1. 서 론
2. 커팅 스플리팅 공법 소개
3. 압입력 추산 분석해 도출
3.1 암석의 인장강도와 인장응력 분석
3.2 암석의 인장강도와 인장응력 분석
3.3 인장균열 확장조건 분석
4. 브레이커의 타격력
4.1 브레이커의 타격력 조사
4.2 굴삭기 등급별 예상 타격력 조사
4.3 암석강도별 적정 압입력 분석
5. 결 론
1. 서 론
통상적으로, 지반 및 터널 공사 시 중경암 이상의 암반 노두가 표층부 또는 토사 면에 돌출된 경우에는 발파를 이용하여 제거하는 것이 효율적이다. 하지만 최근 공사 지역이 도심지의 민가가 인접한 곳은 발파가 제한되는 경우, 유압 브레이커를 이용하여 암반을 굴착하는 사례가 많다. 하지만, 유압 브레이커 작업은 2가지 문제점을 가지고 있다. 첫 번째 문제점은 유압브레이커의 큰 소음으로 도심지에서 작업 시 빈번한 민원이 발생하여 공사 지연이 생긴다는 점이다. 실제 유압브레이커의 타격 시 음향파워레벨은 평균 104~129 dB(A)(Ministry of Environment, 2011, Seoul Citizens' Environmental Cooperation, 2016)로 도심지 내 공사에 적합하지 않다. 두 번째 문제점은 중경암 이상의 암반조건서 굴착속도가 매우 저하된다는 것이다. 실제 경암 수준 작업 환경의 경우 유압 브레이커의 1일(10시간) 작업량이 3-5 m3 미만으로 알려져 있다(Cho et al., 2017, Ministry of Science and ICT, 2018). 이러한 이유는 암석은 인장 강도에 비해 압축 강도가 매우 크나, 치즐의 타격은 암반면의 수직면에서 가해져 압축응력이 주로 전달되기 때문이다.
위와 같은 이유들 때문에 최근 무진동 암반파쇄 공법이 개발되어 적용되고 있다. 암반 파쇄와 관련된 무진동 기법의 예로는 워터젯 방법과 슈퍼웻지 방법이 있다. 워터젯 방법은 초고압(200~400 MPa 이상)으로 응축된 연마 혼합물을 노즐을 통해 암반 표면에 분사하여 원하는 형상으로 절단하는 방법을 이야기하며(Choi and Yang, 2001, Kim and Song, 2015), 슈퍼웻지 방법은 사전 천공을 진행한 구멍에 특수 유압장비(균열가이드+유압스플리터)를 삽입하여 암반을 파쇄하는 방법을 이야기한다(Lee, 2004, Won et al., 2006, Jeong and Ko, 2015). 두 방법은 암석 파쇄 시 유압 브레이커 대비 진동 및 소음이 적은 기법이기 때문에 도심지 등의 작업에 적합하지만, 작업 공정 속도는 여전히 느려 공사기간이 길어진다는 문제는 해결하지 못하였다. 추가적으로, 워터젯의 경우 이격거리가 20cm이상일 때 절삭성능이 급격히 저하되는 문제가 있다(Oh and Cho, 2012). 슈퍼웻지의 경우 별도의 천공공정이 필요하며 경암굴착 시 시공속도가 급격히 낮아지는 단점이 역시 존재한다(Lee et al., 2015, Cho et al., 2017).
본 보고에서는 새로운 공법인 커팅-스플리팅 공법을 소개한다. 해당 공법은 적절히 낮은 소음, 진동을 유발하며 비교적 빠른 굴착속도를 가질 것으로 기대하고 있다. 커팅 스플리팅 공법의 현장적용을 위하여 수행하였던 스플리팅 진행에 필요한 압입력을 추산하는 분석해 고안 방법과 굴착기 유압브레이커 타격력 분석의 방법을 설명하고, 암석강도별 적정 압입력 제안 및 암석블록 설계에 따른 시공 가능한 굴착기수준을 추정하였다.
2. 커팅 스플리팅 공법 소개
커팅 스플리팅 공법이란 암반표면을 특정 깊이로 컷팅한 후 치즐이나 스플리터를 이용하여 암반 기저면의 인장균열을 발생시켜 일정한 크기의 암석블럭을 암반표면으로부터 떼어내는 공법을 말한다(Ko et al., 2019)(Fig. 1). 무진동공법이기에 발파가 허용되지 않는 터널공사에 적용가능하며 터널굴착과 동시에 일정한 크기의 석재를 획득하여 부가가치 창출이 가능하다.
현재 활용 중인 무진동 공법과 비교하여 보면 워터젯 공법에 비해 기계식 커터의 에너지 효율이 높고, 커팅 속도도 2배 이상 빠르다. 슈퍼웻지 공법과 비교하여도 상대적으로 균열제어가 쉽고, 균질한 형태의 석재를 획득 가능하며, 슈퍼웻지의 천공공정시간에 비해 커팅공정은 30%이상 시간을 절감할 수 있고, 스플리팅의 효율이 높아 50% 이상 높은 굴진율을 기대하고 있다(Cho et al., 2017).
커팅 스플리팅 공법을 진행하기 위해서는 우선 암반을 커터로 절삭하는 과정이 필요하다. 현재 기술 개발을 통해 굴삭기에 적용 가능한 2.0 m 급 다이아몬드 블레이드를 제작 완료하였으며, 이를 토대로 작업 가능한 굴착기 등급을 결정할 예정이다. 커팅 블록 절삭이 완료되면 스플리팅 작업을 진행한다. 스플리팅에도 다양한 방법이 존재하는데(인덴터 압입 방법, 치즐 타격 방법) 본 기술보고에서는 치즐 타격 방법을 활용하는 것으로 분석을 진행하였다. 치즐 타격 방법은 Fig. 2와 같으며 쐐기를 치즐로 타격하여 직접 커팅면을 사이를 압입하는 방식이다. 치즐 타격 방법은 유압브레이커 등을 사용하면 순간적으로 치즐이 압입되므로 (타격 순간은 1 ms 이하로 추정) 마찰력을 극복할 필요가 없는 장점이 있다. 따라서 별도의 가이드나 카운터 웻지를 사용하지 않고, 치즐을 통해 직접 타격하는 방법이 작업 시 더욱 효율적이기 때문에 본 방법을 적용하였다.
3. 압입력 추산 분석해 도출
3.1 암석의 인장강도와 인장응력 분석
3.1.1인장력 및 인장응력 가정
응력확대계수를 계산하기 위하여 자유면 쪽에 위치하여 스플리팅 예정인 암석블럭을 치즐하중으로 받고 있는 외팔보로 가정한다. 여기서 P/2는 치즐의 수직력이 절반으로 분할된 값이고, H는 치즐에 압입에 의해 발생하는 수평힘이다. 외팔보가 수평력 H를 받고 있을 때, 간접적으로 발생하는 수직인장력을 σt라고 하면, 응력확대계수()는 식 (1)과 같다.
여기서 a는 외팔보에 가상으로 존재하는 노치의 길이이고, 는 무차원 형상확대계수로서 시편의 형상, 노치 길이, 하중형태의 영향을 받는 인자이다. 식 (1)에서 외팔보 고정단 상단지점(균열개시부)의 인장응력은 재료역학의 빔 이론에 따라 식 (2)와 같이 제시된다.
이 수식에서 블록형상과 관계된 인자로 w는 폭, s는 간격, d는 높이이다.
여기서 한 가지 유념해야 할 것은 식 (2)은 수평력(H)에 의한 인장응력 요소만 계산되었다는 점이다. 따라서 정확히 파괴인성을 계산하기 위해서 수직력(P/2)의 영향도 고려해야 한다(고태영 외, 2019). 수직력은 집중하중 형태로 가해지므로, 분석해를 통해 계산하려면 집중하중(P/2)에 의한 블록내부의 압축응력 분포를 가정해야 한다. 본 사례에서 하중인가 지점은 선하중 형태의 P/2 하중을 인가하고 있기 때문에 모멘트, 이므로, 모멘트 항을 계산하면 식 (3)과 같이 표현된다.
그러면 외팔보의 균열개시 지점의 인장응력 합산분의 분석해는 식 (4)와 같이 계산된다.
3.1.2 응력확대계수 계산
본 연구에서는 선행문헌(Seo and Lee, 2016)의 결과 그래프의 실험값과 FEM해석 3개 데이터의 평균값을 계산하여 지수함수로 회귀하였다(식 (5)). 해당 회귀한 그래프의 y절편값을 균열길이(a/H)가 0으로 수렴할 때의 무차원 형상계수값으로 정의할 수 있다. 결과적으로 본 연구에서 사용될 노치가 존재하지 않는 암반블럭의 인장파괴 시 무차원 형상계수는 1.23으로 결정되었다.
3.1.3 인장균열 개시 및 확장 조건식
수평력에 의한 인장응력에서 수직력에 의한 압축응력 분을 빼면, 균열개시 지점의 인장응력을 구할 수 있다. 따라서 해당 지점의 인장응력이 암석의 인장강도를 초과하면 인장균열이 개시된다고 판단한다.
위에서 전개된 수식을 이용하여 파괴인성()을 인장응력과 초기균열의 길이의 관계로 나타낼 수 있고, 해당 인장응력으로부터 유발된 파괴인성()이 암석 고유의 파괴인성()를 상회할 때 균열이 확장된다.
여기서 초기 노치의 길이, a=0인 조건인데, 이렇게 되면 K=0이 되어 파괴인성 P로부터 를 구할 수 없는 문제가 발생한다. 따라서 압입으로 유발되는 인장응력과 암반 고유의 인장강도의 비교를 통해서 먼저 균열개시를 확인하고 초기 균열의 길이(a)를 아주 작은 크기로 가정해서 파괴역학으로 추가변위를 분석하는 순서로 분석을 진행해야 한다.
3.2 암석의 인장강도와 인장응력 분석
3.2.1 암석의 등급별 인장강도
분석을 위해서 암석의 등급별 인장강도를 추산해야 한다. Table 1은 3점굴곡시험시 암석강도 등급별로 제작한 콘크리트 및 암석시편의 물성정보이다. 경암모델인 황등화강암과 중경암 모델 콘크리트의 인장강도는 각각 9.15, 5.74 MPa로 추정되었다. 이는 인장강도/압축강도의 비율은 5~10%의 범위였으며, 고강도 취성재료의 특성을 나타내고 있다.
Table 1.
Physical properties of the testing specimens
3.2.2 설계인자에 따른 인장응력 유발 수준
본 공법은 주로 극경암, 경암, 중경암 등 강한 암반에 대해서 기존의 공법의 굴착 효율이 좋지 않은 경우 적용하기 위한 것이다. 따라서 경암의 적용확률이 가장 높지만, 우선 강도가 높은 순서로 전체 암반등급에 대해 인장균열 개시조건을 분석하였다.
실제 시공 시 선택사항은 굴삭기의 타격 압입력(P)이다. 해당 암반의 인장파괴 시 파괴인성을 알고 있다고 가정하면 위의 수식을 P에 대해서 풀 수 있다. 식 (6)의 우변의 중괄호의 내부항을 A, B, X로 치환하면 아래와 같이 P에 관한 식을 얻는다.
여기서 상수 A는 수평력 H에 의한 인장응력 유발분이고, B는 압축력 P/2에 의한 압축응력 유발분이다.
좌변의 인장응력이 예상되는 우변의 암석의 인장강도(BTS, Brazilian tensile strength) 수치보다 큰 경우 인장균열이 연결된다고 판단할 수 있다. 형상인자(geometric factor)로는 d, w, s가 있다. d는 클수록 필요한 인장응력이 감소하고, w와 s는 클수록 더 높은 인장응력이 필요하게 된다.
BTS값은 암석의 물성값이므로 상수로 설정하고, 인장응력을 미리 선정한 형상인자와 치즐각도에 대해 분석해보았다.
3.2.3 변수분석
개발 중인 공법은 5개의 설계변수가 있다. 각 변수의 수준에 따라 스플리팅이 가능한 압입력을 산출하기 위해 변수분석을 실시하였다. 이를 변수분석을 통해 각 인자의 영향도를 분석하였다 (Table 2, Fig. 4). 식 (16)을 구성하고 있는 계산상수 X에 대한 A, B의 영향을 분석하였다. 임의의 치즐각도, 마찰계수 등을 입력하여 계산한 결과, A의 영향이 80%, B의 영향이 약 20%로 분석되었다. 결국 스플리팅시 수평력(H)의 영향력이 지배적이라는 사실을 알 수 있었다. 또한 B는 커팅깊이(d)의 영향만 받기 때문에 다른 변수가 증가할 때 인장응력에 미치는 영향이 더욱 축소된다. 따라서 경우에 따라 계산식의 간소화를 위해 B의 계산을 생략해도 무방할 것으로 판단된다.
Table 2.
Effect of calculation constants according to random input variables
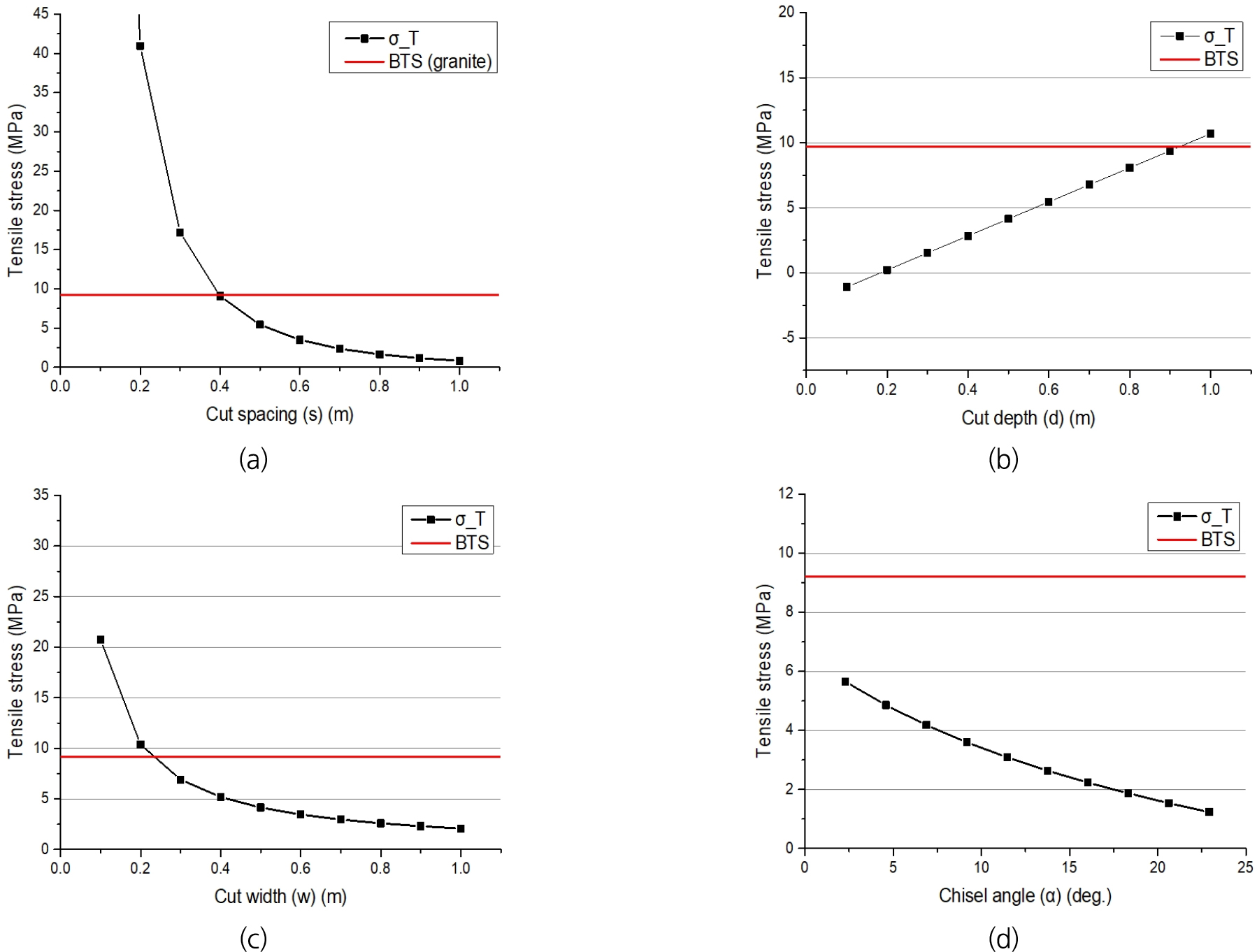
설계인자 중 하나인 커팅간격(s)의 영향도를 분석하였다. 압입력(P)이 굴삭기 자중(30 tonf)만큼 입력된다고 가정했을 때(P=30 tonf), Table 1의 입력값을 기준으로 커팅간격에 대한 변화를 분석하였다. 그 결과, 커팅간격이 증가할수록 유발되는 인장응력은 급속히 감소하는 것으로 나타났다. 커팅깊이(d)의 영향을 분석하였다. 커팅깊이가 깊을수록 인장응력 유발량이 선형적으로 증가한다. 다만, 커팅깊이가 0.2이하로 매우 낮으면 수직력의 영향(상수 B)이 수평력(상수 A)에 비해 매우 커지므로, 오히려 압축력이 도출되어 스플리팅이 되지 않는 것으로 분석되었다. 따라서 30톤 굴삭기 자중만으로 압입하려면 s/d의 비율이 0.9이상으로 설계되어야 스플리팅이 가능하다. 커팅폭(w)의 영향을 분석하였다. 커팅폭은 변화양상은 커팅간격과 유사하게 감소하였으며 커팅간격에 비해 영향도는 낮았다. 커팅간격의 영향력이 더 크므로, s의 종속변수로 취급하여 분석해도 무방할 것으로 생각된다. 치즐각도(α)의 영향을 마지막으로 분석하였다. 치즐각도가 증가할수록 인장응력 유발분이 선형적으로 감소하였다. 따라서 치즐각도를 작게 설계할수록 스플리팅에 유리하다. 현재 형상조건(s,d,w=0.5)에서는 30톤의 압입력으로 화강암의 스플리팅이 가능하지 않다.
3.3 인장균열 확장조건 분석
3.3.1 균열확장 조건식
3점굴곡시험을 통해 암석고유의 파괴인성()값을 측정할 수 있다. 그렇다면 외팔보에서 응력이 확장되기 위한 인장응력 조건은 위의 수식을 아래와 같은 부등식으로 변형하면 된다.
여기서 는 균열확장 임계인장응력(critical tensile stress)를 의미하고, 유발된 인장응력()이 임계응력값을 초과할 때 균열이 확장된다. 다시 말해 파괴인성()과 임계인장응력()은 암석고유의 값이고, 응력확대계수()와 유발인장응력()는 조건(블럭형상과 균열길이, 하중조건)에 따라 변화하는 값으로 정의하였다.
3.3.2 인장강도과 파괴인성 결합해 제안
단순히 파괴역학만 사용하면 노치길이가 작아질수록 균열확장 필요인장응력이 무한히 증가하고, 0일때는 무한대가 되어 현실적이지 않다. 따라서 노치길이가 0이거나 아주 작을 때 인장강도(BTS)를 입력하여 인장강도로 수렴시키는 방법을 사용하였다. 본 방법을 활용하면 초기 균열개시 조건식과 균열확장 조건식을 결합하면 스플리팅 공정의 균열의 생성부터 진행까지 일련의 과정을 연속적으로 분석할 수 있다. 노치길이비가 0일 때의 균열확장응력에 대상암석의 BTS를 입력하고 그보다 높은 값은 BTS로 수렴된다. 결과적으로 특정 요소의 인장파괴 시 인장강도보다 높은 인장응력이 필요할 수는 없기 때문에 이 조건을 만족하게 된다.
3.3.3 균열확장 결합해 예시
균열확장이 가능한 인장응력조건의 경우 암반 자체의 인장강도(BTS)보다 높은 해는 물리적으로 가능하지 않으므로, 해당 수식은 BTS로 치환하고, 나머지 부분만 파괴역학적 임계응력으로 계산한다.
여기서, 는 균열개시 시점의 유발인장응력이고, 임계 균열확장응력()은 위에서 언급한 무차원 형상계수() 회귀식으로부터 식 (12)와 같이 도출된다.
식 (13)을 통해서 스프리팅 공법 적용 시 암석블럭 기저면의 초기균열개시부터 확장단계 종료 시까지 필요응력을 예측하였다.
4. 브레이커의 타격력
4.1 브레이커의 타격력 조사
치즐 타격력 예측은 타격변형과 단면적, 탄성계수를 통해 예측이 가능하다 . 이를 위해 타격 시험을 진행하였다. 타격 변형량을 보기 위해 별도의 스트레인 게이지를 부착하였으며, 이를 활용하여 타격력(F)을 376.6 tonf으로 도출한 바 있다(Song et al., 2017).
4.2 굴삭기 등급별 예상 타격력 조사
스트레인 게이지를 이용한 유압브레이커 치즐의 타격에너지 시험법을 통해 산출된 굴삭기 등급별 추산된 타격력은 다음 Table 3과 같다. 유압브레이커의 규모의 증가는 치즐 단면적, 유압에너지의 상승효과로 타격력 또한 증가된다. 일반적으로 토목공사에 사용도가 높은 30~36톤급 유압브레이커의 경우, 순간 타격력은 굴삭기 중량의 10배, 유압브레이커 중량의 124배 이상의 힘을 가지는 것으로 조사되었다. Fig. 5를 지수함수로 회귀하면 식 (14)를 얻을 수 있다. 대부분 건설현장에서 사용되는 굴삭기의 등급은 3톤~50톤이므로 해당 식 (14)를 통해서 유압브레이커의 타격력을 예측할 수 있을 것으로 판단된다.
Table 3.
Hydraulic breaker strike force by excavator class (Park et al., 2007, Song et al., 2017, Yoon et al., 2017)
4.3 암석강도별 적정 압입력 분석
본 과정을 통한 최종목적인 암석강도별 적정 압입력을 제안하였다. 식 (9)를 역산해서 인장강도(BTS)에 따른 필요한 압입력(P)을 구한 후 브레이커 자중대비 타격력 그래프의 회귀식(식 (5))을 이용하여 추정할 수 있다(식 (15)). 이 과정에서 우변의 괄호안의 항을 Y로 단순화하면 최종적으로 식 (6-1)을 얻고, 이를 P에 대해 정리하면 식 (16)과 같다.
식 (16)에서 적정 P가 구해지면, 식 (14)에 대입하여 브레이커 자중등급(M)으로 환산할 수 있다(식 (17), (18)). 여기서 타격력()은 식 (17)의 압입력(P)과 같은 의미이다.
식 (15), (16), (17), (18)의 결과를 길이 0.5 m를 가지는 정육면체 암석블록을 스플리팅하는 사례에 대해서 계산하면 Fig. 6과 같다. 이 결과를 통해 현재 제작한 커터의 절삭 수준(컷팅깊이 0.8 m)을 고려하여 분석하면 20~25톤급의 굴삭기로 경암까지 스플리팅이 가능할 것으로 판단된다.
Table 4.
Examples of appropriate pressure input by rock grade and breaker grade conversion (Park and Kim, 2006, Park et al., 2007, Song et al., 2017, Yoon et al., 2017)
5. 결 론
본 기술보고에서는 커팅 스플리팅 공법의 소개와 현장 적용 예측을 위해 고안한 압입력을 추산 분석해를 설명하였으며, 브레이커의 타격력을 추정하였다. 커팅 스플리팅 공법은 기존에 활용하던 유압브레이커의 단점을 보완하며 무진동 암반파쇄의 느린 속도를 보완한 기술로서, 암반을 대형 커터로 절삭 후 치즐이나 스플리터를 이용하여 일정한 크기의 암석블럭을 암반표면으로부터 떼어내는 공법이다. 본 공법을 활용하기 전에 적절한 수준의 암석블록 사이즈를 설정하기 위하여 암석블럭의 스플리팅에 필요한 압입력을 추산하는 분석해를 고안하였다. 유압브레이커의 치즐 타격력을 분석하였으며 굴삭기 등급별 추산된 타격력를 추정하였다. 적정 압입력을 분석한 결과 현재 개발된 2.0 m 커터를 사용하게 되면 20~25톤급의 굴삭기 수준에서 극경암까지 스플리팅이 가능할 것으로 판단된다. 따라서 건설현장에서 일반적으로 활용하는 30톤급 굴삭기의 경우 암석 종류에 관계없이 스플리팅이 가능할 것으로 분석된다.









