상영역(Excavation Damaged Zone, EDZ)이 형성되게 된다(Lee et al., 2019). KURT 현장시험을 통해 처분터널 벽면으로부터의 거리에 따라 발파 전후의 암반 공극률을 측정한 결과, 굴착손상영역의 크기는 약 2.4 m로 조사되었으며, 공극률의 범위는 발파 전 평균 1.0%, 최대 1.5%에서 발파 후 평균 2.4%, 최대 6%까지 증가하였다.
Table 1.
Properties of KURT granite from OB1, OB2 cores (Lee et al., 2019)
| Property | Mean | Minimum | Maximum |
| Density (kg/m3) | 2,650 | 2,500 | 2,720 |
| Young’s modulus (GPa) | 54.3 | 44.4 | 62.8 |
| Poisson’s ratio | 0.25 | 0.20 | 0.28 |
| UCS (MPa) | 164 | 124 | 204 |
| BTS (MPa) | 11.4 | 9.2 | 13.3 |
본 연구에 사용한 암석 시험편의 공극률은 한국암반공학회 표준암석시험법(KSRM, 2006)에 따라 캘리퍼 방법을 사용하여 측정하였다. 시험편 이름은 3가지 특징적인 정보를 종합하여 부여하였다. 첫 부분은 시추공(DH1 혹은 DB1) 정보, 중간 부분은 해당 코어가 회수된 심도(m), 마지막 부분은 동일 코어로부터 제작된 시험편들을 구분하기 위한 일련번호이다. Table 2로부터, 암석 시험편의 공극률은 0.58 ~ 1.07% 로 그 값의 크기와 범위가 매우 작음을 알 수 있다. 따라서 이러한 작은 공극률의 범위에서는 공극률 크기에 따른 투수계수의 변화를 관찰하는데 어려움이 있다. 이와 같은 한계를 극복하고자, 본 연구에서는 공극률을 인위적으로 증가시키기 위해 시험편을 물로 포화시킨 후 냉각하여 공극수의 부피팽창을 이용하는 동결-융해 시험을 시도해 보았다.
Table 2.
Porosity of the specimens
2.2 동결-융해 시험
결빙한 물은 부피가 약 9% 팽창하므로 내부에 수분을 포함한 암석이 동결되면 물의 팽창으로 인해 응력이 발생하고, 그 크기가 임계값에 도달할 시 새로운 미세균열의 발달과 기존 균열의 확장이 일어난다. 동결된 암석이 융해되면 새롭게 발달한 미세균열을 통해 추가적인 물의 유동이 발생할 수 있으므로, 반복적인 동결-융해 과정은 암석을 물리적으로 풍화시킨다(Um et al., 2009).
콘크리트에 대한 동결-융해 시험법은 ASTM (American Society for Testing and Materials) 규정을 적용하고 있지만 암석에 대해서는 규격화된 시험법이 없으며, 연구 조건에 따라 온도 범위와 반복 주기를 설정하는 것이 일반적이다. 본 연구에서는 -50°C의 냉동고와 60°C의 건조기에서 각각 2시간씩 동결과 융해 과정을 거쳤으며, 시험편이 충분히 포화 상태를 유지할 수 있도록 동결-융해 사이클 2회마다 진공상태에서 수침하여 포화시켰다. 또한 시험편을 플라스틱 랩으로 밀봉하여 동결-융해 사이클을 수행하였고, 최대 30회까지 사이클을 반복하며 10회마다 공극률과 탄성파(P파) 속도를 측정하여 비교 분석하였다. 탄성파 속도의 측정은 일본 Oyo사의 Sonic Viewer Model-5228을 이용하여 건조 상태의 시험편을 대상으로 수행하였다.
Fig. 3(a)는 동결-융해 시험 전후의 공극률 변화 결과를 나타낸 것으로, 가로축은 Table 2의 시험편 번호(Sample No.)에 해당한다. 공극률이 감소한 경우는 없었으며 사이클 10회 기준 최대 0.20%까지 증가하였고, 최종 사이클 30회를 거친 경우 동결-융해가 진행되기 전 기존 공극률 대비 최대 0.36%까지 안정적으로 증가하였다. Fig. 3(b)와 같이 P파 속도는 동결-융해 사이클 반복 횟수가 증가할수록 대체로 감소하는 경향을 보였으며, 이는 내부 균열의 성장에 의한 것으로 판단된다. Table 3은 해당 결과를 표로 정리한 것이다.
Table 3.
Changes of the porosity and P-wave velocity according to the F-T cycles
3. 투수시험
3.1 투수계수 측정법
본 연구에서는 Brace and Martin(1968)에 의해 제안된 순간증압법을 사용하여 유량이 아닌 시간에 따른 압력변화를 측정함으로써 투수계수를 구하였다. 순간증압법은 완전히 포화된 시험편의 상부와 하부 면에 각각 Fig. 4(a)와 같이 압력용기(reference volume)가 연결된 상태에서 용기 중 하나에 순간적으로 추가 수압을 가한다. 시간이 지나며 시험편을 통한 유동으로 인해 두 용기의 압력 차이는 Fig. 4(b)와 같이 줄어들게 되고, 이때 시간에 따른 압력차(△P)의 변화에 기초하여 투수계수가 결정된다. 이를 Brace 원리에 따라 식으로 표현하면 식 (1)과 같다. 여기서, μ는 공극유체의 점성도(Pa·s), β는 공극유체의 압축률(Pa-1), V는 압력용기의 부피(m3), △Pi는 초기 차압(Pa), △Pf는 말기 차압(Pa), △t는 초기와 말기의 시간차(s), As는 시험편의 단면적(m2), Ls는 시험편의 길이(m)이다. Table 4는 사용한 장비의 제원을 반영하여 투수계수 계산에 사용한 실제 상수값들이다.

Fig. 4
Concept of transient permeability test, (a) Diagram of transient permeability test, (b) Pressure curve of transient permeability test (MTS Systems Corporation, 2004)
Table 4.
Constant values (MTS Systems Corporation, 2007)
| Reference volume (V, cm3) | Viscosity of pore fluid (μ, Pa·s) | Compressibility of pore fluid (β, Pa-1) |
| 238 | 0.001 | 4.59×10-10 |
본 연구에서는 투수시험 시, Fig. 5의 MTS Model 286.31 Pore Pressure Intensifier를 이용하여 시험편에 공극수압을 가하였고, 시험편 측면으로의 유동을 차단하기 위해 MTS Model 286.20 Confining Pressure Intensifier와 삼축압축셀을 사용하여 공극수압 이상의 구속압을 유압으로 적용하였다.
3.2 다양한 구속압 조건에서의 투수계수
동결-융해 시험을 통해 시험편의 공극률을 증가시키며 동결-융해 시험 이전의 공극률 범위와 중복되지 않는 시험편들을 대상으로 투수시험을 수행하였다. 구속압은 4 ~ 14 MPa의 범위에서 한 개의 시험편 당 3개 이상의 구속압 조건을 사용하여 각각 투수계수를 측정하였다. 이때 서보 제어 장치를 사용하여 공극수압이 변하더라도 시험편에 일정한 구속압이 작용하도록 유압을 조절하였다.
Fig. 6은 일부 시험편의 구속압에 따른 투수계수 측정값들을 로그 눈금 그래프에 도시한 결과이다. 구속압과 로그를 취한 투수계수 사이에 선형적인 비례관계가 있음을 유추할 수 있었고, 이를 바탕으로 식 (2)와 같이 구속압에 대한 투수계수 관계식의 관계식을 지수식으로 표현할 수 있었다. 여기서, k는 해당 구속압에서의 투수계수(m2), k0는 구속압이 없는 상태에서의 초기투수계수(m2), σconf는 구속압(MPa), γ는 압력 민감도(MPa-1)이다.
시험편별로 최소자승법으로 회귀하여 초기투수계수를 산정하였고, 그 결과 KURT 화강암의 초기투수계수는 1.94×10-19 ~ 1.03×10-18 m2의 분포를 보였으며 평균값은 4.86×10-19 m2, 표준편차는 2.41×10-19이었다. Lee et al.(2019)에 의하면, KURT의 서로 다른 시험구간에서 확보한 암석 시험편들의 투수계수 평균은 1.94×10-19 m2 정도이고, 표준편차는 2.02×10-19이었다. 본 연구에 사용한 시험편도 일반적인 무결 화강암의 투수계수 범위에 포함되며, 구간별 일부 물성 편차를 고려하면 선행연구와 유사한 수준의 투수계수를 가진다고 할 수 있다. Fig. 7(a)는 구속압 4, 6, 8, 10 MPa에서 측정된 시험편들의 투수계수를 모두 도시한 것이며, 이를 Fig. 7(b)에서 구속압별로 투수계수를 평균하여 평균투수계수(kavg)로 나타내었다. Table 5는 해당 결과를 정리한 표이다. 이 경우에도 평균투수계수는 구속압이 증가함에 따라 음지수적으로 감소하는 경향을 보였으며, 이때의 회귀식은 식 (3)과 같다.
Table 5.
Permeability at different confining pressures
David et al.(1994)는 5가지 종류의 사암을 대상으로 실내시험을 통해 최대 400 MPa의 유효응력 하에서 투수계수를 측정하였고, Fig. 8의 결과를 바탕으로 다음과 같이 응력이 증가함에 따라 투수계수가 음지수 형태로 감소하는 식을 제안하였다. 식 (4)에서 K는 유효응력 Peff가 작용할 때의 투수계수, K0는 대기압 P0하에서의 투수계수이고 γ는 압력 민감도이다. 화강암을 대상으로 한 여러 선행연구에서도 동일한 관계를 관찰할 수 있었으며, 이는 본 연구에서 구한 관계식과도 일치한다.
3.3 다양한 온도 조건에서의 투수계수
방사성폐기물 처분장에서 붕괴열로 인한 온도 상승은 벤토나이트 완충재의 열적 변성 및 처분용기의 부식을 가속시켜 처분 성능을 저하시킬 수 있다(Cho et al., 2019). 이를 방지하기 위해 여러 나라 및 우리나라에서는 처분용기와 완충재의 최고첨두온도(maximum peak temperature)가 100°C를 초과하지 않도록 규정하고 있다. Cho et al.(2019)는 한국형표준시스템(KRS) 모델을 대상으로 TOUGH2 코드를 이용하여 열해석을 위한 수치모델을 개발하였다. 해석 결과, 복층 및 삼층 심지층처분장 시나리오 모두, 근계암반과 완충재 경계에서의 온도가 서서히 증가하다가 수백 년 경과 후 최고 온도에 도달하는데 그 값이 약 85 ~ 95°C이었다.
실제 처분장 근계암반의 장단기 처분환경과 유사한 온도 범위에서의 투수계수 변화를 파악하기 위해, 동일 시험편을 근계암반의 예상 최고 온도인 90°C와 상온(25°C), 둘의 사잇값인 50°C, 3가지 온도 조건을 각각 유지하며 투수시험을 수행하였다. Fig. 9는 삼축압축셀에 온도 측정을 위한 센서를 추가로 설치한 모습이다. 시험편 온도 상승을 위해, 삼축압축셀을 비교적 완만한 온도 구배의 2°C/min 속도로 가열하였고, 시험편 내부까지 온도가 충분히 전파되도록 Fig. 10의 패널로 모니터링하며 목표 온도에서 1시간 이상 유지한 후 투수시험을 진행하였다.
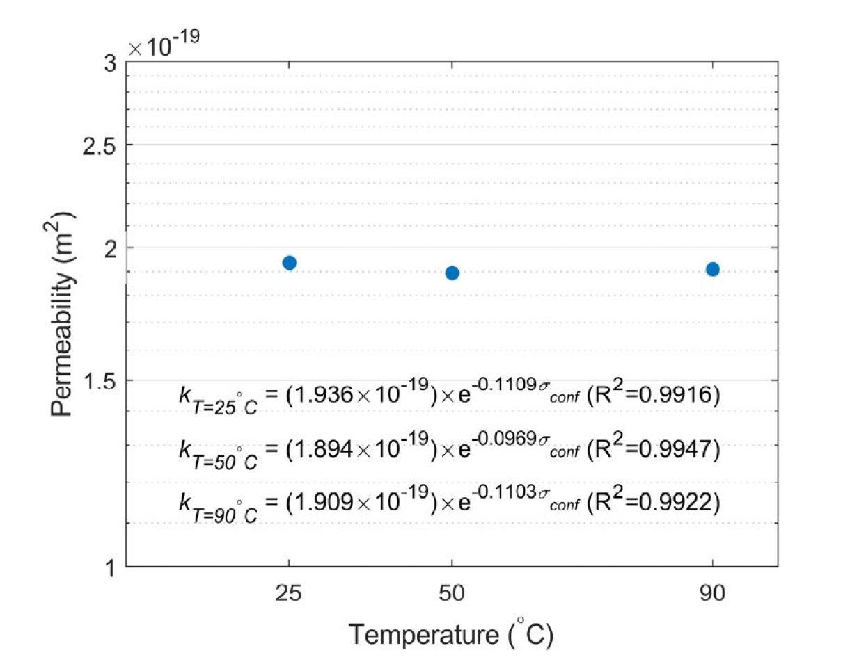
Fig. 11과 같이 온도별로 구속압 4, 6, 8. 10 MPa에서의 투수계수로부터 회귀식을 세워 구한 초기투수계수 값은 1.936×10-19 m2, 1.894×10-19 m2, 1.909×10-19 m2였으며, 평균 1.913×10-19 m2, 표준편차 1.74×10-21으로, 90°C 이하의 온도 조건에서 KURT 화강암의 투수계수 변화는 무시 가능한 수준임을 확인하였다.
대다수의 선행연구에서는 최대 1,000°C 수준까지의 고온 조건에서 암석 시험편을 사전에 열처리한 후 냉각시켜 상온에서 투수계수 측정을 진행하였다. Fig. 12(a)는 결정질 암석을 대상으로 한 선행연구의 열처리 온도에 따른 투수계수 변화 결과를 취합하여 정리한 것이다. 가로축의 △T는 열처리 과정에서 사용한 최대 온도와 냉각된 온도(대부분 25°C의 상온)의 차이이다. Fig. 12(b)는 상온에서의 투수계수 대비 열처리 후 투수계수 증가율을 도시한 것이다. 사용한 암종과 열처리 및 냉각 방법에 따라 분산이 어느 정도 존재하지만 대략 100 ~ 200°C 이상의 고온에서부터 투수계수가 서서히 증가하기 시작하였으며, 본 연구에서 사용한 90°C 이하의 상대적 저온 조건에서는 큰 변화가 관찰되지 않았다.
3.4 공극률과 투수계수 간 상관관계
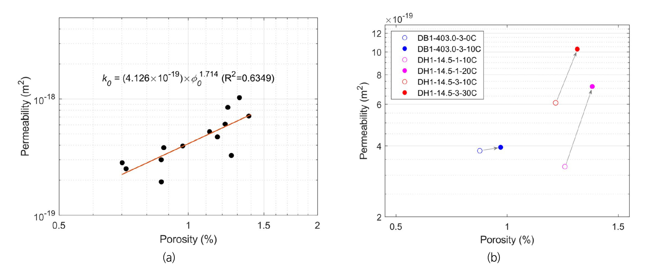
앞서 다양한 구속압 조건에서 도출한 시험편별 초기투수계수(k0)가 구속압이 작용하지 않는 상태에서 측정한 초기공극률(ϕ0)의 거듭제곱에 비례하는 형태로 관계식을 세워 회귀분석을 진행하였다. Fig. 13(a)는 해당 관계식과 실제 초기투수계수 결과를 함께 도시한 것이다. Fig. 13(b)는 동결-융해 과정을 거친 동일 시험편의 투수계수 변화를 나타낸 것으로, 공극률이 증가함에 따라 투수계수 역시 증가함을 확인할 수 있다. Table 6은 공극률에 따른 초기투수계수 측정 결과를 정리한 표이다.
Table 6.
Porosity and initial permeability of the specimens
Fig. 14는 결정질 암석을 대상으로 한 선행연구의 공극률과 투수계수 결과를 취합하여 두 축 모두 로그 단위로 도시한 것이다. 사용된 암종의 차이에 의한 편차는 존재하지만, 본 연구와 동일하게 투수계수가 공극률의 거듭제곱에 비례함을 확인할 수 있다.
본 연구에서 도출한 식 (5)로 초기투수계수를 초기공극률과의 관계식으로 결정하고, 이를 식 (6)에 대입하면 구속압의 영향이 고려된 투수계수를 구할 수 있다. 예시로, 처분공 근계와 원계에 해당하는 암반의 공극률 및 응력을 가정하였을 때, 두 관계식을 사용하여 각 위치에서의 투수계수를 추정한 결과를 Table 7에 정리하였다. 여기서 근계란 처분터널과 처분공 굴착에 의해 손상된 영역을 의미하며, 원계란 응력이 교란되지 않은 원지반과 동한 영역을 의미한다. 처분공 근계암반의 공극률은 굴착손상영역에서의 평균 공극률을 사용하였고, 구속압은 처분공벽에 가까우므로 0에 가까운 값으로 가정하였다. 처분공 원계암반의 공극률은 손상되지 않은 기존 암석의 평균 공극률로, 구속압은 처분심도 500 m에서의 수직응력으로 가정하였다. 투수계수는 원계 대비 근계에서 약 20배 증가하는 변화를 보였다.
Table 7.
Permeability at near-field and far-field conditions
| Location | Condition | Permeability |
| Near-field | ϕ = 2.4%, σ≈ 0.1 MPa | 1.830×10-18 m2 |
| Far-field | ϕ = 1.0%, σ≈ 13.25 MPa | 9.568×10-20 m2 |
Cho et al.(2013)은 실제 실험을 통해 KURT의 굴착손상영역 영역에서 투수계수가 100배 이내로 증가함을 확인한 바 있다. Sabet et al.(2005)는 FEBEX (Full-scale Engineered Barriers Experiment) 프로젝트를 통해, 기계식 굴착에 의한 굴착손상영역 또한 교란되지 않은 암반과 비교될 만한 투수계수 차이를 보인다고 결론지었다. Liedtke(2005)는 Äspö 프로토타입 처분장의 기계식 굴착에 의한 굴착손상영역에서 투수계수가 1,000배 수준까지 증가했다고 보고하였다. Tsang et al.(2005)에 따르면, 발파에 의한 굴착손상영역의 투수계수는 최소 10배 이상 증가하였으며, Martino and Chandler(2004)는 URL (Underground Research Laboratory)에서, 무결한 암석에 비해 발파에 의한 굴착손상영역의 투수계수가 1,000배 미만 수준으로 증가함을 확인하였다. Pusch and Stanfors(1992)는 Stripa 광산과 Äspö HRL (Hard Rock Laboratory)에서, 1 m 이상의 크기로 형성된 발파 굴착손상영역의 투수계수가 100 ~ 1,000배 증가하였으며, Sugihara(2008) 역시 Kamaishi 광산에서 발파 굴착손상영역의 투수계수가 100배 정도 증가함을 관찰하였다.
4. 결 론
동결-융해 사이클 30회 기준으로 암석 시험편의 공극률을 최대 0.36%까지 안정적으로 증가시킬 수 있었으며, 사이클 반복 횟수가 증가할수록 P파 속도는 대체로 감소하였다. 하지만 무결한 화강암을 대상으로 동결-융해 사이클 10회 수준은 물성 변화가 크지 않았으므로 보다 긴 사이클 간격마다 물성 측정을 수행하는 것이 바람직해 보인다.
순간증압 투수시험을 통해, 구속압이 증가함에 따라 KURT 화강암의 투수계수가 음지수 형태로 감소함을 확인하였다. 이러한 지수 관계로부터 초기투수계수가 1.94×10-19 ~ 1.03×10-18 m2로 분포함을 알 수 있었다. 구속압별 평균투수계수 역시 구속압이 증가함에 따라 음지수적으로 감소하였으며, 이를 바탕으로 예상 응력만으로 KURT 화강암의 평균투수계수를 추정할 수 있는 관계식을 도출하였다.
근계암반에 도달할 것으로 예상되는 최고 온도인 90°C를 기준으로, 그 이하의 온도 범위에서는 투수계수의 변화가 무시 가능한 수준임을 실험적으로 확인하였다. 선행연구들의 결과에서도 대략 100 ~ 200°C 이상의 고온에서부터 투수계수가 서서히 증가하기 시작하였으며, 이는 90°C 이하의 온도가 구성광물들의 서로 다른 열팽창계수에 의한 광물 간 결합의 변화를 유도하지 못했기 때문으로 추측된다. 또한 온도 조건 실험에서도 서보 제어 장치를 사용하여 구속압이 항상 일정하도록 유지하였기 때문에, 열응력이 작용하지 않아 공극률에 큰 영향을 주지 못한 것으로 추정된다.
무결한 화강암에서도 투수계수가 공극률의 거듭제곱에 비례하는 관계식이 적합함을 확인하였다. 본 연구에서는 시험편의 초기공극률로부터 초기투수계수를 추정하고 이를 구속압과 투수계수 간 관계식의 비례상수로 활용함으로써, 주어진 초기공극률과 응력 조건에서의 투수계수를 유추할 수 있었다.
처분공 근계와 원계 암반의 공극률과 응력을 가정하고 실험적으로 투수계수를 추정하였을 때, 원계 대비 근계에서 투수계수가 약 20배 정도 증가하는 결과를 얻을 수 있었다. 굴착손상영역에서의 투수계수 증가에 관한 선행연구 결과들에 따르면, 공극률 증가와 응력 감소에 따른 투수계수 증가가 약 10 ~ 1,000배 수준이었으므로 해당 결과는 타당하다고 볼 수 있으며, 보다 보수적으로 큰 공극률과 구속압 차이를 사용할 경우, 1,000배에 가까운 증가율도 구현 가능해 보인다. 일반적으로 처분장에서 고려하는 투수계수는 불연속면이 포함된 암반의 투수계수이지만 이와 같이 응력 재분포에 의해 근계 영역 암석의 투수계수가 큰 폭으로 증가한다면, 변화된 결정질 암석의 투수계수도 함께 고려하는 것이 보다 신뢰도 높은 핵종 이동 예측 결과를 보일 것이다.
본 연구의 구속압 및 온도, 공극률에 따른 투수계수 실험 결과는 추후 근계암반 복합거동 해석을 위한 자료로 제공될 수 있으며, 궁극적으로 처분장 설계에 활용 가능하다. 다만, 본 연구에서 규명한 관계식은 그 형태에 대한 적합성은 확인하였지만, 시추방향이 동일하여 물성의 편차가 크지 않은 시험편들을 바탕으로 구한 것이므로, 해당 식 자체를 KURT에 분포한 화강암에 그대로 적용하기에는 무리가 있다. 따라서 다른 여러 시추공으로부터 공극률과 투수계수 정보를 추가하여 본 연구 방식을 적용한다면, 보다 범용적인 관계식을 규명할 수 있을 것이다.
















