1. 서 론
2. 연구 방법
2.1 암석 시험편
2.2 불연속면 거칠기 측정 장비
2.3 직접 전단 시험기
2.4 불연속면 파괴기준식 및 크리프 전단응력 산정
2.5 크리프 모델
2.6 전단 크리프 시험
3. 연구 결과
3.1 불연속면의 거칠기 변화
3.2 전단 크리프 시험 결과
4. 결 론
1. 서 론
지하 암반의 역학적인 변형거동과 안정성은 불연속면의 거동에 크게 좌우되며, 터널 및 암반구조물의 장기적인 안정성을 평가하기 위해서는 주변 암석 및 불연속면의 크리프 거동을 이해하는 것이 매우 중요하다. 특히, 고준위 방사성폐기물 처분을 위한 처분구조물 내 다중방벽은 처분용기와 완충재로 구성된 공학적 방벽과 이를 둘러싼 천연방벽인 근계암반으로 구성된다. 이러한 다중방벽은 수만 년 이상 장기적으로 방사성물질의 격리를 보장해야 하므로, 매우 높은 수준의 장기안정성이 요구된다. 그러나 처분구조물은 일반적인 구조물과 달리 최소한의 보강 또는 무보강 상태에서 시공되며, 구조물의 장기안정성은 근계암반의 초기물성에 의존하게 된다. 근계암반은 다양한 불연속면을 포함하고 있으며, 불연속면을 따라 발생하는 전단거동은 장기적으로 대변형을 유발할 수 있다. 이는 처분구조물의 구조적 안정성과 직접적으로 연관된 문제이다. 또한, 암반은 장시간 하중에 노출될 경우 단기 거동과는 다른 형태의 시간 의존적 거동을 나타내기 때문에 일반적인 단기 물성만으로는 예측이 어려움이 있다. 따라서, 불연속면의 장기 거동에 대한 정량적 평가가 필수적으로 요구된다.
암반의 장기 거동은 크리프(Creep) 현상으로 정량화할 수 있다. 전형적으로 크리프 거동은 1차 크리프(전이 크리프), 2차 크리프(정상 크리프), 3차 크리프(가속 크리프)의 형태로 나타나며(Boukharov et al., 1995), 각 단계에 대한 정량적 특성을 반영한 크리프 모델의 적용과 파라미터의 도출이 요구된다. 그러나 크리프 곡선으로부터 이러한 파라미터를 도출하기 위해서는 장시간의 실험과 실험 데이터에 적합한 크리프 모델 설정이 필요하다는 점에서 어려움이 존재한다. 이와 관련하여 해외에서는 불연속면의 전단 크리프 거동 및 이에 영향을 미치는 전단응력 수준, 즉 장기 전단강도를 규명하기 위한 연구가 수행된 바 있으며(Amadei and Curran, 1982, Bowden and Curran, 1984, Solberg et al., 1978, Malan et al., 1998), 또한, 불연속면의 전단 크리프 모델을 도출하기 위한 연구 또한 지속적으로 수행되어왔다(Zhang et al., 2012, Jiang et al., 2013, Wang et al., 2017a, 2017b, He et al., 2019, Lin et al., 2020, Li et al., 2023, Tariford et al., 2024). 하지만 국내에서는 무결암의 크리프 거동을 규명하기 위한 연구들은 일부 수행되었으나, 불연속면에 대한 크리프 거동에 대한 연구는 상대적으로 매우 부족한 실정이다.
본 연구에서는 국내 화강암 절리면을 대상으로 직접전단시험기를 이용한 전단 크리프 시험을 수행하고, 전단응력 수준의 변화에 따른 크리프 거동 특성을 평가해보고자 하였다. 전단 크리프에 의해 불연속면의 파괴를 유발하는 장기전단강도의 수준을 파악해보고자 하였으며, 전단 크리프 응력의 수준에 따른 각 크리프 단계에서의 크리프 변형률의 특성을 평가하였다. 또한, 실험 데이터를 기반으로 불연속면의 크리프 거동을 모사하기 위한 여러 유변학적 모델의 적용 가능성을 비교·평가하고, 각 모델에 대한 크리프 파라미터를 도출하였다.
2. 연구 방법
2.1 암석 시험편
본 연구에서 사용한 불연속면 암석 시험편은 전라북도 황등지역에서 채취한 황등화강암이며, Table 1에는 선행연구(Park, 2011)에서 보고한 황등화강암의 물성을 나타내었다. Table 1에서 제시된 것과 같이 황등화강암의 일축압축강도는 184 MPa, 포아송비는 0.28, 탄성계수는 55.43 GPa, 인장강도는 8.38 MPa, 밀도는 2.65 g/cm3로 보고되어 있다. 본 연구에서는 거칠기를 갖는 인공절리면을 포함한 시험편을 준비하였으며, 불연속면을 획득하기 위해 가로×세로×높이가 130 × 120 × 150 mm인 직사각형 블록의 상하부면에 쐐기를 압입시켜 인장균열면을 생성하였다. 시험편의 크기는 직접전단시험기의 구조와 한국암반공학회(KSRM, 2009) 표준 전단시험법에서 제시한 암석 시험편의 최소크기를 반영하여, 절리면 전단면의 충분한 유효면적을 확보할 수 있도록 설계되었다. Fig. 1에는 본 연구에서 사용한 황등화강암 시험편을 나타내었다. 각 시험편의 초기 JRC는 10~12수준이며, 반복되는 시험에 따라 감소하는 거칠기는 휴대용 3D 스캐너를 통해 Z2를 산정하여 도출하였다. 또한, 다수의 전단시험을 수행하여야 함을 고려하여 반복적으로 사용하였으며, 시험편이 쪼개지거나, 모서리 부분이 파괴되어 전단면적이 크게 변화하는 경우에는 시험편을 교체하였다.
Table 1.
Mechanical properties of Hwangdeung granite (Park, 2011)
| Properties | Values |
| Uniaxial compressive strength | 184 MPa |
| Young’s modulus | 55.43 GPa |
| Poisson`s ratio | 0.28 |
| Brazilian tensile strength | 8.38 MPa |
| Density | 2.65 g/cm3 |
2.2 불연속면 거칠기 측정 장비
본 연구에서는 한정된 수량의 암석 시험편을 반복적으로 사용하여 전단 크리프 시험을 수행하였다. 이러한 시험편의 반복된 사용은 절리면의 마모 및 파괴로 인해 최대 전단강도 감소를 유발할 수 있으며, 이는 전단 크리프 시험 시 직접적인 영향을 주는 요인으로 작용한다. 따라서, 본 연구에서는 각 시험단계에서의 전단강도 저하를 정량적으로 반영하기 위해, 시험 전ㆍ후로 3차원 정보를 기반으로 절리면의 거칠기를 분석할 수 있는 휴대용 3D 스캐너를 이용하여 불연속면의 거칠기를 측정하였다. 휴대용 3D 스캐너는 시험편의 절리면을 스캔하여 거칠기 파라미터(Z2)를 산정하고, 이를 Barton식에 대입하여 각 단계별 JRC 및 최대 전단 강도 산정에 활용되었다. 휴대용 3D 스캐너는 측정 정확도와 정밀도에 대한 신뢰성을 확보하기 위하여, 한국원자력연구원의 레이저 스캐너와 비교 실험을 수행하여 적용성을 검증하였으며(Kim and Jeong, 2024), Fig. 2는 본 연구에 사용된 휴대용 3D 스캐너와 비교 기준으로 활용된 원자력연구원의 레이저 스캐너의 실물 사진을 나타낸 것이다. Table 2는 두 장비의 주요 사양을 나타낸 것이다. 휴대용 3D 스캐너와 레이저스캐너의 정밀도는 각각 0.05 mm와 0.005 mm이다. Fig. 3은 동일한 절리면을 대상으로 각각의 스캐너를 통해 획득한 포인트 클라우드 데이터를 기반으로 구성된 3차원 모델로 거칠기 표현에서 유사한 경향을 확인할 수 있다. 하지만 측정 장비에 따른 거칠기 높이 차이가 존재하며, 이는 측정 장비 간 해상도(resolution)의 차이에 기인한다(Ge et al., 2021). 따라서, 휴대용 3D 스캐너는 레이저스캐너에 비해 상대적으로 낮은 해상도를 가지므로 절리면의 미세 거칠기 표현에서 정밀도가 낮게 나타날 수 있다.
Table 2.
Specification of 3D scanners used in this study
2.3 직접 전단 시험기
본 연구에서는 서보 제어가 가능한 유압식 직접 전단 시험기를 사용하여 전단 크리프 시험을 수행하였다. 해당 시험기는 수직 방향과 전단 방향 모두에 대해 독립적인 하중 및 변위 제어가 가능하며, 이를 통해 다양한 하중 조건에서의 장기 전단거동을 재현할 수 있다. 직접 전단 시험기에 장착된 수직 및 전단 엑츄에이터의 최대 하중 용량은 10 ton이며, 각 방향으로의 최대 변위는 70 mm, 변위의 제어속도는 1 ~ 5 mm/min이다. 시험 중 가해지는 하중은 로드셀(Load cell)을 통해 계측되며, 최대 10 ton까지 계측이 가능하고 오차율은 0.1 % 수준이다. 변위는 LVDT (Linear Variable Differential Transformer)를 통해 계측되며, 최대 측정 범위는 75 mm, 오차율은 0.1% 이내로 고정밀 변위 계측이 가능하다. Fig. 4는 본 연구에서 사용된 직접 전단 시험기의 구성 사진을 나타낸 것으로, 한국암반공학회(KSRM) 및 국제암반역학회(ISRM)에서 제시한 표준 직접 전단 시험법을 반영하여 제작되었다.
2.4 불연속면 파괴기준식 및 크리프 전단응력 산정
본 연구에서 수행한 전단 크리프 시험에서는 통상 불연속면의 전단 강도를 의미하는 최대 전단강도 보다 낮은 수준의 전단응력을 재하하여 전단 크리프 시험을 수행하였다. 따라서, 시험 전에 불연속면의 전단 강도를 산정할 필요가 있으며, 본 연구에서는 불연속면의 전단강도를 예측하기 위한 파괴기준식으로 Mohr-Coulomb식과 Barton식을 고려하였다. Mohr-Coulomb식은 식 (1)과 같이 표현되며, 절리면의 마찰각(friction angle, 𝜙)과 점착강도(cohesion, )를 기반으로 불연속면의 전단강도를 선형적으로 산정한다.
그러나 Mohr-Coulomb식은 전단강도와 수직응력이 서로 선형적인 관계로 모사되어 실제 암석의 비선형적인 전단거동을 정확히 모사하기에는 한계가 있는 것으로 알려져 있으며, 거칠기의 영향이 마찰각과 점착강도의 항으로 표현되기 때문에 불연속면의 거칠기에 따른 최대 전단강도를 추정하는 것은 불가능하다. 따라서, 본 연구에서는 Barton(1973)이 제시한 파괴기준식을 따라 거칠기 감소를 반영한 최대 전단강도를 산정하고자 하였다. Barton이 제시한 파괴기준식은 식 (2)와 같이 나타낸다.
여기서 JRC는 거칠기 계수(Joint Roughness Coefficient), JCS는 절리면 벽면 강도(Joint compressive strength), 는 기본 마찰각(basic friction angle)을 의미한다. JRC는 절리면의 형상을 통해 간편하게 측정할 수 있도록 표준 프로파일(Barton and Choubey, 1977)이 제시되어 있다. 하지만 표준 프로파일은 절리면 전체의 거칠기를 단일 프로파일의 형상으로 결정한다는 점, 육안으로 관찰 후 선택하기 때문에 사용자의 주관이 개입한다는 점, 특정 값이 아닌 범위의 값으로 주어진다는 등의 단점이 있다. 이를 보완하기 위하여 절리면의 거칠기를 보다 정량적인 방법으로 산정하는 방안들이 제시되어 왔으며, 대표적으로 (Tse and Cruden, 1979), (Grasselli and Egger, 2003) 등이 있다.
이러한 파라미터들을 획득하기 위해서는 절리면의 표면 좌표를 수치적으로 측정해야한다. 따라서 본 연구에서는 휴대용 3D 스캐너를 사용하여 각 불연속면의 3차원 포인트 클라우드를 획득하고 불연속면의 거칠기를 나타내는 Z2를 계산하였다. 그리고 Tse and Cruden(1979)이 제시한 Z2와 JRC와의 경험적인 상관관계로부터 불연속면의 JRC를 산정하였다. 본 연구에서 사용한 JRC산정식은 식 (3)과 같이 나타낸다.
여기서 산정된 JRC는 각각의 전단시험 후 시험편의 거칠기 변화를 관찰하는 데 활용되었으며, 크리프 전단응력을 산정하기 위한 기준값인 불연속면의 전단강도(Barton 식)를 계산하기 위한 입력변수로 사용되었다. 본 연구에서는 수직응력을 0.5, 1.0, 2.0, 4.0 MPa로 증가시켜가며 직접전단시험을 수행하였으며, 직접전단시험결과를 바탕으로 Fig. 5에 보여진 Barton의 모델을 따라 산정된 전단강도를 사용하였다. Fig. 5는 직접전단시험 결과와 Mohr-Coulomb 및 Barton 파괴기준식에 따라 산정된 전단강도 추세를 함께 도시한 그래프이다. Fig. 5에 나타낸 Barton의 전단강도 추세는 JRC=12(Z2로부터 계산), JCS=184.08 MPa (Lee, 2011), 기본마찰각 30.4°를 적용한 결과이다.
2.5 크리프 모델
절리면의 시간의존적인 변형거동(크리프 거동)을 설명하기 위한 모형들이 다양한 연구자들에 의해 제시되어 있다. 유변학적 모형으로는 탄성거동을 나타내는 Spring 요소체, 점성을 나타내는 Dashpot 요소체, 소성을 나타내는 Slider 요소체를 적절하게 결합한 모델이 일반적으로 사용된다. Maxwell 모델은 Spring과 Dashpot을 직렬로 연결한 것이며, 식 (4)과 같이 표현할 수 있다. 순간적인 탄성변형률과 2차 크리프를 적합하게 모사하나, 지수적으로 감소하는 1차 크리프를 설명할 수 없는 한계점을 갖는다.
Spring과 Dashpot을 병렬로 연결한 Kelvin 모델은 지수적으로 감소하는 1차크리프와 선형적인 2차 크리프를 잘 나타내지만 순간적인 탄성변형률을 고려하지 못한다는 단점이 있다. 식 (5)는 Kelvin 모델의 크리프 모사식을 나타낸 것이다.
실제 절리면의 시간의존적인 거동 특성은 Maxwell 모델과 Kelvin 모델로 설명할 수 있는 것보다 훨씬 복잡한 거동특성을 나타내므로, 두 모형을 직렬로 연결하여 결합한 Burgers 모델이 활용되고 있다. Burgers 모델에 의 일정한 응력이 가해질 때의 총 크리프 변형률은 Maxwell 모델에 의한 변형률()과 Kelven 모델에 의한 변형률()의 합으로 식 (6)과 같이 표현할 수 있다(Lama and Vutukuri, 1978).
여기서 밑첨자 M과 K는 각각 Maxwell 모델과 Kelvin 모델을 나타내고, E는 각 모델에서의 영률, 𝜂는 점성계수를 나타낸다. 본 연구에서는 Kelvin과 Burger 모델의 크리프 모사식을 사용하여 황등화강암 시험편에 대한 크리프 상수를 평가하였다.
2.6 전단 크리프 시험
본 연구에서는 화강암 절리면의 장기 전단 거동을 분석하기 위하여, 일정 수직응력 하에서 단계적으로 전단응력을 변화시키는 전단 크리프 시험을 수행하였다. 본 연구의 전단 크리프 시험은 일정수직하중(constant normal load, CNL)조건 하에서 수행되었으며, 크리프 거동의 시간의존성을 평가하기 위하여 일정 전단응력을 장시간 동안 재하한 상태에서 전단 변형률을 계측하는 방식으로 진행되었다.
시험에 적용된 수직응력은 1.0 MPa로 고정하였으며, 각 시험편의 절리면 거칠기와 Barton 강도기준식에 따라 산정된 최대 전단강도의 85 %에서 65 % 수준까지 전단응력을 설정하였다. 이러한 응력 수준은 시험 전 휴대용 3D 스캐너를 활용한 절리면 Z2 산정 결과를 기반으로 JRC를 환산하고, 이를 Barton 식에 대입하여 최대 전단강도를 산정한 후 결정되었다.
시험시간은 최대 4일(약 96시간)로 설정되었으며, 0.1 sec 간격으로 데이터를 수집하였다. 시험 중 3차 크리프(가속 크리프)의 발생이 명확히 확인되는 경우, 해당 시점에서 시험을 종료하였다. 반면, 3차 크리프가 발생하지 않는 조건에서는 설정된 시험시간 경과 시점까지 하중을 유지한 후 종료하였다.
3. 연구 결과
3.1 불연속면의 거칠기 변화
본 연구에서는 전단 크리프 시험이 반복됨에 따라 나타나는 화강암 절리면의 거칠기 변화를 정량적으로 분석하였다. 시험에 사용된 화강암 시험편은 쐐기형 인장파괴를 통해 생성된 절리면을 갖는 두 개의 블록으로 구성되었으며, 시험 전ㆍ후로 휴대용 3D 스캐너를 이용하여 절리면 형상을 정밀 스캔하였다. 획득된 포인트 클라우드 데이터는 제조사에서 제공하는 전용 소프트웨어와 Matlab을 활용하여 전처리 및 3D 모델링이 수행되었으며, 이를 통해 Z2 파라미터를 산정하고 거칠기의 변화를 분석하였다.
Fig. 6는 직접전단시험 및 전단 크리프 시험 전ㆍ후에 스캔된 절리면의 3차원 모델과 전단 방향을 나타내었으며, 시험 중 발생한 마모가 집중된 구간은 붉은색 선을 통해 강조하였다. 본 연구에서는 시험이 진행됨에 따라 절리면의 거칠기가 점진적으로 마모되는 양상을 3D 모델을 통하여 시각적으로 확인할 수 있으며, 초기 절리면에서 상대적으로 높이가 컸던 미세 요철 부위에서 국소 파괴가 선행되었고, 이로 인해 전체 절리면의 평균 거칠기가 감소하는 경향을 관찰하였다. 이는 불연속면의 미세한 요철 중 특정 영역에 응력 집중이 발생하였기 때문으로 판단되었다.
Fig. 7은 주요 마모 지점을 중심으로 절리면 단면의 거칠기 변화를 비교한 그래프이며, 시험이 진행됨에 따라 단면의 고도차가 완만해지고 요철의 분포가 평탄화되는 현상을 확인할 수 있다. 이는 크리프 시험 동안 불연속면 상에서 반복적으로 발생한 전단이동에 의해 미세 요철들이 파쇄되고, 절리면 전체가 점진적으로 평탄화되었음을 시사한다. 또한, 본 연구에서는 전단응력 수준이 낮아질수록 거칠기 감소가 줄어들었다. 이는 낮은 전단응력 수준에서는 변형이 절리면 거칠기에 미치는 영향이 적기 때문이라고 판단되었다. 한편, 일부 영역에서는 시험 후 거칠기 높이가 시험 전보다 더 높게 측정된 구간이 관찰되었다. 이는 조명, 반사, 측정 각도 등 측정 환경에 기인한 국부적 오차일 가능성이 있는 것으로 판단되었다. 그러나 이러한 국소적 오차를 감안하더라도, 전반적인 거칠기 값의 변화 양상 및 거칠기 감소 경향은 명확하게 나타났다.
3.2 전단 크리프 시험 결과
3.2.1 3차 크리프 발생
본 연구에서는 화강암 절리면을 대상으로 실시한 전단 크리프 시험 결과, 전단응력 수준이 85%, 75%일 때 각각 3차 크리프 거동이 관찰되었으며, 65%의 전단응력 수준에서는 3차 크리프가 나타나지 않았다. Fig. 8은 전단응력 수준에 따라 시간에 따른 전단변위를 그래프로 나타낸 것이다. 85% 조건에서는 약 12,740초(약 4시간) 경과 시점에서, 75% 조건에서는 약 54,716초(약 15시간) 경과 후에 전단변위가 급격히 증가하며 3차 크리프에 해당하는 가속 크리프 단계로 진입하였다. 반면, 65% 응력 조건에서는 시험 전체 구간(4일) 동안 전단변위의 현저한 증가 없이 비교적 안정적인 변형 거동만이 관찰되었다. 이는 75% 이상의 전단응력 조건에서 절리면의 시간의존적 전단 파괴 발생 가능성을 시사하였다.
한편, Fig. 8의 85 % 및 65 % 전단응력 조건 그래프에서는 일부 2차 크리프 구간에서 순간적으로 전단변위가 급격히 증가하는 구간이 관찰되었다. 이는 시료 전체의 거동보다는 시험편 일부 영역에서의 요철 파괴, 미세 미끄러짐 등 국부적 반응에 기인한 것으로 판단되었다. 그러나 해당 현상은 일시적이며, 그 외 구간에서 안정된 2차 크리프 거동이 유지되어 전반적인 크리프 변위의 경향성에 영향을 주지 않았으므로 크리프 거동 해석에 유의미한 영향을 미치지 않는 것으로 간주하였다.
또한, Fig. 8에 나타난 바와 같이 3차 크리프가 발생하는 시점은 전단응력 수준에 따라 명확한 차이를 보였으며, 응력이 낮을수록 더 오랜 시간이 경과하여야 3차 크리프에 도달하는 경향을 나타냈다. 65% 응력 조건에서는 4일 동안 시험을 지속하였음에도 불구하고 3차 크리프가 발생하지 않았으며, 본 응력 수준에서는 수일 이상 시험이 지속되어야 3차 크리프가 발생할 것으로 예측되었다. 관련해서는 추가적인 연구수행이 필요한 것으로 판단된다. 또한, 본 연구에서는 75% 전단응력 수준 이하에서 3차 크리프 발생 응력 임계점 있다고 추정되어지며, 임계점 이하의 전단응력 조건에서는 장기적으로 구조적 안정성이 유지될 가능성이 있다고 예측되었다. 하지만 본 연구결과는 특정 조건(암종, 수직응력)에서 도출된 것이므로, 향후 다양한 암반조건과 열·수리·역학 복합조건을 반영한 추가 검증이 필요할 것으로 판단된다.
3.2.2 크리프 변위 발생속도
본 연구에서는 전단 크리프 시험 결과로부터 시간 - 전단변위 곡선의 각 구간에서 선형기울기를 산정하여, 1차, 2차 및 3차 크리프 단계에 해당하는 전단 변위 속도(Shear displacement rate)를 정량적으로 평가하였다. Fig. 9은 전단응력 수준에 따른 각 크리프 단계의 변위 속도를 로그 스케일로 도시한 그래프이며, Table 3는 이에 해당하는 정량적 데이터를 나타낸 것이다.
전단 크리프 변위 속도는 3차 > 1차 > 2차 순으로 높은 값을 나타내었으며, 이는 각 크리프 단계의 변형 메커니즘의 차이에 기인한 것으로 해석된다. 본 연구에서는 전단응력 수준이 85%에 도달할 경우, 3차 크리프 단계에서의 변위 속도는 812×10-4 mm/sec로 급격한 증가를 보였으며, 이는 75% 조건에 비해 30% 이상 상승한 수치로 확인되었다. 이는 임계 응력 수준을 초과하는 경우, 암석의 구조적 안정성이 급격히 저하될 가능성이 있으며, 절리면을 따라 급격한 파괴성 변형이 유발될 수 있을 것으로 판단되었다.
Table 3.
Z2 ,JRC and creep displacement rate at different creep stress levels
1차 및 2차 크리프 단계의 변위 속도 또한 전단응력 수준의 증가에 따라 점진적으로 증가하는 경향을 보였으며, 65% 조건에서는 각각 0.06×10-4 mm/sec, 0.00038×10-4 mm/sec로 거의 정체된 변형률을 보였다. 이는 낮은 전단응력 조건에서는 불연속면의 미세 요철 및 전단면의 상호작용에 의한 저항력이 유지되어, 시간 의존적 변형이 느리게 진행되었다고 판단되었다. 하지만 크리프 속도와 수직응력, 절리면 거칠기(Z2) 간의 상호작용에 대한 보다 명확한 인과관계를 규명하기 위해서는 다양한 응력 조건 및 시료 특성에 대한 추가적인 연구가 필요할 것으로 판단된다.
3.2.3 크리프 모델 적용
본 연구에서는 실험 데이터를 기반으로 유변학적 모델을 적용하여 전단 크리프 거동을 정량적으로 해석하고, 모델의 적합성과 크리프 파라미터를 비교·평가하였다. 적용된 모델은 Kelvin, Burger 모델이며, 유변학적 모형 중 Maxwell 모델은 시간 - 전단 변형률 곡선에서 실험 데이터와의 현저한 오차를 나타내어 본 연구에서는 제외하였다.
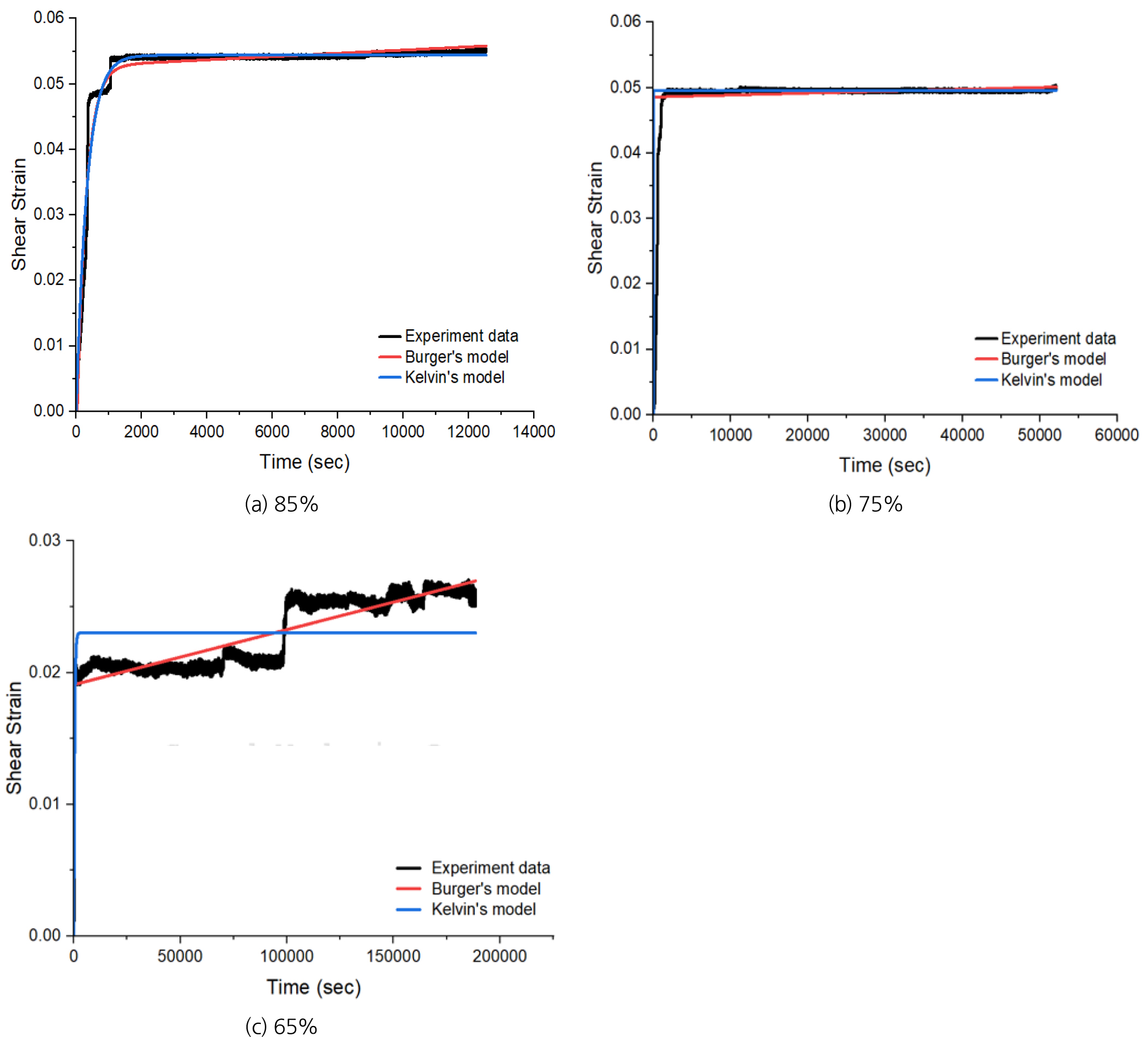
Burger 모델과 Kelvin 모델 간의 비교 결과, Burger 모델이 시간 - 전단 변형률 곡선에서 실험 데이터와 상대적으로 높은 적합도를 보였으며, 특히 65%, 75%, 85% 전단응력 조건 모두에서 실험 데이터의 2차 크리프 변형률을 충분히 재현하는 경향을 보였다. Kelvin 모델은 전체적으로 실험에서 관측된 2차 크리프 변형률을 과소평가하는 경향을 나타내었으며, 65% 조건에서의 2차 크리프 거동을 충분히 재현하지 못하였다. Fig. 10은 85 %, 75 %, 65 % 전단응력 수준에서의 시간 – 전단 변형률 곡선에 Burger 모델과 Kelvin 모델을 적용하여 나타낸 것이다.
Table 4는 Burger 모델에 대한 크리프 상수(탄성계수 ,, 점성계수 , )를 정리한 것이다. 해당 크리프 상수들은 각 전단응력 조건에서의 계측된 실험 데이터를 기반으로, Burger 모델의 구성식을 적용하여 회귀분석을 통해 도출하였다. 도출된 Burger 모델 파라미터는 전단응력 수준에 따라 다소 차이를 보였으나, 전반적으로 일관된 증가 혹은 감소 경향성은 얻을 수 없었다. 이는 실험 조건 내 제한된 수직 응력, 전단응력, 절리면 거칠기 조건으로 인해 유의미한 경향성을 도출하기에는 한계가 있었던 것으로 판단되었다. 따라서, 파라미터의 물리적 의미를 해석하고 응력조건과의 상관관계를 정립하기 위해서는 다양한 응력 조건 및 거칠기 특성을 갖는 추가적인 연구가 필요한 것으로 판단된다.
4. 결 론
본 연구에서는 국내 화강암 절리면의 크리프 거동 특성을 평가하기 위하여 황등화강암의 불연속면을 대상으로 전단 크리프 거동을 정량적으로 분석하였다. 불연속면의 거칠기 변화 관찰 결과, 본 연구에서는 시험이 진행됨에 따라 절리면의 거칠기가 점진적으로 마모되는 것을 확인하였으며, 상대적으로 높이가 컸던 요철 부위에서 국소 파괴가 진행되었다. 이는 응력집중이 발생하였기 때문으로 판단되었다. 또한, 전단응력 수준이 증가함에 따라 거칠기 감소가 뚜렷했으며, 응력 수준의 증가가 절리면 거칠기에 미치는 영향이 많기 때문으로 판단되었다.
전단 크리프 시험 결과, 전단강도의 약 75% 이상의 응력 수준에서 3차 크리프에 해당하는 가속 변형이 발생하였으며, 이는 절리면의 시간의존적 전단파괴가 유발될 수 있음을 시사한다. 반면, 전단강도의 65% 수준에서는 3차 크리프가 관찰되지 않았으며, 이 조건에서는 장기적으로 구조적 안정성이 유지될 가능성이 있는 것으로 판단되었다. 다만, 해당 응력 조건에서의 3차 크리프 발생 여부에 대한 명확한 검증을 위해서는 추가적인 장기 시험이 필요하다.
전단 크리프 변위 속도 분석 결과, 전단응력 수준이 증가할수록 각 크리프 단계에서의 변위 속도 역시 증가하는 경향을 보였다. 특히 85% 조건에서는 3차 크리프 변위 속도가 급격히 상승하였으며, 이는 임계응력을 초과할 경우 암석 불연속면의 구조적 안정성이 급격히 저하될 수 있음을 의미한다. 다만, 수직응력 및 거칠기 인자와의 상관성은 본 연구의 제한된 실험 조건 하에서 명확히 도출되지 않았으며, 향후 이를 규명하기 위한 추가적인 연구가 요구된다.
유변학적 모델 적용 결과, Maxwell 모델은 실험 데이터와의 적합성이 낮아 제외되었으며, Burger 모델이 Kelvin 모델 대비 실험 데이터를 보다 잘 모사하는 것으로 확인되었다. Kelvin 모델은 전단 변형률을 과소평가하는 경향을 나타냈으며, Burger 모델은 전단 크리프 거동의 전반적 흐름을 적절히 재현할 수 있어 향후 예측 모델로서의 활용 가능성이 높게 평가되었다.
또한, 본 연구에서는 Burger 모델의 각 구성 요소에 해당하는 크리프 상수를 도출하였으나, 전단응력 수준 또는 절리면 거칠기 등 주요 변수와의 유의미한 상관관계는 도출되지 않았다. 이는 수직응력과 거칠기 조건이 고정된 상태에서 제한적인 응력 단계만을 적용하였기 때문으로 판단되며, 다양한 실험조건 하에서 추가적인 연구수행을 통해 상관관계를 명확히 도출할 필요가 있다.













