1. 서 론
2. 저전력 블루투스(Bluetooth Low Energy, BLE)
3. 연구방법
4. 연구결과
4.1 챔버에 공기가 있을 때 이격거리에 따른 BLE 신호 수신 강도 특성
4.2 챔버에 물이 있을 때 이격거리에 따른 BLE 신호 수신 강도 특성
4.3 챔버에 흙탕물이 있을 때 이격거리에 따른 BLE 신호 수신 강도 특성
4.4 챔버에 버럭이 있을 때 이격거리에 따른 BLE 신호 수신 강도 특성
5. 토 의
6. 결 론
1. 서 론
최근 Tunnel Boring Machine (TBM)에 장착되는 디스크 커터의 예지 정비(predictive maintenance)를 위해 디스크 커터의 마모량을 실시간 계측하는 방법에 관한 연구가 수행되고 있다(Park et al., 2022). 과거에는 작업자가 직접 커터헤드 챔버 내로 진입하여 자 혹은 가이드 등을 이용해 디스크 커터의 마모량을 계측하였다. 그러나 이러한 전통적인 계측 방식으로는 디스크 커터의 마모량을 실시간으로 계측하기 어렵다. 이러한 한계를 극복하기 위해 초음파센서(Edelmann, 2013, Guo et al., 2013), 와전류센서(Lan et al., 2019, Wang et al., 2019), 자기센서(Gong et al., 2021) 등 다양한 센서를 이용하여 디스크 커터의 마모량을 실시간 계측하고자 하는 연구가 수행되어왔다.
디스크 커터의 마모량을 실시간 계측하기 위해서는 센서를 이용해 계측을 자동화하는 것뿐만 아니라, 계측된 데이터를 후방의 정보처리시스템에 안정적으로 전송하는 것도 중요하다(Park et al., 2022). 그러나 마모량 계측을 위한 센서에 관한 연구에 비해 계측된 데이터의 후방 전송방법에 관한 연구는 상대적으로 미흡한 실정이다. 일반적인 작업 환경에서는 데이터의 안정적인 전송을 위해 랜 케이블 등을 활용한 유선통신 방법이 사용될 수 있다. 그러나 TBM의 경우 지하의 폐쇄된 공간에서 커터헤드가 회전하면서 굴착작업을 수행한다. 유선통신 방법을 사용하여 커터헤드에 부착된 마모량 계측 센서로부터 챔버 후방으로 데이터를 전송하기 위해서는 케이블의 꼬임 방지를 위한 별도의 장치(rotary joint 등)가 필요하며, 별도 장치 설치로 인해 챔버 내 여유 공간이 더욱 협소해질 수 있다(Park et al., 2022). 이러한 제약조건으로 인해 기존 연구에서는 유선통신 방법보다는 무선통신 방법을 사용하여 마모량 계측 데이터의 후방 전송을 시도하였다(Guo et al., 2013, Lan et al., 2019, Gong et al., 2021). Fig. 1은 TBM 커터헤드에 설치된 마모량 계측 센서에서 무선통신 방법으로 데이터를 전송하면 챔버 후방에 설치된 수신기에서 데이터를 전송받는 방식을 보여주는 모식도이다. 챔버 후방에서 데이터를 수신받은 이후에는 유선통신 방법을 이용해 운전실까지 데이터를 안정적으로 전송할 수 있다.

Fig. 1
Backward transmission of cutter wear monitoring data using wireless communication method (modified from Lan et al., 2019)
TBM 커터헤드가 회전하면서 굴착작업을 수행할 때 챔버 안에는 굴착 토사, 지하수, 벤토나이트 이수액, 암 버럭 등 다양한 물질이 존재할 수 있다. 따라서 Fig. 1과 같이 무선통신 방법으로 마모량 계측 데이터를 전송하는 시스템을 설계하기 위해서는 다양한 물질로 채워져 있는 챔버를 전자기파가 통과할 수 있는지 확인하는 것이 중요하다. 오늘날 블루투스(Bluetooth), 와이파이(Wifi), 지그비(Zigbee) 등 다양한 근거리 무선통신 기술들이 산업 현장에서 사용되고 있으나, TBM 챔버와 같은 특수한 환경 조건에서도 이러한 근거리 무선통신 기술들을 안정적으로 사용 가능한지는 현재까지 연구되지 않았다.
본 연구의 목적은 근거리 무선통신 기술 중 저전력 블루투스(Bluetooth Low Energy, BLE)를 대상으로 TBM의 챔버를 모사한 실험 환경 조건에서 송신기의 신호강도(tx-power), 송신기와 수신기 사이의 거리, 챔버에 채워진 물질의 종류(공기, 물, 흙탕물, 버럭)에 따라 변화하는 수신기의 신호 수신 강도(Received Signal Strength Index, RSSI)의 특성을 분석하는 것이다. 이를 통해 TBM 커터헤드의 마모량 계측 데이터를 챔버 후방으로 무선전송하기 위한 기술로서 BLE의 활용 가능성을 검토하고자 한다.
2. 저전력 블루투스(Bluetooth Low Energy, BLE)
블루투스는 모바일 기기 간의 양방향 통신을 위해 개발된 근거리 무선통신 기술의 하나이다. 블루투스의 초기 버전인 블루투스 클래식(Bluetooth Classic)은 2000년대 무선 키보드나 마우스와 같은 기기들에 주로 사용되었다. 블루투스 4.0 버전인 BLE 기술은 2010년에 발표되었으며 주변 환경변화 감지, 실내 위치 측위, 위치기반 서비스 등의 목적으로 다양한 산업 분야에서 활용되고 있다(Jung et al., 2016). BLE는 이전 버전의 블루투스 기술들과 비교하여 약 90%의 전력 소비를 감소시켰고, 빠른 데이터 전송을 가능하게 하였다(Baek et al., 2018). Table 1은 블루투스 클래식과 BLE의 차이를 보여준다.
Table 1.
Comparison of the Bluetooth Classic and Bluetooth Low Energy (BLE) technologies (modified from Jung et al., 2016)
블루투스 비콘(beacon)은 BLE 신호를 주변 기기들에 주기적으로 송신하는 장치이다. 블루투스 비콘이 송신하는 BLE 신호의 세기는 tx-power(단위: dBm) 값으로 표현되며, BLE 신호의 수신 강도는 RSSI(단위: dBm) 값으로 측정할 수 있다. 여기서 RSSI는 -99 dBm에서 -35 dBm 사이의 음수 값으로 표현되며, RSSI가 -100 dBm 이하인 BLE 신호는 잡음으로 간주된다. 블루투스 비콘은 Table 2와 같이 세 가지 방식으로 데이터 통신을 수행할 수 있다.
Table 2.
Three communication methods of Bluetooth beacons
3. 연구방법
TBM 챔버의 상태와 전송 거리에 따른 BLE 신호의 수신 강도를 분석하기 위해 본 연구에서는 Fig. 2와 같은 실험실 모사 실험을 수행하였다. TBM 커터헤드에 설치된 다수의 마모량 계측 센서들로부터 무선신호를 송신하면 챔버 후방에 설치된 단일 스마트 기기(스마트폰 또는 태블릿 PC)에서 무선신호를 수신하는 시스템을 모사하여 송신기와 수신기 간의 N:1 연결이 가능한 Broadcast 방식으로 BLE 통신 실험을 수행하였다. BLE 신호의 송신기로는 블루투스 비콘 Beacon i3 (Hyunseung, 2023)을 사용하였으며, 수신기로는 Android 스마트폰을 사용하였다. BLE 통신 실험을 위해 송신기의 신호강도는 7단계(-20, -16, -12, -8, -4, 0, 4 dBm)로 설정하였으며, 수신기의 RSSI는 스마트폰에 설치한 전용 앱을 이용하여 측정하였다. 이때 전용 앱을 이용하여 주변의 다른 장치에서 송신된 BLE 신호의 RSSI가 측정되지 않도록 하였다. 또한, 수신기 앞에는 철판을 설치하여 TBM 챔버 후면의 철판을 모사하였다.
챔버에 채워지는 물질은 Fig. 3과 같이 공기(air), 물(water), 흙탕물(slurry), 버럭(muck) 4종을 고려하였고, 송신기와 수신기의 이격거리는 Fig. 4와 같이 5단계로 설정하였다(0.5, 1.0, 1.3, 1.5, 1.8 m). 챔버를 모사하기 위해 투명 폴리염화 비닐로 제작된 파이프를 사용하였다. 파이프가 비어있는 상태를 챔버에 공기만 존재하는 상황으로 가정하였고, 파이프에 물을 주입하여 챔버가 지하수로 가득 차 있는 상황을 모사하였다. 또한, 물과 토사를 5:1 비율로 혼합한 뒤 파이프에 주입하여 챔버가 흙탕물로 채워져 있는 상황을 모사하였으며, 챔버 공간이 버럭으로 채워진 상황을 모사하기 위해 물과 토사를 1:1 비율로 혼합한 뒤 파이프에 주입하였다. Table 3은 본 연구에서 수행한 모사 실험의 조건을 정리한 것이다.
BLE 통신 실험 시 수신기에서 신호를 수신하기 시작한 5초 후부터 전용 앱을 이용하여 RSSI 값을 5회 측정하였고, 측정된 RSSI 값을 최댓값과 최솟값을 제외한 세 개의 값의 평균을 계산하여 TBM 챔버의 상태와 전송 거리에 따른 BLE 신호의 수신 강도를 분석하였다.
Table 3.
Experimental conditions considered during Bluetooth Low Energy communication experiment
4. 연구결과
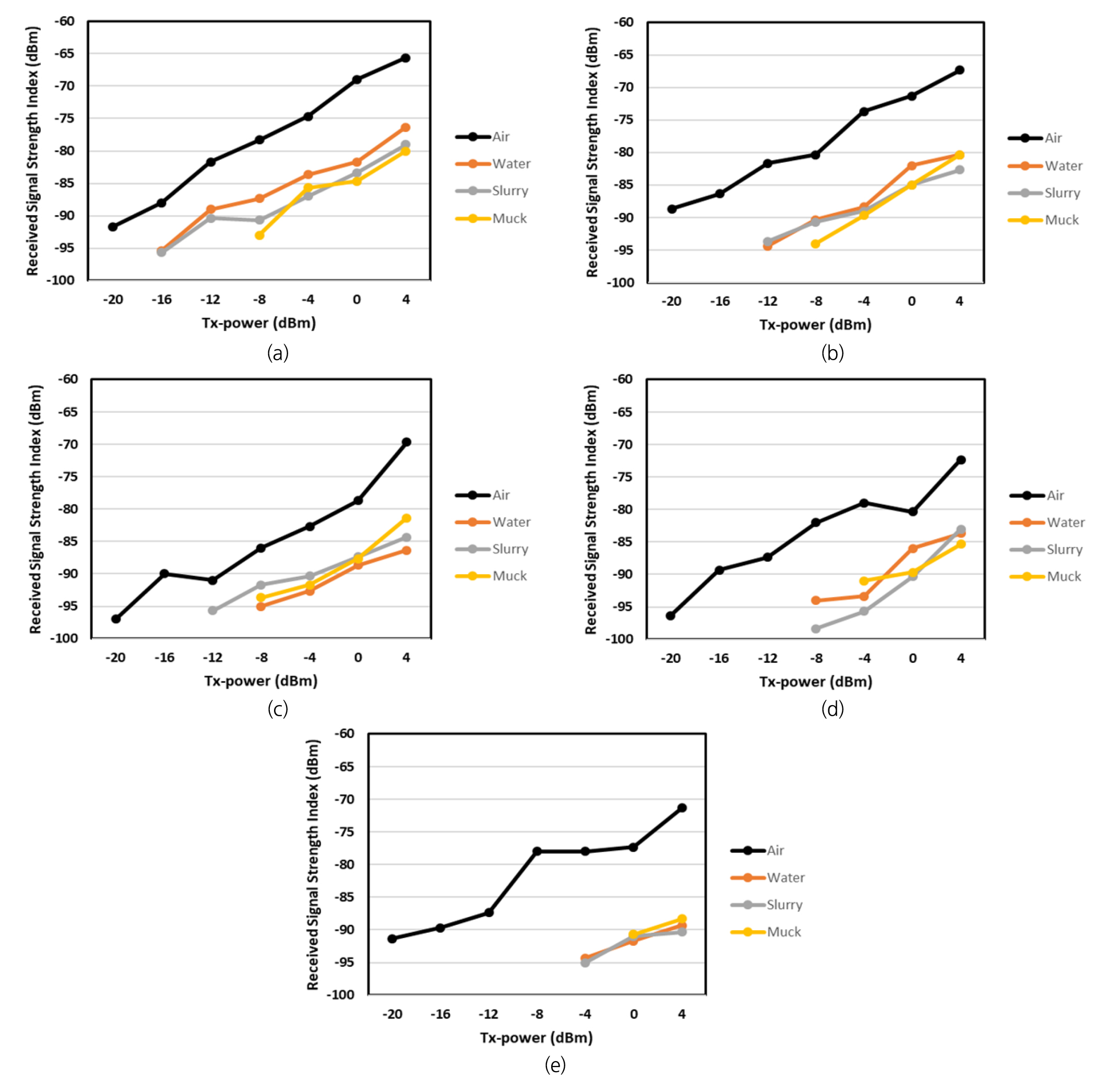
4.1 챔버에 공기가 있을 때 이격거리에 따른 BLE 신호 수신 강도 특성
챔버에 공기만 존재할 경우를 가정하여 모사 실험을 수행한 결과는 Fig. 5와 같다. 공기만 존재할 때는 송신기의 모든 신호강도 조건과 송신기와 수신기의 모든 이격거리 조건에서 BLE 신호의 RSSI 값을 측정할 수 있었다. 송신기의 신호 강도가 강해질수록 수신기의 RSSI 값이 대체로 커지는 것을 확인할 수 있다. 실험결과에서 이격거리와 RSSI 값 간에 명확한 반비례 관계를 보이지는 않았으나, 0.5 m와 1.0 m 이격거리 조건에서 상대적으로 RSSI 값이 크게 측정되었다.
4.2 챔버에 물이 있을 때 이격거리에 따른 BLE 신호 수신 강도 특성
Fig. 6은 챔버에 지하수(물)이 존재하는 경우를 가정하여 모사 실험을 수행한 결과를 보여준다. 송신기와 수신기의 이격거리에 따라 BLE 신호의 RSSI 값의 측정이 가능한 송신기의 최소 신호 강도 조건이 달랐다. 송신기와 수신기가 0.5 m 떨어진 거리에서는 송신기의 신호 강도를 –16 dBm 이상으로 설정할 때 BLE 신호의 RSSI 값의 측정이 가능했으나, 1.8 m 떨어진 거리에서는 송신기의 신호 강도를 –4 dBm 이상으로 설정해야 수신기에서 RSSI 값의 측정이 가능했다. 챔버에 물만 존재할 때는 송신기의 신호 강도를 최대로 설정할 경우 문제없이 챔버를 통과하여 데이터의 무선 전송이 가능함을 확인할 수 있었다.
4.3 챔버에 흙탕물이 있을 때 이격거리에 따른 BLE 신호 수신 강도 특성
챔버에 흙탕물이 유입되었을 때를 가정하여 모사 실험을 수행한 결과는 Fig. 7과 같다. 챔버 안에 물이 있을 때와 유사하게 송신기와 수신기의 거리에 따라 무선 전송이 가능한 송신기의 최소 신호 강도 조건이 달라졌다. 대체로 이격거리가 커질수록 최소 신호 강도를 높게 설정해야 챔버를 통과하여 무선 전송이 가능함을 확인할 수 있었다. 송신기의 신호 강도를 –4 dBm 이상으로 설정하면 1.8 m 떨어진 거리에서 수신기에서 RSSI 값의 측정이 가능했다.
4.4 챔버에 버럭이 있을 때 이격거리에 따른 BLE 신호 수신 강도 특성
Fig. 8은 챔버에 버럭이 존재하는 경우를 가정하여 모사 실험을 수행한 결과를 보여준다. 앞서 공기, 물, 흙탕물이 챔버에 존재할 때와는 다른 BLE 신호 수신 강도 특성을 보였다. 송신기의 신호 강도를 –8 dBm 미만으로 설정할 때는 가장 작은 이격거리 조건(0.5 m)에서도 RSSI 값을 측정할 수 없었다. 1.8 m 떨어진 거리에서 버럭으로 채워진 챔버를 통과하여 BLE 신호가 전달되기 위해서는 송신기의 신호 강도를 최소 0 dBm으로 설정해야 함을 확인할 수 있었다.
5. 토 의
실험실 모사 실험결과를 송신기와 수신기의 이격거리 조건에 따라 정리한 후 도시한 결과는 Fig. 9와 같다. 이격거리 조건 0.5 m, 1.0 m, 1.3 m에서는 송신기의 신호 강도를 –8 dBm 이상으로 설정하면 챔버의 모든 상태(air, water, slurry, muck)에서 데이터의 무선 전송이 가능함을 알 수 있다. 이격거리가 1.5 m와 1.8 m일 때는 송신기의 신호 강도를 각각 –4 dBm과 0 dBm 이상으로 설정해야 챔버의 모든 상태 조건에서 BLE 무선통신이 가능했다. 챔버 안에 공기만 존재할 때는 이격거리에 따라 BLE 신호의 수신 강도 특성이 큰 차이를 보이지 않았으나, 챔버 안에 물, 흙탕물, 버럭이 존재할 때는 이격거리가 증가할수록 RSSI 값이 작아지는 패턴을 보였다. 특히, 1.8 m 이격거리 조건에서는 챔버 안에 물, 흙탕물, 버럭이 존재할 때 RSSI 값이 작아져 챔버 안의 물질의 종류와 관계없이 유사한 값을 나타냈다. 본 연구에서 수행한 모사 실험은 최대 1.8 m의 이격거리 조건을 고려했다. 따라서 1.8 m 이격거리 이상의 조건에서는 데이터의 무선 전송 가능성을 확인할 수 없는 한계가 있다.
6. 결 론
본 연구에서는 TBM의 챔버를 모사한 실험 환경 조건에서 저전력 블루투스(Bluetooth Low Energy, BLE) 기술을 이용한 무선통신을 수행할 때 송신기의 신호강도, 송신기와 수신기 사이의 거리, 챔버에 채워진 물질의 종류(공기, 물, 흙탕물, 버럭)에 따라 변화하는 수신기의 신호 수신 강도(Received Signal Strength Index, RSSI)의 특성을 분석하였다. 실험실 모사 실험결과 TBM 커터헤드에 설치된 센서로부터 챔버 후방에 설치된 수신기로 데이터를 무선 전송할 때 BLE 기술의 활용 가능성을 확인할 수 있었다. 모사 실험 환경에서는 송신기의 신호강도를 0 dBm 이상으로 설정하면 실험에서 고려한 모든 이격거리 조건과 챔버의 상태 조건에서 데이터를 무선전송할 수 있었다. 송신기와 수신기의 이격거리가 커질수록 수신기의 RSSI 값은 작아졌다. 또한, 챔버 안에 공기만 존재할 때보다 물, 흙탕물, 버럭이 있을 때 수신기의 RSSI가 작아짐을 확인할 수 있었다. 향후 연구로서 실험실 모사 실험을 통해 와이파이, 지그비 등 다른 근거리 무선통신 기술의 활용 가능성도 추가 검토할 계획이며, 데이터가 축적되면 입출력 인자의 통계분석(유의성 분석, 인자별 상관관계 분석, 기여도 분석 등)도 수행할 것이다. 또한, 본 연구에서 수행한 모사 실험의 최대 1.8 m의 이격거리 조건은 실제 중대형 TBM을 고려할 때 거리가 짧을 수 있어, 이격거리 조건을 확대한 실험도 필요할 것이다.










