1. 서 론
TBM의 굴진속도(advance rate)는 디스크 커터의 관입 깊이(penetration)와 커터헤드의 분당 회전수에 의한 관입율(penetration rate)과 가동율(utilization)에 의해서 결정된다. TBM 가동율은 전체 TBM 작업시간에 대하여 TBM 장비가 순수하게 굴진작업만 수행한 시간의 비로, 일반적으로 백분율(%)값으로 표시된다. TBM 가동율은 TBM 장비의 종류, 운영, 유지보수, 지질 조건, 시공자의 경험 등에 영향을 받는다. 지반 조건이 불리한 경우 지보재 설치, 지반 보강, 디스크 커터 교체, 지하수 배수 등의 작업에 의한 다운타임(downtime)에 의해 TBM 가동율이 낮아지게 된다. 가동율에 영향을 주는 요소들이 대부분 정량적인 것이 아니고 정성적이기 때문에 정확한 값을 추정하기가 어렵다. 많은 경우에 유사한 조건에서 수행한 이전의 프로젝트 경험에 의한 가동율을 참조하여 사용하게 된다.
현재 사용되고 있는 대부분의 TBM 성능 예측 모델은 관입율 예측에 한정되어 있다. 여러 연구자들에 의해 TBM 성능 예측 모델들이 제안되었는데, 이를 크게 나누어 보면 개별 디스크 커터의 작용력을 기반으로 하는 이론적인 방법과 실제 TBM 현장들의 사례를 기반으로 하는 경험적인 방법으로 나눌 수 있다. 이론적 방법의 대표는 미국 Colorado School of Mines의 CSM 모델(Rostami, 1997)을 들 수 있다. 경험적 방법의 대표는 노르웨이 Norwegian University of Science and Technology의 NTNU 모델(Bruland, 2000)을 들 수 있다. 국내에서도 Jeong et al.(2011)이 선형절삭시험을 이용한 굴진율 산정에 대한 연구를 수행하였으며, Jeong et al.(2012)은 압입시험을 이용한 TBM 굴진성능 예측에 대한 연구를 수행하였다. 일부 성능 예측 모델에서 수식과 그래프를 이용하여 가동율을 추정하는 방법을 제시하기도 하지만, TBM 가동율에 대한 연구는 매우 드문 편이다. CSM과 NTNU 모델에서는 다양한 범주의 TBM 굴착 활동에 연관된 다운타임을 기반으로 한 지연시간을 평가하여 TBM 가동율을 예측하였다. Farrokh(2012)은 다운타임을 구성하는 요소를 개선하여 기존의 CSM 모델보다 더 정확한 TBM 가동율을 예측하는 방법을 제안하였다. Rostami(2016)는 TBM 장비의 종류, 지질 조건, 버력 운송 방법에 따른 TBM 가동율의 개략적인 범위를 제안하였다. Yagiz et al.(2013)은 7개의 서로 다른 터널 현장에서 얻은 자료를 사용하여 RMR값과 TBM 가동율 사이의 관계를 추정하였다. Valle et al.(2016)은 RMR 등급과 TBM 장비의 종류를 이용하여 TBM 가동율을 제시하였다. Frough et al.(2015)은 연장이 16km인 Karaj 수로터널 현장에서 수집한 자료를 이용하여 RMR값과 TBM 가동율 사이의 관계를 제안하였다. 국내에서는 Park et al.(2011)이 국내 TBM 가동율이 25~38% 사이로 나타남을 조사하였다.
본 연구에서는 국내외 118개 TBM 터널 현장자료들로부터 데이터베이스를 구축하여 TBM 가동율의 예측에 관한 연구를 수행하였다. 데이터베이스에는 TBM의 종류, 암종 등의 지반조건, 터널의 직경 및 연장 등의 정보가 포함되어 있으며, 총 231개의 사례를 수집하였다. 이 중에서 119개의 사례는 그리퍼(gripper) TBM이고, 5개의 사례는 싱글 쉴드(single shield, SS) TBM, 35개의 사례는 더블 쉴드(double shield, DS) TBM, 45개의 사례는 토압식(EPB) TBM, 그리고 27개의 사례는 이수식(slurry) TBM이다. TBM의 종류, 암종 등의 지반조건, 터널의 직경 및 연장에 따른 TBM 가동율의 변화 양상을 살펴보았다. 단순 및 다중 회귀분석을 수행하여 여러 요인들에 따른 TBM 가동율 예측 모델을 제안하였다. 또한, TBM 가동율과 RMR(Rock Mass Rating) 및 기타 다른 요인들에 대한 영향을 분석하기 위해 12개 TBM 터널 현장자료들로부터 또 다른 데이터베이스를 구축하여 사용하였다. TBM 가동율, RMR, TBM의 종류, 암종 등의 지반조건, 터널의 직경 및 연장 등의 정보를 포함하고 있으며, 총 130개의 사례를 수집하였다. 이 중에서 107개의 사례는 더블 쉴드 TBM이고, 23개의 사례는 그리퍼 TBM이다. 단순 및 다중 회귀분석을 수행하여 RMR값을 이용한 TBM 가동율 예측 모델을 제안하였다.
2. TBM 가동율 데이터베이스에 대한 통계적 분석
118개 TBM 터널 현장자료들로부터 구축된 데이터베이스는 TBM 가동율, TBM의 종류, 암종 등의 지반조건, 터널의 직경 및 연장 등의 정보를 가지고 있다. Fig. 1에 데이터베이스에 포함된 TBM 가동율, TBM의 종류, 암종 등의 지반조건, 터널의 직경 및 연장 등의 정보에 대한 히스토그램을 나타내었다. 대부분의 사례는 그리퍼 TBM으로 모두 119개의 사례가 수집되었다. 싱글 쉴드 TBM 사례는 5개로 가장 그 수가 적었다. 구축된 데이터베이스에서의 터널 직경(TBM 크기)은1.98 m부터 14.2 m까지 분포하였다. 지하철 터널의 크기인 직경 6.5 m부터 7.5 m사이의 사례가 55개로 가장 많았으며, 그 다음은 3.5 m부터 4.5 m의 사이의 사례로 49개 였다. 터널의 연장의 경우 0.243 km부터 17.96 km까지의 사례가 수집되었다. 터널연장 3 km부터 4 km사이가 34개의 사례로 가장 많았다. 터널연장에 따른 사례의 분포형태는 로그정규분포의 형태를 나타내었다. 암종 등의 지반조건의 경우 퇴적암이 108개의 사례로 가장 많았으며, 토사의 사례가 22개로 가장 적었다. 화성암의 경우는 48개의 사례이었으며, 변성암은 53개의 사례였다. 일반적으로 수집된 데이터베이스의 각각의 요소에 대한 분포는 정규분포나 균등분포가 아닌 한쪽으로 치우쳐진 형태를 보인다.
TBM 가동율은 5.9%부터 70.7%까지의 범위를 가지는 것으로 나타났다. 전체 TBM 장비에 대한 평균 가동율은 32.3%이며 표준편차는 11.4% 로 나타났다. 국내의 사례는 25건으로 평균 가동율은 24.7%이었으며, 해외의 사례는 206건으로 평균 가동율은 33.1%로 국내 평균 가동율보다 높은 것으로 나타났다. 이는 수집된 국내의 사례가 대부분 2010년 이전의 자료이며, 최근의 TBM 현장의 실적이 공개되지 않아서 사례 수가 적은 것에도 연관이 있는 것으로 판단된다.
평균 TBM 가동율의 분포는 Fig. 2와 같으며, 정규 분포의 형태를 가진다. 가동율 30%부터 35% 사이의 경우가 43건으로 가장 많았으며 그 다음은 25%와 30%의 사이로 41건으로 나타났다.
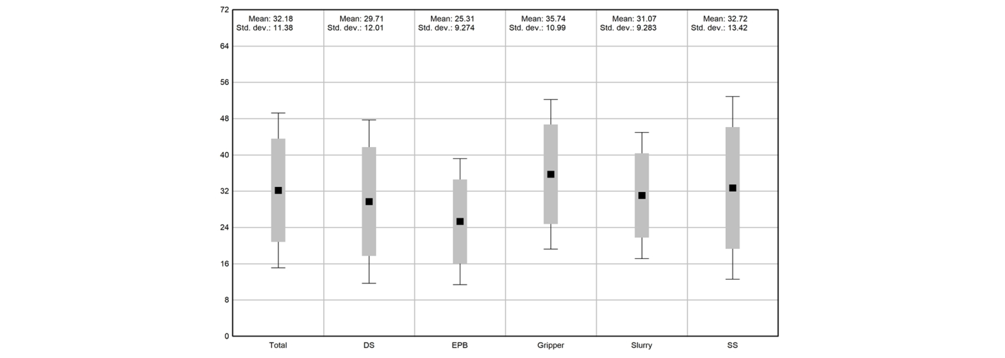
TBM 장비 종류별 가동율은 그리퍼 TBM이 35.7%로 가장 높았으며, 싱글 쉴드 TBM이 32.7%, 이수식 쉴드 TBM이 31.1%, 더블 쉴드 TBM이 29.7%, 토압식 쉴드 TBM이 25.3%로 가장 낮았다(Fig. 3). 가압식 쉴드 TBM인 이수식과 토압식 중 토압식 쉴드 TBM의 가동율이 더 낮은 것은 버력처리 방식에 기인한 것으로 보인다. 사례조사 항목에 버력처리 방법은 포함되지 않았지만, 일반적으로 토압식은 광차를 이용하여 버력을 처리하는 경우가 많기 때문에 파이프를 이용하여 버력을 처리하는 이수식에 비해 더 낮은 가동율을 가지는 것으로 판단된다. TBM 장비 종류별 가동율의 차이가 크지는 않지만, TBM 가동율이 TBM 장비의 종류에 따라 영향을 받는다는 것을 확인할 수 있다.
암종 등의 지반조건에 따른 TBM 가동율의 변화는 Fig. 4와 같다. TBM 가동율은 30.5%부터 33.6%까지 변하였으며, 토사를 포함한 지반조건에 따른 큰 차이는 나타나지 않았다. 암종의 차이는 지반 양호나 불량 등의 정보를 줄 수 없기 때문에 단순한 암종으로는 가동율을 예측하는 데 큰 영향을 미치지 못할 것으로 판단된다.
앞서 잠시 언급한 바와 같이 RMR과 TBM 가동율의 관계를 알아보기 위해 RMR이 포함된 데이터베이스도 별도로 구축하였다. 모두 12개의 TBM 터널현장으로부터 130개의 자료를 획득하였으며, TBM 가동율, RMR, TBM의 종류, 암종 등의 지반조건, 터널의 직경 및 연장 등의 정보를 가지고 있다. Fig. 5에 데이터베이스에 포함된 정보의 히스토그램을 나타내었다. 더블 쉴드 TBM의 사례가 107건으로 가장 많았으며, 그 다음은 그리퍼 TBM으로 23건의 자료를 확보하였다. 가압식 쉴드 TBM인 이수식과 토압식 TBM의 자료는 확보할 수 없었다. 가압식 쉴드 TBM의 경우 챔버가 항상 굴착버력으로 채워져서 막장면에 대한 관측의 어려움에 기인한 것으로 판단된다. 조사된 사례의 터널의 직경은 2.6m부터 11.74m 사이였으며, 터널 직경 5.5m부터 6.5m 사이가 44건으로 가장 많았다. 터널의 연장은 1.14km부터 17.96km 사이였으며, 터널 연장 11km부터 13km 사이가 44건으로 가장 많았다. 암종에 따른 사례는 퇴적암이 75건으로 가장 많았으며, 변성암이 46건, 화성암이 9건으로 가장 적었다.
RMR이 포함된 데이터베이스의 TBM 가동율은 7.0%부터 58.1% 사이로 나타났다. 평균 TBM 가동율은 31.4%, 표준편차 12.9%로 이전 데이터베이스의 평균 TBM 가동율과 거의 유사하였다. Fig. 6(a)에 TBM 가동율의 분포형태를 나타내었다. 분포형태는 정규분포의 형태를 가지며 이전 데이터베이스의 가동율 분포와 유사성을 가지고 있다.
RMR은 5부터 95까지의 값을 가지는 것으로 나타났다. RMR의 평균은 53이며, 표준편차는 20이었다. Fig. 6(b)에 RMR의 분포를 도시화하였다. TBM 가동율과 유사하게 정규분포의 형태를 가지고 있다.
TBM 장비에 따른 가동율의 변화를 Fig. 7(a)에 나타내었다. 더블 쉴드 TBM은 평균 가동율이 32.1%이고, 그리퍼 TBM의 경우에는 27.9%로 나타났다. 비록 TBM 장비에 따른 가동율의 차이가 크지는 않지만, 이전의 데이터베이스에서 보았던 결과와 유사하게 TBM 장비에 따라 가동율이 영향을 받는 것을 볼 수 있다.
Fig. 7(b)는 암종에 따른 가동율의 차이를 도시화 하였다. 가동율은 30.2%부터 32.0% 사이의 값을 가지며, 퇴적암 32.0%, 화성암 31.6%, 변성암 30.2%로 나타났다. 이전과 마찬가지로 암종에 따른 가동율의 차이는 거의 없는 것으로 나타났다.
3. 단순회귀분석
TBM 가동율과 터널의 연장과 직경에 대한 관계를 Fig. 8에 나타내었다. 터널의 연장과 직경은 TBM 가동율에 큰 영향을 미치지 않는 것처럼 보인다. Fig. 1(c)에서 보이는 바와 같이 데이터베이스의 대부분의 자료는 터널 연장 8 km 이하이며, 터널 연장에 따른 데이터의 수가 균등하지 않고 특정한 연장에 데이터가 집중되는 경향을 보이고 있다. 따라서 회귀분석에 의한 전체 터널 연장에 대한 상관관계가 낮게 된다. 따라서 비슷한 터널 연장의 자료에 대한 평균으로 데이터를 전처리한 후 다시 회귀분석을 실시하였으며 그 결과를 Fig. 9(a)에 나타내었다. 전처리는 4개의 값에 대한 평균을 사용하여 자료 개수를 줄여 전체적인 경향을 확인할 수 있게 하였다. 터널 연장이 증가할수록 TBM 가동율이 증가하다가 터널 연장이 8 km를 넘는 경우 다시 TBM 가동율이 감소하는 경향을 보였다. 이러한 결과는 터널의 연장이 증가할수록 작업자들의 숙련도가 증가하여 TBM 가동율이 증가하다가 터널 연장이 8km를 넘는 경우 버력처리에 소요되는 시간이 추가적으로 들기 때문에 TBM 가동율이 감소하는 것으로 판단된다. 터널의 직경과 TBM 가동율에 대한 관계도 위와 유사한 방법으로 재검토가 가능하다. 즉, 특정한 터널의 직경에 대한 자료가 많기 때문에 비슷한 터널 직경에서의 자료들의 평균으로 데이터를 전처리한 후에 터널의 직경과 TBM 가동율 사이의 관계를 Fig. 9(b)에 다시 나타내었다. 그 결과 터널의 직경이 증가할수록 TBM 가동율은 감소하였다. 터널의 직경이 커질수록 보강이 필요한 영역이 증가하기 때문에 추가적인 보강에 필요한 시간이 더 소요되어 가동율이 감소한 것으로 판단된다. 터널의 연장과 직경에 따른 TBM 가동율의 예측식은 다음과 같다.
| $$UF\lbrack\%\rbrack=-0.178L^2+3.06L+23.6$$ | (1) |
| $$UF\lbrack\%\rbrack=-0.942D+39.1$$ | (2) |
여기서, UF는 백분율로 된 TBM 가동율이고, L은 터널의 연장(km), D는 터널의 직경(m)이다.
RMR이 포함된 데이터베이스를 이용한 RMR값과 TBM 가동율 사이의 관계를 다음의 Fig. 10에 나타내었다. 결정계수(coefficient of determination)는 0.524이고 예측식은 다음의 식 (3)과 같다.
| $$UF\lbrack\%\rbrack=-0.472RMR+6.43$$ | (3) |
여기서, UF는 백분율로 된 TBM 가동율이고, RMR은 RMR 분류에 의한 평가 점수이다.
4. 다중회귀분석
종속변수인 TBM 가동율에 대해서 설명변수(독립변수) 암종, TBM 장비 종류, 터널의 직경 및 연장에 대해 다중회귀분석을 실시하였다. 범주형 변수인 암종과 TBM 장비 종류에 대해서는 범주에 숫자값을 할당하여 회귀분석에 적용하였다. 선형모델을 적용하였으며 그 결과는 Table 1과 같다. 다중회귀분석 결과, 예측된 TBM 가동율의 평균은 32.3%로 구축된 데이터베이스에서의 평균값과 같았지만, 변하는 범위가 23.7%부터 38.5% 사이로 실제 데이터베이스의 TBM 가동율의 범위인 5.9%부터 70.7%와는 큰 차이를 보였다. 또한 결정계수(coefficient of determination)는 0.14로 매우 낮았다. Fig. 11에 예측 TBM 가동율과 실제 TBM 가동율의 관계를 나타내었다. 이상의 결과로 보았을 때, 현재 수집된 데이터베이스를 활용하여 암종, TBM 장비 종류, 터널의 직경 및 연장을 이용한 단순한 회귀분석으로는 신뢰할 만한 수준의 TBM 가동율 추정은 어려운 것으로 판단된다. 이러한 결과가 나타난 요인으로는 수집된 데이터베이스의 자료들이 독립변수에 따라 편중된 것이 많기 때문인 것으로 보인다. 전처리 과정을 통해서 독립변수들의 변화에 대한 비교적 균등한 자료수를 확보한 후에 회귀분석을 수행하면 더 높은 예측력을 가지는 모델을 생성할 수 있을 것으로 보여진다.
Table 1. Result of multiple regression analysis with 231 datasets
RMR이 포함된 데이터베이스를 이용하여, 종속변수인 TBM 가동율에 대해서 설명변수(독립변수) RMR, 암종, TBM 장비 종류, 터널의 직경 및 연장에 대해 다중회귀분석을 실시하였다. 이전과 마찬가지로 선형모델을 적용하였으며, Table 2에 결과를 나타내었다. 다중회귀분석 결과, 예측된 TBM 가동율의 평균은 31.4%로 구축된 데이터베이스에서의 평균값과 같았으며, 최소 4.4%부터 최대 56.3%로 예측되었다. 실제 데이터베이스의 TBM 가동율의 범위는 7.0%부터 58.1%로 서로 유사한 값을 보였다. 또한 결정계수(coefficient of determination)는 0.62로 RMR을 이용한 단순회귀분석 보다 더 높은 값으로 나타났다. 예측 TBM 가동율과 실제 TBM 가동율의 관계를 Fig. 12에 도시화하였다.
Table 2. Result of multiple regression analysis with RMR database
RMR을 이용한 다중회귀 예측식은 다음의 식 (4)와 같다.
| $$UF\lbrack\%\rbrack=0.492RMR+1.171D+0.298L+1.138\lbrack GC\rbrack+4.262\lbrack TBM\;Type\rbrack-14.273$$ | (4) |
여기서, UF는 백분율로 된 TBM 가동율이고, RMR은 RMR 분류에 의한 평가 점수, D는 터널의 직경(m), L은 터널의 연장 (km), GC는 암종으로 변성암은 1, 화성암은 2, 퇴적암은 3이며, TBM Type의 TBM의 종류로 그리퍼 TBM은 1, 더블쉴드 TBM은 2이다.
5. 결 론
본 연구에서는 국내외 118 여개의 TBM 굴진 사례 분석을 통하여 231개의 자료를 가진 데이터베이스를 구축하여 암종별, TBM 장비 종류별, 터널의 직경 및 길이에 따른 TBM 가동율의 특성을 살펴보고 , 단순 및 다중 회귀분석을 수행하여 여러 요인들에 따른 TBM 가동율 예측 모델을 제안하였다. 또한, TBM 가동율과 RMR(Rock Mass Rating) 및 기타 다른 요인들에 대한 영향을 분석하기 위해 12개 TBM 터널 현장자료들로부터 또 다른 데이터베이스를 구축하여 RMR에 따른 가동율의 상관식을 제안하였다. 이상의 연구로부터 얻어진 주요 결론을 요약하면 다음과 같다.
1) 전체 TBM 장비에 대한 평균 가동율은 32.3%이며, 국내 사례의 평균 가동율은 24.7%이었으며, 해외 사례의 평균 가동율은 33.1%로 국내 평균 가동율보다 높은 것으로 나타났다.
2) TBM 장비 종류별 가동율은 그리퍼 TBM이 35.7%로 가장 높았으며, 싱글 쉴드 TBM 32.7%, 이수식 쉴드 TBM 31.1%, 더블 쉴드 TBM 29.7%, 토압식 쉴드 TBM이 25.3%로 가장 낮았다. TBM 가동율이 TBM 장비의 종류에 따라 영향을 받는다는 것을 확인할 수 있다.
3) 암종 등의 지반조건에 따른 TBM 가동율은 30.5%부터 33.6%까지 변하였으며, 암종에는 큰 영향을 받지 않는 것으로 보인다.
4) 터널 연장이 증가할수록 TBM 가동율이 증가하다가 터널 연장이 8km를 넘는 경우 다시 TBM 가동율이 감소하는 경향을 보였다. 또한 터널의 직경이 증가할수록 TBM 가동율은 감소하였다.
5) 종속변수인 TBM 가동율에 대해서 설명변수(독립변수) 암종, TBM 장비 종류, 터널의 직경 및 연장에 대해 다중회귀분석을 실시하였다. 그 결과, 신뢰할 만한 수준의 TBM 가동율 추정은 어려운 것으로 판단된다.
6) RMR이 포함된 데이터베이스를 이용한 단순회귀 및 다중회귀는 비교적 높은 결정계수를 가지는 예측식을 제안할 수 있다.















