1. 서론
2. 연구내용
3. 연구지역의 지질특성
4. 결과
4.1 현장조사 결과
4.2 실내시험 결과
4.3 암반분류(RMR) 평가 결과
4.4 결과 요약
5. 결과 비교
5.1 암편 탄성파 속도와 물성 및 현장 탄성파 속도 비교
5.2 탄성파 속도와 암반분류 인자 비교
5.3 조사를 통해 획득된 탄성파 속도와 표준품셈의 비교
6. 토의 및 결론
1. 서론
탄성파는 매질에 운동에너지가 가해졌을 때 입자가 진동 혹은 운동하면서 에너지가 전달되는 파동을 의미한다. 탄성파 속도는 매질 조직의 치밀성과 관련되어 있으므로 토사의 경우 상대밀도, 간극비, 공극률, 암반의 경우 풍화, 파쇄정도 및 절리특성(거칠기, 충전물등)등과 관련되어 있다(Barton, 1995; 차민수 외, 2005). 이러한 탄성파의 특성으로 탄성파 속도를 이용한 지층분류와 정량적인 굴착난이도(rippability)의 판정에 대하여 여러 연구가 진행되었다(Heiland, 1968; Atkinson, 1971; Smith, 1986). 국내에서도 탄성파 탐사를 포함한 물리탐사 기법들이 1990년대 후반에 본격적으로 도로나 터널공사 등의 지반조사 시 암분류 및 암반평가에 이용되기 시작하였다(권병두, 2006).
암반분류법은 암반의 거동에 큰 영향을 미치는 몇 개의 변수들만 평가하여 역학적으로 유사한 거동을 보일 것으로 예상되는 몇 개의 그룹으로 분류하여 단순화시킴으로써 현장 적용성을 높이려는 목적으로 개발되었다. 많은 연구자들에 의해 다양한 암반분류법이 개발, 제안되었으나 현재 전 세계적으로 가장 널리 사용되는 암반분류법은 Bieniawski (1973)가 제안한 RMR과 Barton et al. (1974)이 제안한 Q-system이다.
암반분류와 탄성파 속도의 관계에 대하여 Barton (1991)이 Q값과 탄성파 속도 사이의 회귀식을 제안한바 있으며, 국내에서도 토목현장에서 수행된 자료를 이용하여 공학적 특성 및 암반분류의 상관관계에 대한 연구(Kim and Kim, 2006; 천대성 외, 2008; Sunwoo et al., 2011; Kim et al., 2012)와 탄성파 속도를 이용한 암석물성과 암반분류의 상관관계에 대한 연구(Sunwoo et al., 2001; Koo et al., 2002; 고광범 외, 2005; Lee et al., 2011; Baek et al., 2008)가 많이 진행되어 왔다. 특히 선우춘 외(2001)의 경우 현장에서 음파검층으로 획득한 탄성파 P파속도와 RMR, RQD 및 RMR 분류법의 불연속면 상태 요소의 관계를 살펴보고, 탄성파 속도와 RMR이 양호한 상관관계가 있음을 확인하여 탄성파 속도와 RMR간의 관계식을 제시하기도 하였다.
위와 같은 연구에 근거하여 국내 건설 현장에서는 탄성파 속도를 이용하여 지층을 평가하는 품셈이 널리 이용된다. Lee and Park (2017)과 이강녕(2017)은 국내 토목현장과 실내암석실험에서 측정된 탄성파 속도와 품셈을 기준으로 한 지층 분류와 시추 조사에 근거한 지층분류가 많은 차이가 있음을 확인하였으며, 그 원인을 단단한 하부지반의 영향과 암석시료 선별문제에 의한 것으로 설명하였다.
이 연구에서는 시추조사로 회수된 암석코어로부터 얻은 암반분류 결과(기본 RMR, RMRbasic)와 암석코어에 대한 암석물성 결과를 동일 위치, 동일 심도에서 물리탐사를 통해 획득된 탄성파 속도를 비교하였다. 그 목적은 암반분류 결과와 암반분류 시의 여러 인자들이 탄성파 속도에 영향을 주는가를 확인하여, 탄성파 속도를 이용한 암반분류의 타당성을 살펴보기 위함이다.
2. 연구내용
지층확인 및 암반평가를 위해 회전수세식 굴진방식으로 NX규격의 시추공 3공을 시추하였으며, 각 시추공당 암반을 20 m 이상 확인하여 충분한 수량의 자료가 획득될 수 있도록 하였다. 물리탐사는 시추공을 활용한 하향식 탄성파 탐사와 지표물리탐사인 굴절법 탄성파 탐사를 수행하여 암반의 현장 탄성파 속도를 산출하였다. 그리고 시추공 영상촬영으로 불연속면의 상태(틈새, 충전물)를 확인하였다. 시추를 통해 회수된 암석코어를 이용하여 한국암반공학회의 제안규격(2010)에 따라 암석의 탄성파 속도, 일축압축강도, 탄성계수, 포아송비 측정을 위한 실내암석시험을 실시하였다. 특히 암편 탄성파 속도의 경우 현장 탄성파 속도 및 암반분류 주요 인자와 비교하기 위하여 시추공 모두에서 1 m 간격으로 선별하여 측정하였다. 물성시험과 일축압축강도시험을 위한 암석시료의 선별은 탄성파 속도 측정 시험을 위한 시료 중 길이가 10 cm 이상인 사용하였다. 그리고 암반분류에서 필요한 암석강도를 측정하기 위해 점하중 강도 시험을 1 m 간격으로 실시하였다. 연구지역에서 수행한 조사위치는 Fig. 1과 같으며, 조사항목 및 내용은 Table 1에 정리하였다.
3. 연구지역의 지질특성
연구지역은 기반암이 얕은 심도에서 출현하고 심도가 깊어질수록 점이적으로 기반암의 풍화상태 또는 강도가 변화할 것으로 예상되는 지역으로 계획하였으며, 최종적으로 결정된 연구 지역은 강원도 철원군 김화읍이다. 철원군 김화읍 일원은 중생대 쥬라기 흑운모화강암과 백악기 명성산화강암이 기반암으로 분포하고 있으며, 선정된 연구지역에는 명성산화강암이 분포한다. 명성산화강암은 조립질의 입도 분포와 뚜렷한 홍색을 보이는 화강암으로서 간혹 페그마타이트질부가 포켓상으로 수반되어 나타나며, 구성광물은 석영, 사장석, 알칼리장석, 흑운모, 녹니석, 저어콘, 불투명광물 등이다(한국지질자원연구원, 2007). 연구지역 주변에는 남북 방향의 주향이동성 단층인 왕숙천단층이 약 400 m 떨어져 발달하고 있으며, 단층작용 시기는 백악기 화강암의 관입 이후이다(Fig. 1).
4. 결과
4.1 현장조사 결과
시추조사는 Fig. 1과 Fig. 2에서와 같이 65 m와 35 m 이격하여 3공을 시추하였다. 시추결과 연암은 심도 6.1~15.1 m에서 출현하여 3.5~7.9 m의 두께로 분포하고 있으며, 보통암 이상은 심도 9.6~23.0 m에서 출현하고 있는 것으로 나타났다. 기반암이 BH-1 시추공에서 다른 시추공에 비해 깊은 심도에서 나타나는 것은 BH-1이 북북동~남남서 방향의 계곡에 위치한 것과 관련된 것으로 판단된다. 모든 시추공에서 시추 코어 회수율(TCR)은 대부분 100%로 나타났으나 일부에서 90%를 보이기도 하였다. 암질지수(RQD)는 연암에서 0~100%로 나타났으며, 보통암과 경암구간에서는 50~100 %의 값을 보였다(Fig. 2). 회수된 코어상에서는 대규모의 단층 및 파쇄대는 확인되지 않았으나, 부분적으로 차별풍화가 심한 구간이 관찰되었다.
굴절법 탄성파 탐사는 14 Hz의 중심주파수를 갖는 24채널의 수진기를 이용하여 지표에 5.0 m 간격으로 총 연장 125 m의 측선을 설정한 후 5 kg 해머를 탄성파 송신원으로 사용하여 자료를 취득하였다. 자료취득 시 트레이스의 샘플링 간격은 0.125 ms, 샘플링 개수는 4,096개이며, 총 기록시간은 0.512초까지 자료를 기록하였다. Fig. 3의 점선은 시추가 이루어진 지점에서 수직적인 탄성파 속도 값의 분포를 나타낸 것으로 굴절법 탄성파 탐사 결과 단면에서 각 시추위치의 심도별 탄성파 속도 값을 추출한 후 이를 도시한 것이다. 굴절법 탄성파 탐사 결과 심도가 증가함에 따라 속도가 증가하는 일반적인 양상을 보이고 있고, 저속도대, 공동 등과 같은 이상대는 나타나지 않았다. 연암 출현심도에서의 탄성파 속도는 1,600~1,700 m/s 이며, 보통암에서 경암이 출현하는 심도에서 탄성파 속도는 2,560~2,750 m/s 로 나타났다(Fig. 3).
하향식 탄성파 탐사는 지표에서 해머를 이용하여 탄성파를 발생시키고 심도 1 m 마다 수진기를 위치시키며 자료를 기록하였다. 3성분 수진기의 중심주파수는 15 Hz 이며, 자료취득 시 트레이스의 샘플링 간격은 0.125 ms, 샘플링 개수는 2,048개이며, 총 기록시간은 0.256초 이었다. 조사결과 지층의 구간별 평균 탄성파 속도는 토사층(매립, 퇴적)의 경우 708~965 m/s, 풍화토층 674~ 1,407 m/s, 풍화암 890~1,868 m/s, 연암 1,507~2,423 m/s, 보통암과 경암 3,474~3,902 m/s으로 나타났다(Fig. 3).
굴절법 탄성파 속도를 하향식 탄성파 속도와 함께 도시하면 Fig. 3과 같다. Fig. 3(a)에서는 굴절법 탄성파 속도가 하향식 탄성파 속도보다 빠르며, 속도 증가 비율도 거의 일정하게 나타났다. Fig. 3(b)의 경우 처음에는 두 탄성파 속도가 비슷하다가 약 13 m 이후에는 일정한 속도 증가 비율로 나타났다. Fig. 3(c)에서는 Fig. 3(b)와 유사하게 나타나지만, 약 13 m 이전 구간에서 하향식 탄성파 속도가 굴절법 탄성파 속도보다 빠르게 나타났다.
4.2 실내시험 결과
실내암석시험으로 탄성파 속도(P파, S파), 일축압축강도, 탄성계수, 포아송비, 점하중 강도지수를 측정하였다. BH-1의 암편 P파속도는 2,610~4,370 m/s (평균 3,568 m/s), 일축압축강도는 15~125 MPa (평균 62 MPa), 점하중 강도지수는 0.4~5.1 (평균 2.2)로 나타났다. BH-2의 암편 P파속도는 2,320~4,820 m/s (평균 3,652 m/s), 일축압축강도는 28~146 MPa (평균 69 MPa), 점하중 강도지수는 0.4~9.9 (평균 3.9)로 나타났다. BH-3의 암편 P파속도는 2,930~4,280 m/s (평균 3,860 m/s), 일축압축강도는 52~ 99 MPa (평균 72 MPa), 점하중 강도지수는 1.0~8.7 (평균 3.9)로 나타났다.
이 연구에서 암반분류에 사용된 일축압축강도는 동일지점의 일축압축강도 시험결과와 점하중 시험 결과를 회귀분석하여 도출된 회귀식을 이용하여 점하중 강도지수(Is(50))으로 산정하였다. 이 연구에서 도출된 회귀식은 일반적으로 알려져 있는 일축압축강도와 점하중 강도지수(Is(50))의 관계인 24×Is(50)와 유사하였다(Fig. 4).
시추코어에서 측정된 심도별 일축압축강도값과 P파 속도는 Fig. 5와 Fig. 6과 같다. Fig. 5에서 BH-3이 다른 시추공에 비해서 심도 증가와 함께 일축압축강도가 증가하는 경향을 보이고 있으나 대부분 심도의 증가와 일축압축강도의 관계가 나타나지 않고 있다. 이는 심도의 증가보다는 풍화 또는 미세절리가 일축압축강도에 영향을 주기 때문으로 판단된다. P파 속도는 심도가 증가함에 따라서 조금씩 증가하는 경향을 보이고 있다(Fig. 6).
4.3 암반분류(RMR) 평가 결과
시추코어에 대한 RMR 값은 회수된 기반암 시추코어에 대해서 1 m 간격으로 일축압축강도, RQD, 절리간격, 불연속면 상태, 지하수 상태 등의 5가지 항목을 평가하여 산정하였으며, 구조물의 종류와 불연속면의 방향에 따른 보정을 거치지 않은 기본 RMR을 적용하였다. 평가 결과 연암의 RMR값은 27~70의 범위를 보이고 보통암 이상에서는 41~91의 범위로 나타났다(Table 2). Table 2의 내용 중 괄호안의 수치는 평균값을 의미한다.
4.4 결과 요약
연구지역에서 수행된 3개의 시추공에서 확인된 RQD, 절리간격, 일축압축강도, 암편 P파속도, 현장 P파속도, RMR 점수 등을 심도별로 도시하였다(Fig. 7). 코어에서 확인된 RQD는 심도가 증가할 때 대체적으로 같이 증가하고 있으며, 절리간격도 함께 증가하는 경향이 나타났다(Fig. 7 (a-1)~(a-2), (b-1)~(b-2), (c-1)~(c-2)).
일축압축강도는 BH-3 시추공에서만 심도와 함께 증가하는 경향이 나타났지만, BH-1, BH-2 시추공에서는 심도와 함께 증가하는 경향이 나타나지 않았다(Fig. 7 (a-3), (b-3), (c-3)). 하지만 암편 P파속도는 대부분 심도와 함께 속도가 빨라지는 경향이 있는 것으로 나타났으며(Fig. 7 (a-4), (b-4), (c-4)), 전반적으로 심도에 따라 증가하는 현장 P파속도와 유사한 경향을 보인다. 일축압축강도가 증가하거나 감소하면 암편 P파속도도 함께 증가하거나 감소하는 경향이 나타나는 것으로 확인되어 일축압축강도와 암편 P파속도는 서로 관련이 있는 것으로 생각된다. 그리고 하향식 탄성파 탐사를 통한 현장 P파속도는 심도에 따라 단조 증가하는 경향이 있다(Fig. 7 (a-5), (b-5), (c-5)).
시추공의 심도에 따른 RMR 분포는 BH-1 시추공의 경우 약 23 m부터 RMR이 높게 나타나는 경향을 보이며(Fig. 7 (a-6)), BH-2, BH-3 시추공은 심도가 증가하면서 RMR도 함께 증가하는 경향을 보이고 있다(Fig. 7 (b-6), (c-6)).
5. 결과 비교
5.1 암편 탄성파 속도와 물성 및 현장 탄성파 속도 비교
암편 탄성파 속도와 물성(탄성계수, 포아송비)의 비교와 하향식 탄성파 탐사 결과에 의한 현장 탄성파 속도와 암편 탄성파 속도의 상관관계를 살펴보았다(Fig. 8, Fig. 9).
Fig. 8에서 암편 탄성파 속도는 탄성계수와는 양의 상관관계를, 포아송비와는 음의 상관관계를 보이고 있으며, 심도와는 상관이 없는 것으로 나타났다. Fig. 9는 탄성파(P파) 속도에 대하여 동일한 심도에서 현장 탄성파 속도와 암편 탄성파 속도를 비교한 그래프이며, 전체적으로 분산이 크게 나타나는 것을 알 수 있다. 이러한 이유는 현장 탄성파 속도가 연속적인 지반상태를 반영하였다면, 암편 탄성파 속도는 시험편 시료의 국부적인 지반상태를 반영하였기 때문인 것으로 판단된다.
5.2 탄성파 속도와 암반분류 인자 비교
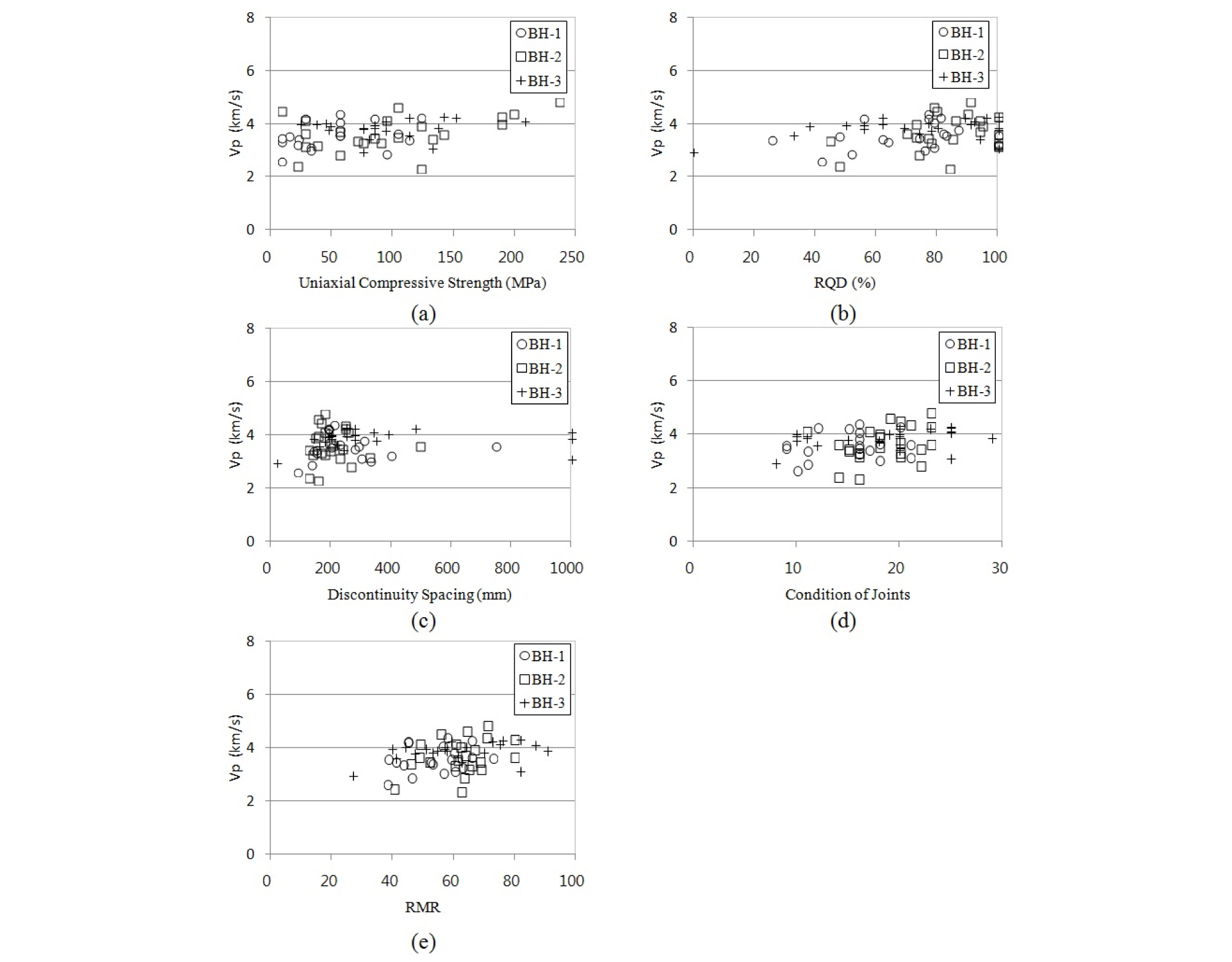
현장에서 얻은 현장 탄성파 속도와 RMR 분류법에서 사용된 요소들과의 관계를 파악하기 위하여 상관분석을 수행하였다(Fig. 10). 상관분석에 사용된 현장 탄성파 속도는 하향식 탄성파 탐사로부터 산출된 값이다.
현장 탄성파 속도는 불연속면과 관련있는 RQD, 절리간격 및 절리상태 등의 인자와 상대적으로 높은 결정계수를 보이고 있으며, 이러한 불연속면과의 관련성은 차민수 외(2005)의 연구 결과와 일치한다. 따라서 불연속면과 관련있는 인자들을 포함하고 있는 RMR은 상대적으로 더 높은 상관관계를 보이고 있다(Table 3).
RMR 인자 중 일축압축강도는 현장 탄성파 속도보다 실내 탄성파 속도의 결정계수가 상대적으로 높게 나타난다. 그러나 암석시험을 위한 시험편이 RMR 평가 구간의 일부로 전체구간을 대표하지 않는 경우가 많으므로 이러한 결정계수에 대한 해석은 무리가 있다.
5.3 조사를 통해 획득된 탄성파 속도와 표준품셈의 비교
연구지역에서의 연암과 보통암의 경계면 탄성파 속도를 건설표준품셈 기준(1.9 km/s)과 한국엔지니어링협회의 지반조사표준품셈 기준(2.5 km/s)에 적용하여 연암과 보통암으로 예상되는 심도를 추정하였다(Table 4). 지반조사표준품셈을 기준으로 BH-2와 BH-3 시추공에서는 굴절법 탄성파 탐사(차이: 각각 0.4 m, -1.5 m)와 하향식 탄성파 탐사(차이: 각각 1.4 m, -3.5 m)에서 큰 차이를 보이지 않았으나, BH-1 시추공에서는 9.5 m(굴절법 탄성파 탐사)와 20 m(하향식 탄성파 탐사)로 실제 심도(23 m)에 대해 하향식 탄성파 탐사보다는 굴절법 탄성파 탐사에서 많은 차이를 보였다. 또한 건설공사 표준품셈 기준에서도 BH-1 시추공이 BH-2, BH-3 시추공보다 굴절법 탄성파 탐사 결과에서 더 많은 차이를 보였다.
테스트 베드에서 토사의 두께가 얇은 경우에는 두 탐사 방법의 탄성파 속도에 근거한 품셈상의 연암-보통암 경계 심도와 시추조사에 근거한 연암-보통암 경계 심도가 비교적 잘 일치한다. 하지만 토사의 두께가 두꺼울 경우에는 두 탐사 결과의 차이가 크며, 시추조사와 품셈상의 연암-보통암 경계 심도가 다르게 나타난다. 즉, 굴절법 탐사에 의한 탄성파 속도가 빠르게 나타나는 경향으로 인하여 연암-보통암의 경계면이 실체보다 상부에 나타나게 된다. 이와 같은 경향은 Lee and Park (2017)의 연구에서도 유사하게 관찰되고 있다.
6. 토의 및 결론
Fig. 3에서 굴절법 탄성파 탐사와 하향식 탄성파 탐사 결과를 살펴보면 (a)와 (b), (c)는 다른 양상을 보이고 있다. (a)의 경우 낮은 심도부터 두 탐사 결과의 탄성파 속도 차이가 나타나고 있으며, (b)와 (c)의 경우에는 일정심도까지는 속도가 유사한 값을 보이다 차이가 커지고 있다. 이렇게 굴절법 탐사의 탄성파 속도가 빠르게 나타나는 이유는 Fig. 11에서와 같이 송신점에서 수진기까지의 탄성파 전파경로에 차이가 있기 때문이다. 굴절법 탐사에서 송신점과 멀리 떨어져 있는 수진기의 경우 탄성파 속도가 빠른 하부층을 통과한 탄성파의 영향을 받아 빠르게 나타나는 경향이 있다. 이러한 이유로 (a)의 경우는 탐사 측선의 끝에 위치(Fig. 1)하고, 토사의 심도도 깊은 위치에 있기 때문에 큰 속도 차이가 나는 것으로 사료된다. 반면에 (b)와 (c) 천부 구간에서의 경우 굴절법 탐사의 탄성파가 전달된 매질과 하향식 탐사에서의 탄성파가 전파한 매질의 차이가 거의 없기 때문에 유사하게 나타난다. 그러나 심부로 갈 경우 두 탐사 방법의 탄성파 전파 매질이 달라지기 시작하여 속도 차이가 나타난다.
특정 구간의 탄성파 속도가 급격히 변화한다하더라도 하향식 탄성파 탐사의 탄성파 속도는 상부지층을 통과한 속도 또한 포함되기 때문에 완만히 증가하는 양상으로 나타난다. 하지만 현장 탄성파 속도의 양상과는 다르게 RQD, 절리간격, 일축압축강도, 암편 탄성파 속도, RMR 등의 변화량(최대값/최소값)이 250 %에 달하는 급격한 변화를 보인다(Fig. 7). 따라서 동일 심도에서의 RMR값 및 RMR의 평가인자들과 하향식 탄성파 탐사의 탄성파 속도와의 직접적인 비교를 통해 유의미한 결론을 얻기는 어렵다. 그럼에도 현장 하향식 탄성파 탐사의 탄성파 속도 변화와 유사한 변화를 나타내는 인자는 RQD이며, 그 다음으로 암편 탄성파 속도이다. 일축압축강도와 RMR은 약한 상관관계를 보인다.
탄성파의 속도(Vp)는 탄성파가 통과하는 매질의 탄성계수(E), 밀도(ρ), 포아송비(υ)의 영향을 받으며 식 (1)과 같이 나타낼 수 있다.
(1)
일반적으로 풍화가 진행되면서 탄성계수와 밀도는 감소하고 포아송비는 증가하는데, 식 (1)을 이용하여 풍화가 진행됨에 따라 탄성계수, 밀도, 포아송비가 변화함에 따라 탄성파 속도가 변하는 양상을 유추할 수 있다. 다만, 탄성계수, 밀도, 포아송비는 풍화진행에 따라 함께 변화하지만 이를 고려하는 것은 어려우므로 하나의 변수만 변한다고 가정하고 탄성파 속도 변화 추이를 살펴볼 수는 있다(Fig. 12). 이러한 종류의 그래프 해석은 주의를 요하는데, 그 이유는 Fig. 8 (b)에서 관찰되는 포아송비의 증가가 탄성파 속도의 감소를 나타내는 것처럼 보이지만, 실제로는 탄성계수가 탄성파 속도의 더 큰 감소를 일으킬 수 있기 때문이다.
탄성파 속도와 RMR 인자(일축압축강도, RQD, 절리간격, 절리상태)중에서 RQD와 상관관계가 상대적으로 가장 좋은 것으로 나타난 이유는 RQD 값이 불연속면의 간격 혹은 빈도와 많이 관련되어 있으므로 불연속면에 영향을 받는 탄성파 속도와 상관관계가 높은 것으로 생각된다.
심도를 고려하여 탄성파 속도와 RMR, RMR 인자들의 변화 양상을 분석할 경우 탄성파 속도는 RMR 인자 및 RMR과 각 측정 지점에서 직접적으로 대비되지 않음이 확인되었다(Fig. 7). 하향식 탄성파 탐사의 경우 탐사를 통해 산출된 구간속도는 측정지점에서의 탄성파 속도뿐만 아니라 탄성파가 통과한 저속도의 상부 토사구간의 속도를 반영한다. 굴절법 탄성파 탐사의 경우 송신원과 거리가 멀수록 하부의 속도가 빠른 암반의 영향을 받아 탄성파 속도가 빨라지게 되는 경향이 있다. 그럼에도 불구하고 탄성파 속도가 암질 상태(또는 RMR) 파악을 위해 이용되는데, 그 이유는 심도가 증가함에 따라 암질이 좋아지게 되어 탄성파 속도가 RMR과 같이 증가하기 때문인 것으로 생각되며, 탄성파의 속도 증가 패턴이 암질상태에 영향을 받기 때문인 것으로 해석된다.
시추조사를 통해 확인된 연암-보통암 경계면의 탄성파 속도는 품셈의 기준보다 빠르게 나타난다. 이러한 결과는 탄성파의 전파 특성에 기인하는 것으로 여길 수 있다. 즉, 지표상의 어느 지점에서 발생된 탄성파 에너지는 상대적 속도가 느린 층에서 전파되는 직접파와 상대적으로 속도가 빠른 하부지반으로 투과되어 지표로 되돌아오는 굴절파의 효과가 있기 때문이다. Lee and Park (2017)은 이러한 탄성파의 특성을 현장 탄성파 속도와 기준품셈의 차이를 설명하는 한 가지 이유로 들었다. 그리고 이러한 문제점이 있음에도 현장 적용이 용이하고 비용이 적게 들기 때문에 현장에서 탄성파 탐사가 널리 이용된다(Atkinson, 1971; Smith, 1986; Baton, 1991; 권병두, 2006).
이 연구에서는 현장 및 실내 측정 탄성파 속도를 암반 분류 결과 그리고 암반 분류 시의 인자들과 비교를 시도하였으며, 이러한 비교를 통하여 얻어진 결론은 다음과 같다.
하부지층의 속도영향을 덜 받는 하향식 탄성파 탐사결과와 시추결과를 비교하였을 때, 탄성파 속도는 심도가 증가함에 따라 큰 편차 없이 단조 증가하는 양상을 보이지만, RQD, 절리간격, 일축압축강도(UCS), 암편 탄성파속도, RMR은 그 변화량의 폭이 매우 크다. 즉, 동일한 위치의 같은 심도에서 상관성은 없다.
연구지역의 모든 자료를 도표화한 경우 하향식 탄성파 탐사로 구한 탄성파 속도(Vp)와 상대적으로 상관성이 높은 암반 분류 인자는 RQD이며, 그 다음으로 암편으로부터 측정된 탄성파 속도이다. 이는 탄성파가 통과하는 구간의 절리를 구성하는 물질과 무결암의 탄성파 속도가 반영된 것으로 해석된다. RMR과 RMR 인자인 RQD는 탄성파 속도와 상대적으로 상관성이 있는 것으로 관찰되었다.
위의 첫 번째 결론과 같은 문제로 굴절법 탄성파 탐사 결과의 Vp를 이용하여 직접적으로 RQD, 절리간격, 일축압축강도(UCS), 암편 탄성파속도, RMR을 유추함은 불가능한 것으로 여겨진다. 하지만 여러 문제가 내포된 굴절법 탐사 또한 이 방법이 시추조사 없이 지층평가를 할 수 있는 방법이므로 굴절법 탐사가 여전히 유용한 방법이라고 할 수 있다. 단, 이 연구에서 토의된 대로 탐사 결과를 기준(품셈)에 적용하여 암반평가를 할 경우에는 많은 주의가 필요하고, 탐사 방법상의 문제를 최소화하기 위한 체계적인 탐사방법의 정립(측선배열, 측점간격, 송신원 등) 또한 필요하다고 판단된다.
표준품셈 기준에서 현장 탄성파 속도를 이용한 지층구분은 시추조사로 평가한 연암-보통암 이상의 경계보다 상부에 위치하는 경향이 있기 때문에 우리나라의 지반특성을 반영한 표준품셈 기준의 연암-보통암 경계면의 탄성파 속도기준을 재검토할 필요가 있음을 시사한다.



















