1. 서 론
2. 횡등방성 암석의 구성방정식
2.1 Voigt 표시법
2.2 Mehrabadi & Cowin 표시법
3. 회전된 좌표계에서 탄성정수의 계산
3.1 3차원 공간에서 좌표계 회전
3.2 6차원 공간에서 좌표계 회전
4. 겉보기 탄성정수
5. 연약면의 방향에 따른 겉보기 탄성정수 값의 변화 분석
5.1 겉보기 탄성계수
5.2 겉보기 전단탄성계수
5.3 겉보기 포아송비
6. 결 론
1. 서 론
암석은 서로 다른 결정구조를 갖는 다양한 조암광물들의 집합체이며 생성 과정에서 광물들이 방향성 배열을 하는 경우가 흔하므로 변형 및 강도 측면에서 이방성 재료이다. 지각의 변형과 지중응력의 재배열 과정에서 발생한 미세균열의 분포 특성 역시 암석 이방성의 주요 요인이다. 이방성 매질의 변형 및 강도 특성은 등방성 매질의 경우와 큰 차이를 보인다. 그러므로 국내 암반공학 기술의 고도화를 위해서는 암석의 이방성 특성을 정확하게 파악하는 이론 및 실험 연구의 활성화가 시급한 실정이다.
암석의 이방성 거동에 관한 국내외 연구는 대부분 횡등방성(transversely isotropic) 암석을 대상으로 하고 있다. 층리(bedding)와 엽리(foliation) 조직이 특징인 퇴적암과 변성암의 거동 특성이 근사적으로 횡등방성이라는 점이 그 주요 이유이다. 또한 횡등방성 매질의 구성방정식이 비교적 간단하여 실험 및 이론 연구가 상대적으로 용이하다는 점도 횡등방성 암석이 이방성 연구의 주 대상이 되고 있는 이유의 하나이다. 가장 일반적인 이방성 재료의 독립된 탄성정수 수는 21개이지만 직교이방성(orthotropic)을 가정하면 탄성정수 수는 9개로 줄어들며 횡등방성 매질의 경우 5개의 독립된 탄성정수를 갖는다(Jaeger et al., 2007). Amadei(1983)는 횡등방성 암석의 변형과 강도 특성에 대한 이론연구와 더불어 활용 사례를 제시함으로써 암석 이방성 연구의 필요성을 강조하였다. Amadei et al.(1983)은 간접인장 시험편에 대한 압축시험을 통해 직교이방성 암석과 횡등방성 암석의 탄성정수를 측정하는 이론도 제시하였다. 이후 횡등방성 암석의 탄성정수 측정을 위한 다양한 실험적 방법들이 제안되고 있다(Chou and Chen, 2008, Jin et al., 2018, Dambly et al., 2019, Yim et al., 2022).
횡등방성 매질의 변형 특성을 규정하는 5개 탄성정수는 서로 독립이지만 각 탄성정수는 열역학적 제약 조건을 만족해야 한다. 즉, 임의의 변형에 의해 매질 내에 저장된 탄성 변형률에너지는 항상 양수이어야 한다는 조건을 만족해야 한다(Pickering, 1970). 현재까지 문헌에 보고된 횡등방성 암석의 실험자료들은 모두 이 조건을 만족하고 있는 것으로 파악되고 있다. 그러나 횡등방성 암석의 거동에 대한 실험적 관찰에 의하면 탄성정수들은 열역학적 제약 조건보다 더 엄격한 제약 조건을 만족해야 하는 것으로 판단 된다. 예를 들어, 열역학적 제약 조건에 따르면 횡등방 매질의 포아송비는 음수 값을 가질 수도 있지만 실험적 관찰에 부합하는 횡등방성 암석의 포아송비는 항상 양수이다. Exadaktylos(2001)은 평면변형률 조건과 평면응력 조건에 부합하는 횡등방성 탄성정수의 범위를 이론적으로 계산하였다. Adamus and Kudela(2019)는 횡등방성 매질에서 나타나는 탄성파 전달 속도 차이 현상과 부합하는 탄성정수 제약 조건을 제시하였다.
이 연구에서는 횡등방성 암석의 겉보기 탄성정수 변화 특성 분석을 통해 기존 문헌자료에서 제시하고 있는 횡등방성 탄성정수 값들의 특성을 분석하였다. 임의 방향으로 회전된 직각좌표계에서 겉보기 탄성정수 값을 효율적이고 체계적으로 계산하기 위해 Mehrabadi and Cowin(1990)의 구성방정식을 도입하였다. 문헌에 보고된 4개 횡등방성 암종을 대상으로 연약면의 방향 변화에 따른 겉보기 탄성계수, 겉보기 전단 탄성계수, 겉보기 포아송비의 변화 경향을 분석하였다. 이를 바탕으로 횡등방성 암석에서 겉보기 탄성정수의 방향성 변화 특성이 직관적 예측과 일치하기 위한 새로운 탄성정수 제약 조건식을 제시하였다.
2. 횡등방성 암석의 구성방정식
2.1 Voigt 표시법
탄성체의 구성방정식은 응력-변형률 관계식을 지칭하며 Hooke의 법칙으로 불리기도 한다. 3차원 직교좌표계()를 가정하면 물체 내 임의 점에 작용하는 응력 성분()과 변형률 성분()의 관계는 식 (1)과 같이 텐서 방정식으로 표시할 수 있다.
여기서 은 재료의 탄성변형 특성을 표현하는 4차 텐서 성분이다. 는 대칭성에 의해 , , 의 관계가 만족 되어야 하므로 일반적인 이방성 암석의 경우 독립된 의 개수는 총 21개이다.
식 (1)의 와 는 모두 2차 텐서이므로 형태의 행렬로 표시할 수 있지만 4차 텐서 는 행렬로 표시할 수 없으므로 식 (1)은 행렬 연산에 적합하지 않은 형태의 구성방정식이다. 그러나 와 의 대칭성을 이용하면 변형률과 응력을 각각 6차원 공간의 벡터로 표시할 수 있으므로 식 (1)은 행렬 연산에 편리한 식 (2)의 형태로 변형시킬 수 있다(Voigt, 1928).
여기서
식 (4)에서 , , 는 수학적 전단변형률 성분이고 , , 는 이에 대응되는 공학적 전단변형률 성분을 의미한다.
Fig. 1과 같이 -축이 등방면에 수직인 횡등방성 암석을 가정하면 식 (2)의 탄성정수 행렬 는 식 (5)과 같이 5개의 독립된 상수로 구성된다(Lekhnitskii, 1963).
여기서
식 (6)과 식 (7)에서 , 은 각각 등방면(면)과 평행한 방향과 수직인 방향의 탄성계수 즉, 이고 이다. 또한 와 은 포아송비를 나타내며 이고 이다. 여기서 포아송비 는 -축 방향으로 일축 하중이 작용할 때 -축 방향 변형률에 대한 -축 방향 변형률의 비에 –1을 곱한 값이다. 은 면과 면의 전단탄성계수이다. 모든 형태의 변형에 대해 탄성 변형률 에너지는 항상 양의 값이어야 한다는 열역학적 요구조건에 따라 횡등방성 암석의 탄성정수들에는 제약 조건이 부여되며, 포아송비를 양수로 가정할 경우 이 제약 조건은 식 (8)과 같이 표현된다(Amadei et al., 1987).
실내시험 결과에 의하면 무결암의 탄성정수는 대부분 , , , 의 범위에 있다(Amadei et al., 1987).
한편, 횡등방성 암석에 대한 식 (2)의 역 관계식은 식 (9)과 같이 표시된다.
여기서
이다. 이 때 는 횡등방면인 면의 전단탄성계수이므로 이다.
2.2 Mehrabadi & Cowin 표시법
2.1절에서 설명한 Voigt의 구성방정식은 행렬 연산에 편리한 형태이지만 탄성정수 행렬 와 가 2차 텐서가 아니므로 성분들이 텐서 좌표변환 규칙을 따르지 않는다는 단점이 있다(Jaeger et al., 2007). 이러한 단점을 극복하기 위하여 Mehrabadi and Cowin(1990)은 Voigt 구성방정식, 즉 식 (2)을 식 (11)의 형태로 수정하였다.
여기서
식 (11)은 식 (2)와 정확히 일치하지만, 식 (11)의 탄성정수 행렬 는 와 달리 6차원 공간에서 2차 텐서의 성질을 갖는다. 따라서 좌표축 회전에 따른 의 성분 변환은 2차 텐서 변환규칙에 따라 행렬 연산으로 간편하게 수행될 수 있다.
횡등방성 암석의 경우 식 (9)에 대응되는 Mehrabadi & Cowin 구성방정식은 식 (14)과 같다.
여기서
3. 회전된 좌표계에서 탄성정수의 계산
3.1 3차원 공간에서 좌표계 회전
단위벡터 과 평행한 회전축을 중심으로 기존 좌표계()를 각도 만큼 회전시켰을 때 기존 좌표계로 표시한 위치벡터 가 회전된 새 좌표계()에서 로 표시된다고 가정하면 두 위치벡터 성분들의 관계식은 Euler의 좌표축 회전 정리에 따라 식 (16)으로 표현할 수 있다(Gurtin, 1981, Aris, 1989).
여기서 좌표변환 행렬 은 2차 텐서로서 형태의 직교행렬(orthogonal matrix)이며 단위벡터 의 성분과 회전각 를 이용하여 식 (17)과 같이 표시된다.
여기서
식 (17)에서 는 3차원 단위행렬이다.
좌표변환 행렬 를 이용하면 회전 전 좌표계에서 표시한 식 (1)의 탄성정수 성분 와 회전 후 좌표계에서 표시한 탄성정수 성분 의 관계식은 4차 텐서 성분의 변환규칙에 따라 식 (19)과 같이 표시된다.
3.2 6차원 공간에서 좌표계 회전
Mehrabadi & Cowin 구성방정식의 탄성정수 행렬 은 6차원 공간에서 2차 텐서 성질을 가지므로 행렬 연산을 이용하여 성분들의 좌표변환이 가능하다(Mehrabadi et al., 1995). 식 (19)에 대응되는 2차 텐서 의 좌표 변환식은 식 (20)과 같다.
여기서
예를 들어 -축을 각도 만큼 회전시키는 좌표계 변환의 경우 이므로
을 이용하면 -축을 회전시키는 변환행렬 은 식 (21)에 의해 식 (24)으로 표시된다.
마찬가지 방법으로 -축을 각도 만큼 회전시키는 경우는 이므로
변환행렬 은 식 (25)과 같이 표시됨을 보일 수 있다.
또한 -축을 각도 만큼 회전시키는 경우, 변환행렬 은 식 (26)과 같다.
4. 겉보기 탄성정수
경사진 횡등방면을 갖는 암석 시료에 대한 일축압축시험을 가정하면 횡등방성 암석의 겉보기 탄성정수를 계산할 수 있다. Fig. 2(a)는 Fig. 1에 나타낸 횡등방성 암석 모델의 전체좌표계()를 만큼 -축 회전시켜 얻어진 국부좌표계()를 보여준다. 이어서 -축을 만큼 회전시켰을 때 얻어지는 횡등방성 암석의 국부좌표계()를 Fig. 2(b)에 나타내었다. 이 경우 면에서 관찰되는 절리면의 위경사 는 진경사 와 -축을 기준으로 측정한 주향 를 이용하여 식 (27)으로부터 계산할 수 있다.
식 (15)의 탄성정수 행렬 는 6차원 공간에서 2차 텐서이므로 식 (20)을 연속적으로 적용하면 Fig. 2의 좌표계로 변환된 탄성정수 행렬 는 식 (28)을 이용하여 계산할 수 있다.
식 (28)을 이용하여 좌표계로 변환된 겉보기 탄성정수 계산식들은 다음과 같다.
한편 겉보기 탄성계수와 겉보기 포아송비는 다음의 관계식 (30)을 만족한다.
예를 들어 식 (29)의 두 번째 식으로 계산되는 -축 방향의 겉보기 탄성계수 는 명시적으로 식 (31)과 같이 표시된다.
또한 식 (29)의 일곱 번째 식으로 계산되는 면의 겉보기 전단탄성계수 는 다음 식 (32)과 같이 표시됨을 보일 수 있다.
식 (29)의 네 번째 식으로 계산되는 겉보기 포아송비 의 명시적 계산식은 식 (33)과 같다.
여기서
5. 연약면의 방향에 따른 겉보기 탄성정수 값의 변화 분석
5.1 겉보기 탄성계수
실험실 시험에서 측정된 횡등방성 암석의 탄성정수 값을 적용하여 와 값의 변화에 따른 겉보기 탄성계수 와 의 변화 경향을 분석하였다. 분석에 활용된 암종은 4가지이며 각 암종의 탄성정수 값들과 자료 출처는 Table 1에 제시하였다. Table 1에 제시된 각 암종의 탄성정수들은 실험적, 수치해석적으로 측정한 탄성정수의 방향성 변화 경향을 최적 근사하도록 결정된 값들이다. 아산 편마암(Asan gneiss, Cho et al., 2012), Olkiluoto 운모편마암(mica gneiss), O Barco de Valdeorras 점판암(slate)의 경우는 Amadei(1983)의 이론을 바탕으로 수평, 수직, 경사 시료에 대한 일축압축시험을 통해 탄성정수들이 결정되었다. 특히 탄성계수는 최고 강도의 30%~50% 응력수준에서 응력-변형률 곡선의 할선(secant) 기울기로 결정하였다. Taiwan 대리석(marble)의 경우는 디스크 시료에 대한 간접인장시험과 시료의 중앙점에서 응력집중계수(stress concentration factor)를 수치해석적으로 계산하는 방법을 결합하여 탄성정수를 결정하였다. Yim et al.(2022)는 단일방향 원주형 코어 시료에 축방향으로 대상 분포하중(strip load)을 가하는 방법과 변형률 역산법을 결합한 새로운 방법으로 아산 편마암의 탄성정수를 결정하였다.
Fig. 2와 같은 좌표계를 설정할 경우 는 식 (31)에서 볼 수 있는 것처럼 연약면의 경사각 에 영향을 받지만 연약면의 주향 즉, 값에는 영향을 받지 않는다. Fig. 3은 Table 1에 제시한 4가지 암종에 대해 의 증가에 따른 의 변화를 보여준다. 아산 편마암과 Taiwan 대리석의 경우 는 각각 와 에서 최소값이 나타나는 특징을 보인다. 이러한 결과는 횡등방성 암석의 경우 연약면에 수직인 방향 즉, 에 해당하는 탄성계수가 최소값이라는 직관적 예상과 배치된다. 반면에 Olkiluoto 운모편마암과 O Barco de Valdeorras 점판암의 는 의 증가와 더불어 단조 증가하는 경향을 나타내므로 에서 최소가 되어 직관적인 예측에 부합하는 변화 특성을 보여준다.
Table 1.
Elastic constants of transversely isotropic rocks
| Rock type | (GPa) | (GPa) | (GPa) | Reference | ||
| Asan gneiss | 68.3 | 0.3 | 54.4 | 0.2 | 17.1 | Cho et al.(2012) |
| Taiwan marble | 78.302 | 0.267 | 72.189 | 0.163 | 27.425 | Chou and Chen(2008) |
| Olkiluoto mica gneiss | 79 | 0.17 | 56 | 0.21 | 24 | Hakala et al.(2007) |
| Asan gneiss | 57.54 | 0.1363 | 32.30 | 0.1151 | 16.19 | Yim et al.(2022) |
| O Barco de Valdeorras slate | 68.22 | 0.23 | 38.04 | 0.28 | 19.45 | Alejano et al.(2021) |

Fig. 3.
Variations of apparent elastic modulus in the rock samples with respect to changes in the dip angle of the weak planes: (a) Asan gneiss (Cho et al., 2012), (b) Taiwan marble, (c) Olkiluoto mica gneiss, and (d) O Barco de Valdeorras slate
아산 편마암과 Taiwan 대리석의 경우처럼 의 최소값이 과 사이에서 나타나는 원인에 대한 명쾌한 이론적 설명은 현재까지 제시되지 못하고 있는 것으로 파악되며, 횡등방성 탄성정수들의 부정확한 측정이 원인일 가능성 또한 배제할 수 없다. 예를 들어 Table 1에 제시된 아산 편마암과 동일한 암종에 대한 Yim et al.(2022)의 실험에서 얻어진 탄성정수 값들은 Cho et al.(2012)의 측정 결과와 약간의 차이가 보인다. Yim et al.(2022)의 측정 결과를 이용하여 의 변화를 도시한 결과(Fig. 4)에서는 Fig. 3(a)과 달리 가 단조 증가하는 경향을 보여준다.

Fig. 4.
Variation of apparent elastic modulus in the Asan gneiss sample with respect to change in the dip angle of the weak plane. The elastic constants shown in the figure are cited from Yim et al.(2022)
Fig. 5와 같이 과 사이에서 의 최소값이 나타나는 조건은 을 만족하는 가 이 구간에서 존재하는 조건이다. 식 (31)을 이용하면 를 만족하는 이 식 (35)과 같음을 보일 수 있다.
따라서 일 때 과 사이에서 의 최소값이 발생하지 않고 가 단조 증가하는 조건은 가 존재하지 않을 조건과 동일하다. 따라서 가 존재하지 않은 조건은 식 (35) 우변의 근호 안 수식 값이 1보다 크거나 음수가 되는 조건이다. 이 조건은 다음 부등식 (36)으로 표시할 수 있다.
Table 1에 제시된 아산 편마암과 Taiwan 대리석의 탄성정수들은 식 (36)을 만족하지 않지만 Olkiluoto 운모편마암과 O Barco de Valdeorras 점판암의 탄성정수들은 식 (36)을 만족한다. 또한 Yim et al.(2022)이 측정한 아산 편마암의 탄성정수들(Fig. 4)도 식 (36)을 만족한다.
Fig. 6은 Table 1에 제시한 4가지 암종을 대상으로 연약면의 방향에 따른 겉보기 탄성계수 의 변화를 계산한 결과이다. 은 와 달리 뿐만 아니라 값의 변화에 영향을 받는다. 부등식 (36)을 만족하는 Olkiluoto 운모편마암과 O Barco de Valdeorras 점판암의 경우 일 때 은 의 증가에 따라 항상 단조 감소하는 경향을 보여준다. 그러나 식 (36)을 만족하지 않는 아산 편마암(Cho et al., 2012)과 Taiwan 대리석의 경우 , ,일 때 범위에서 의 최소값이 계산됨을 보여준다. 한편 이 연구에서 가정한 암석 모델의 대칭성에 의해 겉보기 탄성계수 와 는 값에 대한 대칭 관계에 있다. 예를 들어 에 해당하는 곡선은 에 해당하는 곡선과 동일하다.

Fig. 6.
Variations of apparent elastic modulus in the rock samples with respect to changes in the orientation of the weak planes: (a) Asan gneiss (Cho et al., 2012), (b) Taiwan marble, (c) Olkiluoto mica gneiss, and (d) O Barco de Valdeorras slate
5.2 겉보기 전단탄성계수
Fig. 7은 Table 1에 제시한 아산 편마암(Cho et al., 2012)을 대상으로 연약면의 방향 변화에 따른 겉보기 전단탄성계수 와 의 변화를 계산한 결과이다. 그림에 제시되지 않은 곡선은 곡선과 값에 대한 대칭성을 갖는다는 점을 주목할 필요가 있다. 즉 에 해당하는 곡선은 에 해당하는 곡선과 일치한다. 일 때 는 의 증가와 더불어 단조 증가하지만 인 경우는 최대값까지 증가 후 다시 감소하는 특징을 나타낸다. 은 대체로 의 증가와 더불어 감소하는 특징을 보여준다. 에 해당하는 곡선은 에 해당하는 곡선과 일치한다는 사실도 그림에서 확인할 수 있다. 또한 이면 가 의 변화에 영향을 받지 않고 상수 값 22.8GPa으로 계산됨을 보여준다. Table 1에 제시한 Taiwan 대리석의 경우에서도 일 때 동일한 현상이 확인되었다. 이 같은 현상은 부등식 (36)을 만족하지 않는 암종에서 공통으로 나타나는 것으로 추측된다. 그러나 Table 1에 제시한 Olkiluoto 운모편마암은 식 (36)을 만족하므로 가 의 증가와 함께 단조 증가하지만 Fig. 8(a)에 나타낸 것처럼 는 일 때 의 변화에 영향을 받지 않는 상수 값 25.3GPa으로 계산되는 것으로 나타났다. 아산 편마암(Yim et al., 2022)의 경우도 에서 Olkiluoto 운모편마암과 동일한 현상이 확인되었다(Fig. 8(b)).
일반적인 횡등방성 암석에 대해 일 때 인 범위에서 에 영향을 받지 않는 상수 값 가 계산되는 가 존재하지 않기 위한 조건은 에 대한 식 (32)의 미분식 을 활용하여 구할 수 있으며 그 결과 식은 다음 부등식과 같다.

Fig. 7.
Variations of apparent elastic shear moduli (a) and (b) in the Asan gneiss sample (Cho et al., 2012) with respect to changes in the orientation of the weak planes

Fig. 8.
Variations of apparent elastic shear modulus in (a) the Olkiluoto mica gneiss and (b) Asan gneiss (Yim et al., 2022) samples with respect to changes in the orientation of the weak planes
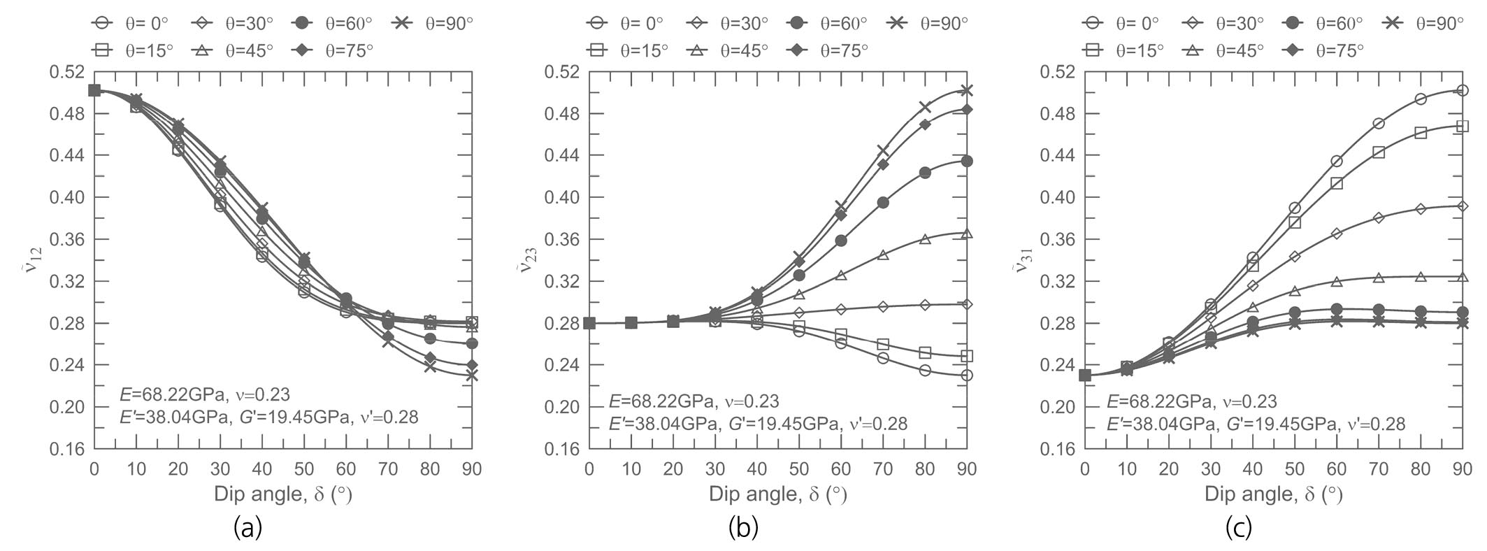
아산 편마암(Cho et al., 2012, Yim et al., 2022), Taiwan 대리석, Olkiluoto 운모편마암은 모두 부등식 (37)을 만족하지 않는다. Fig. 9은 Table 1에 언급된 O Barco de Valdeorras 점판암 대상으로 연약면의 방향과 겉보기 전단탄성계수 와 의 관계를 계산한 결과이다. 전술한 3가지 암종과 달리 O Barco de Valdeorras 점판암은 부등식 (37)을 만족한다. 따라서 가 에 영향을 받지 않는 값이 존재하지 않음을 확인할 수 있다. 일 경우 는 의 증가와 더불어 단조 증가하는 경향을 보여주며, 인 경우 부근까지 소폭 감소 후 다시 증가하는 경향성을 잘 보여준다. 또한 연약면의 경사각 즉 가 클수록 값 변화에 따른 의 변화 폭이 커지는 경향이 있음을 분명하게 보여준다. 는 모든 값에 대해 의 증가와 더불어 단조 감소하는 것으로 나타났으며 의 변화에 따른 곡선의 변화 폭도 크지 않은 것으로 확인되었다.
결론적으로 일 때 부등식 (37)은 겉보기 탄성계수 의 에 대한 단조 증가, 가 에 영향을 받지 않는 인 값의 부존재, 의 에 대한 단조 감소를 동시에 만족시키는 조건식이 됨을 알 수 있다.
5.3 겉보기 포아송비
Fig. 10과 Fig. 11은 각각 아산 편마암과 O Barco de Valdeorras 점판암을 대상으로 연약면 방향 변화에 따른 겉보기 포아송비 , , 의 변화를 보여준다. 부등식 (37)을 만족하지 않는 아산 편마암(Cho et al., 2012)과 부등식 (37)을 만족하는 O Barco de Valdeorras 점판암의 겉보기 포아송비 변화 경향은 뚜렷한 차별성을 보인다. 아산 편마암의 경우 겉보기 포아송비 변화곡선의 형태가 값에 따라 큰 차이를 보인다. 또한 부근에서는 가 값에 거의 영향을 받지 않고 있음을 확인할 수 있다. 반면에 O Barco de Valdeorras 점판암의 경우 겉보기 포아송비 곡선들의 변화 형태가 아산 편마암의 경우에 비해 훨씬 더 규칙성을 보이고 있음을 확인할 수 있다. O Barco de Valdeorras 점판암에서 의 변화폭은 일 가장 작고, 의 변화폭은 일 때 가장 작으며, 의 변화폭은 일 때 가장 작은 것을 잘 보여준다.

Fig. 10.
Variations of apparent Poisson’s ratio (a) , (b) and (c) in the Asan gneiss (Cho et al., 2012) sample with respect to changes in the orientation of the weak planes
6. 결 론
2차 텐서인 응력과 변형률을 연결하는 탄성정수 텐서는 4차 텐서이고 횡등방성 암석의 탄성정수 텐서는 5개의 독립된 정수로 정의된다. 응력과 변형률은 2차 텐서이므로 행렬 형태로 표시할 수 있지만 4차 텐서인 탄성정수 텐서는 행렬로 표시할 수 없다. 이에 따라 응력과 변형률 성분의 좌표계 회전 변환은 크기의 좌표변환 행렬을 이용한 간단한 행렬 연산으로 가능하다. 반면에 탄성정수 텐서 성분의 좌표계 변환에서는 크기의 좌표변환 행렬을 직접 활용할 수 없으므로 훨씬 복잡한 계산과정을 피할 수 없다.
이 연구에서는 탄성정수 텐서를 6차원 공간에서 2차 텐서로 표시하는 Mehrabadi and Cowin(1990)의 구성방정식을 도입하여 임의의 회전된 좌표계에서 횡등방성 암석의 겉보기 탄성정수 성분들을 간단히 계산하는 방법을 제안하였다. 이 경우 암석의 탄성정수 텐서가 행렬 형태의 2차 텐서로 표시되므로 탄성정수 성분들의 좌표변환을 위해 행렬 연산을 적용하는 것이 가능하다. Mehrabadi and Cowin(1990) 구성방정식에서 응력과 변형률은 6차원 공간의 벡터로 간주 된다.
제안한 방법을 적용하여 연약면의 방향 변화에 따른 횡등방성 암석의 겉보기 탄성정수들의 변화 특성을 분석하였다. 이를 위해 문헌에 보고된 4종의 횡등방성 암석에 대한 실험자료가 활용되었다. 겉보기 탄성정수 분석을 통해 얻은 주요 결론은 다음과 같다.
1)아산 편마암(Cho et al., 2012)과 Taiwan 대리석(Chou and Chen, 2008)의 경우 연약면의 경사각을 달리한 일축시험 조건에서 이론적으로 계산되는 겉보기 탄성정수 는 경사각의 증가에 따라 단조 증가할 것이라는 직관적 예상과 달리 감소 후 다시 증가하는 경향을 보여주었다. 반면에 아산 편마암에 대한 Yim et al.(2022)의 자료, Olkiluoto 운모편암(Hakala et al., 2007) 자료, O Barco de Valdeorras 점판암(Alejano et al., 2021) 자료를 활용할 경우 는 단조 증가하는 것으로 나타났다. 의 단조 증가 조건은 부등식 인 것으로 확인되었다.
2)아산 편마암(Cho et al., 2012, Yim et al., 2022), Taiwan 대리석, Olkiluoto 운모편암에서는 연약면의 경사각이 특정 값일 때 겉보기 전단탄성계수 가 연약면의 주향에 영향을 받지 않는 현상이 관찰되었다. 이러한 현상이 발생하지 않기 위한 5개 탄성정수 사이의 제약 조건을 이 연구를 통해 유도하였다. 아산 편마암(Yim et al., 2022)과 Olkiluoto 운모편암의 경우 는 단조 증가하지만 유도한 제약조건을 만족하지 않는 것으로 확인되었다. O Barco de Valdeorras 점판암의 경우 유도한 제약 조건과 의 단조 증가 조건을 동시에 만족하는 것으로 나타났다.
3)횡등방성 암석의 독립된 탄성정수는 5개이며 이 탄성정수들은 열역학적 제약 조건을 만족하여야 한다. 횡등방성 암석의 겉보기 탄성정수 변화 특성을 분석한 결과 횡등방성 암석의 탄성정수들은 열역학적 제약 조건 외에 추가적인 제약 조건이 필요한 것으로 판단된다.
4)횡등방성 암석의 겉보기 탄성정수 변화 특성을 분석한 결과는 문헌에 보고된 일부 횡등방성 암석의 탄성정수 값에 과도한 측정오차가 반영되어 있을 가능성을 암시해 준다. 따라서 문헌에 보고된 횡등방성 암석의 탄성정수 값을 암반공학적 설계에 이용할 경우 많은 주의가 필요하다고 판단된다.








