1. 서 론
암석 절리는 암반 구조물의 역학적 안정성과 수리적 거동을 결정짓는 핵심적인 요소이며, 특히 심부 지하 환경에서는 열, 수리, 역학적(THM, Thermo-Hydro-Mechanical) 요인이 서로 유기적으로 연계되어 복합적인 거동을 나타낸다. 기본적으로 암석 절리의 유체 유동은 평행 판 모델에 근거한 입방 법칙(Cubic Law)을 통해 설명되지만, 실제 현장의 절리면은 매끄러운 평면이 아니라 복잡한 거칠기를 가지고 있어 유로의 굴곡도와 유효 간극의 불균일성을 초래한다(Witherspoon et al., 1980). 이러한 물리적 특성으로 인해 절리면에 전단 하중이 가해질 경우, 절리면의 돌출부가 서로 맞물리며 위로 타고 올라가는 전단 팽창 현상이 발생하게 된다. 이 현상은 수직 응력이 비교적 낮은 상태에서 절리의 수리적 간극을 급격히 증가시켜 투수성을 비약적으로 향상시키는 결과를 낳는다(Barton et al., 1985). 그러나 수직 응력이 매우 높은 고지압 환경에서는 돌출부의 파손과 마모가 우세하게 나타나며, 전단 변위가 증가함에 따라 생성된 마모 입자들이 오히려 유로를 폐쇄하여 투수성을 저하시키는 복잡한 메커니즘을 보이기도 한다(Bandis et al., 1983).
이러한 수리-역학적 연계 거동은 온도 변화라는 열적 요인이 추가됨에 따라 한층 더 복잡한 열-수리-역학적 복합 거동으로 전이된다. 온도가 상승하면 우선 암석 내부를 흐르는 유체의 점성이 감소하여 유동성이 증가하며, 이는 동일한 압력 구배 조건에서도 투수량을 증가시키는 직접적인 원인이 된다. 동시에 암석 매질 자체의 열팽창으로 인해 절리면이 서로 압착되는 열적 닫힘(Thermal closure) 현상이 발생하는데, 이는 물리적 간극을 감소시켜 수리적 전도성을 억제하는 상반된 효과를 유발한다(Rejeb and Tieba, 2000). 또한, 불균일한 열 분포는 암반 내부에 부가적인 열응력을 유도하며, 이는 기존의 지압 상태와 결합하여 절리의 전단 강도 및 변형 계수를 변화시킨다(Gens et al., 2007).
특히 전단 하중과 온도 부하가 동시에 작용하는 상황에서 유체 유동은 더 이상 선형적인 Darcy 법칙만으로 설명하기 어려운 비선형적 특성을 띠게 된다. 유속이 빨라지거나 전단 팽창으로 인해 간극이 확대되면 관성 효과가 지배적으로 작용하여 레이놀즈 수가 증가하게 되며, 이는 유동 영역의 전이를 야기한다(Zimmerman et al., 1991). 이러한 비선형 유동 특성을 정량화하기 위해 Forchheimer 식이나 Izbash 식과 같은 실험적 모델이 도입되며, 이를 통해 전단 변위와 온도 조건에 따른 비선형 계수의 변화를 추적하는 것이 중요하다. 결과적으로 암석 절리의 THM 거동 평가를 위한 전단-수리 실험은 단순한 물성 측정을 넘어, 열팽창에 의한 응력 변화와 전단에 의한 간극 변화, 그리고 유체 물성 변화가 유기적으로 결합된 시스템적 접근을 필요로 한다(Jing, 2003, Rutqvist and Stephansson, 2003).
이러한 시스템적 접근의 중요성에 따라, 기존 연구들은 암석 절리의 전단-수리 복합 거동을 규명하기 위해 다양한 실험적 노력을 기울여 왔다(Dang et al., 2019, Rong et al., 2016, Xia et al., 2020). 특히 전단 하중 하에서 절리의 투수성 진화 과정을 파악하기 위한 연구들이 활발히 수행되었으며, 이 과정에서 절리면의 거칠기와 유효 간극의 기하학적 변화가 수리적 성질에 미치는 영향이 주요하게 논의되었다(Esaki et al., 1999, Li et al., 2008, Olsson and Barton, 2001, Pirzada et al., 2023, Zhu et al., 2023). 또한, 유속 증가에 따른 비선형 유동 특성을 설명하기 위해 전단 변위와 응력 상태에 따른 유동 영역의 전이를 분석하고, 이를 Forchheimer 식 등으로 정량화하려는 시도가 지속되었다(Gui et al., 2020, Qian et al., 2019). 최근에는 심층 처분장 환경에서의 안전성 평가를 위해 열적 요인을 결합한 연구가 확장되고 있으며, 온도 상승이 절리의 전단 강도와 수리적 전도성에 미치는 복합적인 효과에 대한 데이터가 축적되고 있다(Kim and Jeon, 2016, Zhang et al., 2019). 그러나 대부분의 기존 연구는 특정 온도 조건에서의 단발성 실험이나 정적인 상태에서의 열적 변형에 집중되어 있어, 전단 파괴가 진행되는 전 과정에 걸쳐 온도 부하와 역학적 변형이 실시간으로 경합하며 나타나는 투수성 변화 메커니즘을 규명하는 데는 한계가 있다.
이에 본 연구에서는 고준위방사성폐기물 처분 시스템의 근계 환경을 모사하여 상온 및 고온 조건에서 화강암 인공 절리를 대상으로 전단-수리 복합 실험을 수행하였다. 본 연구는 단순히 온도의 영향을 확인하는 것을 넘어, 실험 과정을 전단 전, 전단 중, 잔류의 세 단계로 정밀하게 구분하여 각 단계별 투수 특성을 계측하였다. 이를 통해 전단 파괴 이전 단계에서 지배적인 열적 닫힘 효과와 파괴 이후 발생하는 전단 팽창 효과가 수리적 거동에 미치는 상대적인 영향력을 규명하고자 한다. 특히, 전단 팽창에 의한 간극 확장이 열적 효과에 의한 간극 축소를 어느 정도 압도하는지를 정량적으로 평가함으로써, 심부 지하 암반의 THM 복합 거동을 보다 정교하게 예측하기 위한 기초 학술 자료를 제공하고자 한다.
2. 실험 방법
본 연구에서는 화강암을 대상으로 심부 지하 환경에서의 절리 암반 거동을 규명하기 위해 전단-수리 복합 실험(Shear-flow coupled test)을 수행하였다. 전체 실험 과정은 단일 시편에 대하여 전단 전(Pre-shear), 전단 중(Shearing), 잔류(Residual)의 3단계로 구분하여 수행되었다. 전단 거동이 발생하기 전과 잔류 상태에서는 절리에 대한 수직 응력 변화에 따른 투수 특성을 평가하였으며, 전단 단계에서는 일정 변위 속도로 전단 파괴를 유도함과 동시에 물을 주입하여 응력 및 변위에 따른 수리 거동의 변화를 실시간으로 계측하였다. 이를 통해 본 연구는 온도, 응력, 그리고 전단 이력이 화강암 절리의 역학적 거동과 수리적 특성에 미치는 복합적인 영향을 분석하였다.
2.1 암석 시편
본 연구의 실험 대상 암석으로는 전라북도 익산시 함열읍 일대에서 산출되는 함열 화강암을 선정하였다. 해당 암석은 국내에서 산출되는 대표적인 화강암 중 하나로, 실험 결과의 신뢰성을 확보하기 위해 균질한 조직을 갖는 블록을 채취하여 실험에 활용하였다. 함열 화강암에 대한 편광현미경 분석 결과, 함열 화강암의 주요 구성 광물은 석영(Quartz, 30.1%), 사장석(Plagioclase, 27.8%), 미사장석(Microcline, 23.6%)으로 나타났으며, 이 외에 흑운모(Biotite, 7.9%)와 백운모(Muscovite, 4.2%) 등이 부구성 광물로 관찰되었다. 전반적으로 석영과 장석류가 우세하게 분포하는 전형적인 화강암의 특징을 보이며, 결정 크기는 중립 내지 조립의 입도 분포를 나타내었다. 또한, 무결암 상태의 공학적 물성을 평가하기 위하여 국제암반공학회(ISRM) 표준 시험법에 준거하여 일축압축시험, 간접인장시험, 틸팅 시험, 열전도도 시험 및 탄성파 속도 측정을 수행하였다. 획득된 함열 화강암의 기본 공학적 물성은 Table 1에 요약된 바와 같다.
Table 1.
Engineering properties of Hamyeol granite
자연 암반 내에 존재하는 절리의 거칠기를 실험실 환경에서 유사하게 모사하기 위하여, 함열 화강암 블록에 인위적인 인장 응력을 가하여 절리를 생성하는 쪼갬 인장(Splitting tension) 방식을 적용하였다(Fig. 1). 이를 위해 암석 시편의 노치(Notch)에 정밀하게 삽입될 수 있는 쐐기(Wedge)가 장착된 특수 하중 프레임을 별도로 제작하였다. 이 하중 프레임은 상판과 하판으로 구성되며, 상부 하중 재하 시 상판이 하판과 완벽한 평행 상태를 유지하며 수직 하강하도록 설계되어 시편에 균일한 인장 응력이 유도되도록 하였다. 절리 생성 과정은 다음과 같다. 먼저 암석 블록의 예정된 파단면에 노치를 가공하고, 하중 프레임의 쐐기가 해당 노치에 정확히 맞물리도록 거치하였다. 이후 다용도 암석역학 실험 시스템(816.04, MTS Systems)을 이용하여 하중 프레임 상판에 일정한 수직 변위 제어 방식으로 하중을 가하였다. 이를 통해 암석 블록 내부에서 인장 파괴가 유도되어 자연스러운 거칠기를 갖는 인공 인장 절리가 생성되었다.
생성된 인장 절리면이 갖는 기하학적 특성을 정량적으로 평가하기 위하여 고정밀 3차원 레이저 스캐너(Gocator 2530, LMI Technologies)를 활용하여 표면 형상을 측정하였다(Fig. 2). 사용된 3차원 레이저 스캐너는 세 개의 센서에서 조사되는 레이저를 이용하여 대상 물체 표면의 3차원 좌표(x, y, z)를 고밀도의 점군(Point cloud) 데이터 형태로 획득하는 장비이다. 본 연구에서는 절리면의 미세한 굴곡까지 정밀하게 반영하기 위하여 수평 방향(x-y 평면) 해상도를 0.1 mm, 수직 방향(z축) 해상도를 0.0015 mm로 설정하여 스캔을 수행하였다. 획득된 3차원 좌표 데이터를 바탕으로 절리면의 거칠기 계수(JRC, Joint Roughness Coefficient)를 산정하였다. 구체적으로는 먼저 프로파일의 Z2(Root mean square of the slope) 값을 산출한 뒤, Tse and Cruden(1979)이 제안한 Z2와 JRC 간의 상관관계식을 적용하여 각 시편의 JRC 값을 결정하였다(Table 2).
Table 2.
Joint characteristics and test conditions
최종적인 전단-수리 실험용 시편은 앞서 생성된 인장 절리를 포함하는 직경 50 mm의 원통형 코어 형태로 제작되었다(Fig. 3). 전단 실험 시 절리면에 전단 응력과 수직 응력이 적절히 작용할 수 있도록, 인장 절리가 포함된 화강암 블록을 20°~30° 범위로 기울인 상태에서 코어링을 수행하였다. 이 과정에서 절리면이 원통형 코어의 측면을 완전히 관통하도록 유도하여, 상·하반이 분리된 형태의 시편을 획득하였다. 코어링이 완료된 후, 시편의 윗면과 아랫면은 절리의 끝단으로부터 약 10 mm의 여유 거리를 확보한 상태에서, 실험 장비의 엔드캡과 밀착될 수 있도록 정밀 연마 작업을 거쳤다. 성형이 완료된 시편의 높이는 110~120 mm 범위를 갖는다. 전단-수리 실험 과정에서 절리면을 따라 유체(물)의 흐름을 유도하기 위해 시편 내부로의 유로를 확보하였다. 이를 위해 화강암 천공에 적합한 드릴 비트(SB-3.0, UNIKA)를 사용하여 시편의 상부와 하부에 각각 직경 3 mm의 주입구와 유출구를 가공하였다. 마지막으로 3차원 레이저 스캐너로 경사진 절리의 3차원 좌표 데이터를 획득하여 코어 축방향에 대한 절리 각도(θ)를 도출하였다. 최종 제작된 실험용 시편의 JRC 값, 절리 각도, 실험 조건을 Table 2에 요약하였다.
2.2 실험 조건
본 연구의 전단-수리 실험은 고온-고압 환경 모사가 가능한 다용도 암석역학 실험 시스템(816.04, MTS Systems)을 기반으로 수행되었다. 또한, 해당 실험 시스템과 호환되는 삼축 압력셀(656, MTS Systems), 구속압 제어기(286.20, MTS Systems), 그리고 공극압 제어기(286.30, MTS Systems)를 같이 활용하였다. 실험 중 암석 시편은 삼축 압력셀 내부에 거치되어 축하중, 구속압, 공극압의 복합적인 응력 상태에 놓이게 된다. 다용도 암석역학 실험 시스템은 최대 2046 kN의 축하중과 100 mm의 축변위 범위 내에서 정밀한 서보 제어(Servo-control)가 가능하며, 재하된 수직 하중은 삼축 압력셀의 상부 피스톤을 통해 시편에 전달된다. 구속압 제어기는 최대 140 MPa의 범위 내에서 작동유의 압력을 제어하여 시편 측면에 등방의 삼축 구속 응력 조건을 형성한다. 아울러 공극압 제어기는 시편 내부로 주입되는 물의 압력을 제어함으로써, 압력셀 내부에서 정수위 투수 시험(Constant head permeability test)이 가능하도록 시스템을 구축하였다.
암석 시편과 작동유의 접촉을 차단하고 공극수압을 독립적으로 제어하기 위해, 시편의 외부 경계는 내화학성과 내열성이 우수한 PFA (Perfluoroalkoxy) 재질의 열수축 튜브로 밀봉하였다. 시편은 삼축 압력셀 하판에 안착시켰으며, 엔드캡에 연결된 주입구 및 유출구 튜빙을 통해 외부의 공극압 제어 시스템과 수리학적으로 연결되었다. 시편의 변형 거동을 직접적으로 계측하기 위해 원주 변형계의 체인을 시편의 정중앙에 감아 횡방향 변형을 실시간으로 측정하였다. 또한, 온도 제어 실험 시 시편 표면의 온도를 정확히 모니터링하기 위해 열전대 2개를 시편의 양 측면에 부착하였다. 실험 동안 발생하는 응력, 변위, 온도 등의 모든 데이터는 DAQ 시스템을 통해 0.1초 간격으로 기록되었다.
본 전단-수리 실험은 일반적인 실험실 환경 온도인 25℃와 고준위방사성폐기물 처분시스템의 근계 절리 암반에서 예상되는 최대 온도인 80℃의 두 가지 열적 조건에서 수행되었다(Kim et al., 2021). 고온 환경 조성을 위해 삼축 압력셀에 장착된 밴드 히터와 온도 제어기를 활용하였으며, 밴드 히터는 최대 300℃ 까지 가열이 가능하다. 목표 온도인 80℃ 조건의 실험을 수행할 경우, 급격한 온도 변화로 인한 암석의 열충격을 방지하기 위해 가열 속도를 분당 3℃ 이하로 정밀 제어하였다. 가열 과정은 시편에 구속압과 축하중이 거의 가해지지 않은 초기 상태에서 시작되었으며, 열팽창에 의한 응력 변화를 최소화하기 위해 온도 상승 구간 동안 수직 응력과 구속압이 일정하게 유지되도록 제어하였다. 목표 온도에 도달한 이후에는 시편 내부까지 열평형 상태를 이루도록 약 1시간 동안 온도를 유지한 후 본 실험을 진행하였다. 전단-수리 실험은 25℃와 80℃ 온도 조건에서 각각 한 개의 시편(A1과 A2)에 대해 수행되었고, 전단 강도에 대한 파괴 포락선을 구하기 위해 전단 실험만 5개 시편(B1~5)에 대해 추가로 수행하였다(Table 2).
전단-수리 실험은 단일 시편에 대하여 전단 거동 단계에 따라 (1) 전단 전(Pre-shear), (2) 전단 중(Shearing), (3) 잔류(Residual)의 3단계(Stage)로 구분하여 수행하였다(Fig. 4).
1단계, 전단 전 초기 수리특성 평가(Pre-shear): 전단 하중을 가하기 전, 초기 절리의 수리적 특성을 평가하는 단계이다. 먼저 절리의 초기 맞물림 상태를 안정화하기 위해 정수압(Hydrostatic pressure)을 15 MPa까지 증가시켰다 제거하는 압밀(Consolidation) 과정을 선행하였다. 이후 전단 변위가 없는 상태에서 정수압을 5, 7.5, 10, 12.5, 15 MPa로 단계적으로 증가시키며 정수위 투수 시험을 수행하였다. 참고로, 고준위방사성폐기물 처분 시스템의 근계환경(심도 500 m)을 모사하기 위해 일반적인 지압 구배(약 26.5~27 MPa/km)를 고려하여 최대 정수압을 15 MPa로 선정하였다. 각 정수압 단계에서 시편의 변형이 수렴하면, 주입압을 1 MPa에서 5 MPa 범위 내에서 조절하며 물을 주입하였다. 유출구는 대기압에 개방된 상태로 유지하였으며, 각 주입압 조건에서 1~2분간 정상 상태(Steady state) 유동을 유도하였다. 이때 절리를 통과한 유출수의 질량은 PC와 연동된 고정밀 전자저울을 통해 실시간으로 전송되어 1초 간격으로 자동 기록되었다.
2단계, 전단 거동과 동시 투수 시험(Shearing): 1단계 종료 후 정수압을 초기화하고, 시편에 0.5 MPa의 구속압을 0.01 MPa/s의 속도로 재하하였다. 이후 축하중을 재하하여 경사지게 형성된 인공 절리면에 전단 변형을 유도하였다. 축하중은 축변위 제어 방식을 적용하여 0.1 mm/min로 일정하게 증가시켰다. 이 과정에서 축하중의 증가에 따라 절리면에 작용하는 수직 응력과 전단 응력이 동시에 증가하게 되며, 전단 응력이 최대 전단 강도에 도달하면서 전단 파괴가 발생한다. 전단이 진행되는 동안 0.1 MPa의 일정한 압력으로 물을 지속적으로 주입하여 전단 변위에 따른 투수성 변화를 모니터링하였다. 최대 전단 강도 도달 이후에도 축 변위를 지속시켜 잔류 전단 강도 상태에 도달하도록 하였으며, 잔류 상태 도달 후 약 0.1 mm의 추가 축변위를 발생시킨 뒤 하중 재하를 종료하였다.
3단계, 잔류 상태 수리특성 평가(Residual): 전단 파괴 및 마찰 거동이 완료된 시편에 대하여 정수압을 초기화하고, 1단계와 동일한 방법으로 정수위 투수 시험을 재수행하였다. 정수압을 5 MPa에서 15 MPa까지 단계적으로 증가시키며 닫힘 거동에 따른 수리 특성을 평가하였다. 이때 주입압은 전단으로 인해 변화된 간극을 고려하여 0.05 MPa에서 0.2 MPa 범위로 설정하여 실험을 수행하였다.
3. 실험 결과 및 분석
3.1 전단 전 단계
Fig. 5는 전단 하중이 재하되기 전 단계(Pre-shear)에서, 25℃ 온도 조건에서 절리의 다양한 수직 응력() 및 주입압(▽P) 조건에 대해 측정된 시간 경과에 따른 유출수의 누적 질량 변화를 나타낸다. 우선, 모든 실험 케이스(Fig. 5(a)~(f))를 분석한 결과, 시간과 유출수 질량의 관계는 매우 높은 선형성(R2 > 0.99)을 나타내었다. 그래프의 기울기는 단위 시간당 흐르는 유체의 질량, 즉 질량 유량(Qm)을 의미하며, 이러한 선형적 거동은 각 수압 단계에서 유동이 난류(Turbulent flow)가 아닌 층류(Laminar flow) 지배적인 정상 상태에 도달했음을 의미한다. 또한, 동일한 수직 응력 조건 내에서 주입압이 증가함에 따라 질량 유량이 비례하여 증가하는 경향을 보였는데, 이는 단일 절리 내 유체 흐름을 설명하는 입방 법칙(Cubic law) 및 Darcy의 법칙이 본 실험의 절리 모델에 유효하게 적용됨을 시사한다. 수직 응력의 크기에 따른 절리의 수리적 거동 특성은 다음 두 가지의 핵심적인 현상을 보였다. 첫째, 수직 응력 변화에 따른 절리의 닫힘 거동이 뚜렷하게 관찰되었다. 압밀(Consolidation) 이후에 수직 응력이 5 MPa에서 15 MPa로 단계적으로 증가함에 따라(Fig. 5(b)→(f)), 동일한 주입압 조건에서의 질량 유량은 현저하게 감소하였다. 예를 들어, 주입압이 3 MPa인 경우를 비교했을 때, 낮은 구속압 조건인 5 MPa에서는 높은 질량 유량을 보인 반면(Fig. 5(b)), 15 MPa 조건에서는 유동 저항이 급격히 증가하여 질량 유량이 크게 감소하였다. 이는 수직 응력이 증가함에 따라 절리면의 거칠기 요철(Asperity)들이 맞물리며 역학적 간극(Mechanical aperture)이 닫히고, 결과적으로 유체가 흐를 수 있는 수리적 간극(Hydraulic aperture)이 축소되었기 때문이다. 둘째, 압밀에 의한 수리적 이력 현상(Hydraulic hysteresis)이 확인되었다. 동일한 5 MPa의 수직 응력 조건임에도 불구하고, 최대 수직 응력(15 MPa)을 경험하기 전 압밀 과정에서 계측한 질량 유량이 하중 재하 및 제하(Loading-Unloading) 과정을 거친 후보다 월등히 높게 측정되었다(Fig. 5(a)와 (b)). 구체적으로 Fig. 5(a)의 압밀 과정에서는 상대적으로 낮은 주입압에서도 급격한 질량 누적을 보인 반면, Fig. 5(b)에서는 동일 압력에서 기울기가 완만해졌다. 이는 선행된 고응력(15 MPa) 압밀 과정에서 절리면 맞물림이 강화되거나 미세 돌기들이 소성 변형을 일으켜, 응력을 초기 상태로 제거하더라도 간극이 완전히 회복되지 않는 영구 변형이 발생했음을 의미한다. 이러한 결과는 절리 암반의 수리 특성 평가 시 응력 이력이 미치는 영향이 중요함을 시사하며, 본 실험에서 수행한 선행 압밀 과정이 실험 결과의 재현성을 확보하는 데 필수적이었음을 보여준다.
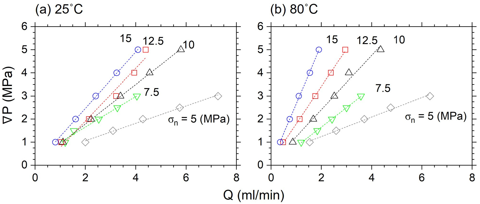
Fig. 6는 25℃와 80℃의 두 가지 온도 조건에 대하여, 절리의 수직 응력() 변화에 따른 주입압(▽P)과 유량(Q)의 상관관계를 도시한 것이다. 우선, 상온(25℃)과 고온(80℃)의 모든 실험 조건에서 주입압과 유량은 뚜렷한 선형 관계를 나타내었다. 이는 본 실험 범위 내의 수리적 구배 조건에서, 절리 내 유체 흐름이 난류가 발생하지 않는 안정적인 층류 상태를 유지했음을 의미하며, 본 연구에서 입방 법칙을 적용한 수리적 간극 산정의 타당성을 뒷받침한다. 수직 응력의 영향 측면에서 살펴보면, 수직 응력이 5 MPa에서 15 MPa로 증가함에 따라 그래프의 기울기가 점진적으로 가파르게 증가하는 경향이 관찰되었다. Fig. 6에서 기울기는 유체의 흐름을 방해하는 정도인 수리 저항을 의미한다. 즉, 수직 응력이 증가함에 따라 절리면의 맞물림이 강화되어 유효 유동 단면적이 감소하였고, 이에 따라 동일한 유량을 발생시키기 위해 더 높은 주입압이 요구되는 절리의 닫힘 거동이 뚜렷하게 나타났다. 반면, 이론적으로 수온이 상승하면 유체의 점성 계수가 감소하여 유동성이 증가(유량 증가)하는 것이 일반적이다. 그러나 본 실험 결과에서는 오히려 80℃ 조건이 25℃ 조건에 비해 동일 응력 및 주입압 하에서 유량이 감소(기울기 증가)하는 경향을 보였다. 예를 들어, 수직 응력 5 MPa 조건에서 동일한 주입압이 가해졌을 때, 80℃에서의 유량이 25℃에 비해 상대적으로 낮게 측정되었다. 이는 고온 조건에서 암석 매질(Rock matrix)의 열팽창으로 인해 절리 간극이 물리적으로 축소되는 효과가, 점성 감소에 의한 유동 증가 효과를 상쇄하고도 남을 만큼 지배적으로 작용했음을 의미한다.
앞서 도출된 주입압과 유량의 선형적인 관계를 바탕으로, 암석 절리의 수리적 거동을 대표하는 물성인 고유 투수 계수(Intrinsic permeability, k)를 산정하였다. 절리 내 유체 흐름이 평행 평판 사이의 층류 흐름을 따른다고 가정할 때, 입방 법칙에 근거하여 수리적 간극(eh)과 고유 투수 계수는 다음의 식 (1)과 (2)으로 정의된다.
여기서 μ는 유체의 점성 계수이며, 25℃와 80℃의 물의 점성 계수인 0.00089 Pa·s와 0.00035 Pa·s를 사용하였다, 또한, L과 W는 수리적 구배가 있는 유동 길이와 폭을 의미하는데, 본 연구에서는 유동 길이를 절리면 상 주입구와 유출구 사이의 거리로 산정하고 폭은 시편의 직경으로 고정하였다. Fig. 7는 상기 식을 통해 산정된 25℃와 80℃ 온도 조건에서의 고유 투수 계수를 수직 응력()에 대하여 나타낸 것이다. 그림에 따르면 수직 응력 증가에 따른 투수성 감소 경향이 정량적으로 확인되었다. 25℃와 80℃의 모든 온도 조건에서 수직 응력이 5 MPa에서 15 MPa로 증가함에 따라 고유 투수 계수는 비선형적으로 감소하였다. 이는 Fig. 6에서 관찰된 수직 응력 증가에 따른 기울기(수리 저항) 증가와 일치하는 결과로, 수직 응력에 의해 절리면이 닫히면서 수리적 간극이 축소되었음을 의미한다. 또한, 압밀 과정에 의한 뚜렷한 수리적 이력 현상이 고유 투수 계수 값의 변화로 명확히 확인되었다. Fig. 7의 5 MPa의 수직 응력에서, 압밀 단계의 고유 투수 계수는 약 1.2·10-11 m2의 값을 보인 반면, 최대 수직 응력(15 MPa)을 경험한 후 다시 5 MPa로 복귀했을 때는 약 0.7·10-11 m2 수준으로 감소하였다. 이는 초기 압밀 과정에서 발생한 절리면 맞물림 향상과 절리 요철의 소성 변형으로 인해 투수성이 약 50% 가량 비가역적으로 감소했음을 의미한다. 마지막으로, 고온 환경에서의 열적 닫힘 효과가 관찰되었다. 일반적으로 80℃ 조건에서는 물의 점성이 낮아져 유동 자체는 원활해질 수 있으나, 점성 효과를 수식적으로 보정한 고유 투수 계수를 비교해 보면 이야기가 다르다. 동일한 수직 응력 조건에서 80℃의 고유 투수 계수는 25℃의 고유 투수 계수보다 일관되게 낮은 값을 나타내었다. 고유 투수 계수는 유체의 성질과는 무관한 암석 절리 고유의 기하학적 특성이므로, 이 결과는 고온 조건에서 암석 매질의 열팽창으로 인해 절리면의 물리적 간극이 좁아졌음을 시사한다.
응력에 따라 실제로 절리가 얼마나 닫히는지를 나타내는 역학적 간극(em)을 평가하기 위하여 수직 응력과 절리 닫힘량의 관계를 분석하였다. Fig. 8는 25℃와 80℃ 조건에서 계측된 수직 응력()에 따른 역학적 간극의 변화량(∆em)과 이를 이용한 초기 역학적 간극 산정 과정을 보여준다. 먼저 Fig. 8(a)를 보면, 수직 응력이 증가함에 따라 역학적 간극의 변화량, 즉 절리의 닫힘량은 비선형적으로 증가하는 거동을 보였다. 하중 초기 단계에서는 작은 응력 증가에도 비교적 큰 변형이 발생하였으나, 응력이 고응력 단계(15 MPa)로 갈수록 그래프의 기울기가 급격히 증가하며 더 이상 닫히지 않는 수렴 경향을 나타내었다. 이는 전형적인 암석 절리의 비선형적 닫힘 거동에 해당한다. 이러한 비선형적 닫힘 거동을 정량화하고 절리의 초기 역학적 간극을 역산하기 위하여, Bandis et al.(1983)이 제안한 쌍곡선 모델(Hyperbolic model)을 적용하였다. 절리의 닫힘 거동은 다음의 식 (3)과 같이 표현될 수 있다.
여기서 a와 b는 실험 상수이다. 이 식을 선형 회귀 분석이 용이하도록 변환하면 식 (4)와 같이 나타낼 수 있다.
이때 수직 응력이 무한대로 갈 때 도달하는 최대 역학적 닫힘량은 a/b로 정의된다. 본 연구에서는 이 최대 닫힘량이 곧 초기 상태의 벌어진 정도인 초기 역학적 간극과 등가라고 가정하였다. Fig. 8(b)는 식 (4)를 이용하여 선형 회귀 분석한 결과를 도시한 것이다. 분석 결과, 25℃와 80℃ 조건의 데이터 모두 높은 결정 계수를 갖는 선형적인 관계를 보여 쌍곡선 모델이 본 실험 결과에 잘 부합함을 확인하였다. 도출된 회귀식의 기울기(b)와 절편(a)을 이용하여 초기 역학적 간극을 산정했을 때, 25℃와 80℃ 조건의 초기 역학적 간극은 각각 0.0900 mm와 0.1082 mm로 계산되었다. 산정된 결과에 따르면, 80℃ 조건에서의 초기 역학적 간극이 25℃ 대비 약 20% 더 크게 평가되었다.
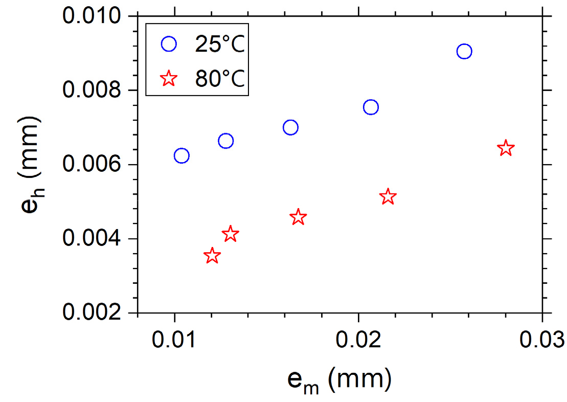
Fig. 9는 앞서 도출된 초기 역학적 간극으로부터 계산한 역학적 간극(em)과 입방 법칙을 통해 역산된 수리적 간극(eh)의 상관관계를 보여준다. 분석 결과, 25℃와 80℃의 모든 실험 조건에서 역학적 간극이 증가함에 따라 수리적 간극 또한 증가하는 양의 상관관계를 보였다. 또한, 25℃와 80℃의 조건에서 수리적 간극이 역학적 간극에 비해 작게 평가되는 현상이 관찰되었다. 그림에서 역학적 간극은 약 0.01~0.03 mm 범위에 분포하는 반면, 대응되는 수리적 간극은 약 0.003~0.009 mm 수준으로, 비율(eh/em)로 환산할 경우 0.5 미만의 낮은 값을 나타내었다. 이는 실제 절리면이 평행 평판이 아닌 거칠기를 가진 표면으로 이루어져 있어, 유체의 유동 경로가 직선이 아닌 굴곡진 형태를 띠고 요철의 접촉부가 유동을 방해하기 때문이다. 즉, 물리적으로 벌어진 틈(즉, 역학적 간극)에 비해 유체가 실제로 흐를 수 있는 유효 통로(즉, 수리적 간극)는 훨씬 좁다는 일반적인 절리 유동 이론과 잘 부합한다. 추가로, 그림으로부터 고온 조건에서의 유동 효율 저하 현상이 확인되었다. 동일한 역학적 간극을 기준으로 비교할 때, 80℃의 수리적 간극이 25℃ 보다 아래에 위치하였다. 이는 고온 환경에서 암석 매질의 열팽창이 단순히 간극의 크기만을 줄이는 것이 아니라, 절리 표면의 미세 구조를 변화시켜 유체의 굴곡도를 증가시키거나 유동을 방해하는 접촉 면적을 증가시켰음을 시사한다.
3.2 전단 단계
Fig. 10은 25℃ 조건(B1 시편)에서 전단을 발생시키는 단계(Shearing)의 실험 결과로, 축변위(Axial displacement) 증가에 따른 각 응력 성분(축응력, 전단 응력, 수직 응력, 구속압)의 변화 양상을 나타낸다. 본 실험은 0.5 MPa의 일정한 구속압 하에서 축변위 제어 방식(0.1 mm/min)으로 수행되었다. 그림에서 확인되는 바와 같이, 축방향 하중(Axial stress)이 재하됨에 따라 절리면에 작용하는 전단 응력(Shear stress)과 수직 응력(Normal stress)이 동시에 점진적으로 증가하는 경향이 관찰되었다. 이는 경사지게 형성된 절리면의 기하학적 특성에 기인한 것으로, 연직 방향으로 작용하는 축응력이 절리면 상에서 분해되어 전단 성분과 수직 성분으로 나뉘어 전달되기 때문이다. 특히, 그림에서 전단 응력의 증가 기울기가 수직 응력보다 가파르게 나타나는 것은 절리의 경사각이 축하중 방향에 대해 전단 응력이 우세하게 작용하는 각도로 형성되었음을 의미한다. 응력-변위 곡선의 거동을 분석해 보면, 축변위 약 0.65 mm 지점까지는 응력이 점진적으로 증가하다가, 최대 전단 강도(Peak shear strength)인 11.77 MPa에 도달하는 순간 급격한 응력 강하가 발생하였다. 이때 큰 폭의 축응력 강하가 전단 응력과 수직 응력의 급격한 감소를 동반하였다. 참고로, 본 실험에서 관찰되는 급격한 축응력 강하는 구속압을 가하는 작동유가 낮은 강성을 가지기 때문으로 보인다. 전단 파괴 시 발생하는 절리의 순간적인 미끄러짐을 작동유가 지탱하지 못하면서 시편의 변위를 완벽히 제어하지 못하고, 이때 시편 윗면과 이와 접해 있던 엔드캡이 순간적으로 떨어지면서 축응력이 크게 강하한 것으로 추측한다. 최대 전단 강도 이후에는 축변위가 지속적으로 증가함에 따라 응력이 일정 수준에서 수렴하며 잔류 전단 강도(Residual shear strength) 상태에 도달하였다. 잔류 상태에서의 응력 곡선은 완전히 평탄하지 않고 미세한 등락을 보이는데, 이는 파괴된 요철의 파편이나 잔존하는 거칠기가 전단 과정에서 마찰 저항을 유발하는 '스틱-슬립(Stick-slip)' 혹은 '요철 타기(Riding-over)' 현상에 의한 것으로 판단된다.
Fig. 11은 25℃ 조건(6개 시편)과 80℃ 조건(1개 시편)에서 수행된 총 7개 시편의 실험 결과를 종합하여(Table 2), 수직 응력과 전단 강도의 관계를 도시한 것이다. 각 시편의 최대 전단 강도와 잔류 전단 강도를 구분하여 그림에 나타내었다. 그림에 따르면 25℃ 조건의 경우 수직 응력이 증가함에 따라 최대 전단 강도와 잔류 전단 강도 모두 뚜렷한 선형적 증가 추세를 보였다. 추가로, 25℃ 조건의 데이터에 대해 선형 회귀 분석을 수행하고, 파괴 포락선(Failure envelope)과 마찰각(Friction angle)을 도출하였다. 최대 전단 강도에 대한 마찰각은 60.5°로 평가되었으며, 이러한 높은 마찰각은 인공적으로 생성된 인장 절리의 표면이 매우 거칠고, 요철들이 서로 강하게 맞물려 있어 전단 시 상당한 요철의 저항과 전단 팽창이 발생했음을 의미한다. 잔류 전단 강도에 대한 마찰각은 약 61.5°로 최대 전단 강도의 마찰각과 유사하거나 소폭 높은 수치를 나타내었다. 일반적으로 전단 파괴 후에는 요철이 마모되어 마찰각이 감소하는 것이 통상적이나, 본 실험에서는 낮은 수직 응력 범위에서의 데이터가 잔류 마찰각 산정에 주된 영향을 미친 것으로 판단된다. 참고로, 최대 전단 강도와 달리 잔류 전단 강도의 낮은 수직 응력은 전단 파괴 시점에서의 축응력의 급격한 감소가 수직 응력을 큰 폭으로 감소시켰기 때문이다. 마지막으로, 전단 강도에 대한 온도의 영향은 미미한 것으로 나타났다. 80℃의 고온 조건에서 수행된 시편(적색 별)의 최대 및 잔류 전단 강도 데이터는 25℃ 데이터로 구축된 파괴 포락선 상에 거의 정확히 위치하였다. 앞선 수리적 특성 분석에서는 80℃ 조건이 열팽창에 의한 간극 폐쇄를 유발하여 투수성을 크게 저하시킨 것과 대조적으로, 전단 강도 측면에서는 25℃에서 80℃ 범위의 온도 상승이 암석 절리의 마찰 저항 능력에 유의미한 저하를 일으키지 않음을 확인하였다.
Fig. 12는 25℃와 80℃ 조건의 실험에서 암석 절리의 전단에 따른 전단 응력과 유량의 변화를 보여준다. 참고로, 전단이 진행되는 동안 물을 0.1 MPa의 일정한 주입압으로 암석 시편에 지속적으로 주입하였다. 실험 결과, 전단 응력의 발현 단계에 따라 수리적 거동은 전단 수축에 의한 유량 감소 구간과 전단 팽창에 의한 유량 급증 구간으로 명확히 구분되었다. 전단 응력이 증가하여 최대 전단 강도에 도달하기 전까지의 초기 구간을 살펴보면, 유량은 미세하게 감소하거나 낮은 수준을 유지하는 경향을 보였다. 25℃ 조건의 경우 초기 약 2 ml/min 수준이던 유량이 파괴 직전 약 1 ml/min 수준으로 감소하였으며, 80℃ 조건에서도 유사한 감소 경향이 관찰되었다. 이는 축응력 증가에 따라 절리면에 작용하는 수직 응력이 동반 상승하면서, 절리 간극이 닫히는 전단 수축 현상이 지배적으로 작용했기 때문이다. 특히 80℃ 조건의 초기 유량(약 0.8 ml/min)이 25℃ 조건(약 2 ml/min)보다 낮게 형성된 것은, 앞선 전단 전 단계(Pre-shear)의 분석 결과와 일치하게 고온 열팽창에 의한 초기 간극 축소 효과가 반영된 것이다. 반면, 전단 응력이 최대 전단 강도에 도달하고 취성 파괴가 발생하는 순간에 유량은 폭발적으로 증가하는 양상을 보였다. 파괴 직후 잔류 전단 강도 상태로 전이되면서 유량은 25℃와 80℃ 조건 모두에서 100 ml/min 이상으로 급증하였다. 이는 파괴 전 유량 대비 약 두 차수(Order of magnitude) 이상 증가한 수치이다. 이러한 급격한 수리 전도성의 증가는 전단 파괴 시 절리면의 거칠기 요철들이 서로 타고 넘어가거나 파단되면서 절리 간극이 물리적으로 크게 벌어지는 전단 팽창 현상에 기인한다. 주목할 만한 점은 온도 효과의 상쇄이다. 전단 파괴 이전에는 80℃ 조건의 유량이 25℃보다 낮게 측정되어 열적 닫힘 효과가 뚜렷했으나, 전단 파괴 이후에는 두 온도 조건 모두에서 유량이 높게 측정되어 온도에 따른 차이가 거의 없었다. 이는 전단 팽창에 의해 생성된 역학적 간극의 크기가 열팽창에 의한 미세한 간극 축소 효과를 압도할 만큼 충분히 크기 때문으로 해석된다. 그러므로, 암석 절리의 수리적 거동은 전단 파괴 이전에는 응력과 온도에 의한 절리의 닫힘 거동이 지배적이지만, 전단 파괴 이후에는 역학적 팽창 거동이 지배적으로 작용하여 수리적 성능을 결정짓는 것을 확인하였다.
Fig. 13은 전단 전 단계(Pre-shear)와 전단 단계(Shearing)에서 획득한 고유 투수 계수(k)와 절리의 수직 응력()을 함께 도시한 것이다. 또한, 전단 단계의 데이터는 최대 전단 강도 시점을 기준으로 전단 파괴 전(Pre-peak)과 전단 파괴 후(Post-peak)로 구분하였다. 그림에 따르면 동일한 수직 응력 범위에서 비교할 때, 전단 응력이 작용하지 않는 전단 전 단계의 고유 투수 계수보다 전단 응력이 작용하는 전단 단계의 Pre-peak에서 고유 투수 계수가 약 2~4배 높게 형성되는 경향을 보였다. 이는 비록 전단 파괴에는 도달하지 않았더라도, 전단 응력이 가해짐에 따라 절리 요철이 미세하게 미끄러지거나 전단 방향으로의 변위가 발생하면서, 순수 수직 응력만 작용할 때보다 간극이 더 넓어졌음을 나타낸다. Pre-peak에서는 전단이 진행됨에 따라(화살표 방향), 수직 응력이 증가하고 이에 따라 고유 투수 계수가 점진적으로 감소하는 경향이 뚜렷하다. 이는 축응력 증가가 수직 응력 증가로 이어져 절리 간극을 닫으려는 힘으로 작용하였고, 전단 파괴 전까지는 전단 팽창보다 응력에 의한 닫힘이 우세했음을 보여준다. 이 Pre-peak 구간에서는 25℃ 대비 80℃의 고유 투수 계수가 낮게 측정되어, 열적 닫힘 효과가 여전히 유효하게 작용하고 있음이 확인되었다. 반면, Post-peak에서는 전단 파괴로 인해 고유 투수 계수가 급격히 증가하여 그림의 상단 영역으로 전이되었다. 이 구간에서 고유 투수 계수는 약 10-10 m2 수준이며, 이는 전단 전 단계 대비 약 1~2 차수(Order of magnitude) 증가한 수치이다. 특히 주목할 점은 온도에 따른 차이이다. Pre-peak 구간에서 명확하게 존재하던 25℃와 80℃의 고유 투수 계수 간의 차이가, Post-peak 구간에서는 거의 없었다. 즉, 전단 파괴 후에는 온도 조건에 관계없이 유사한 범위의 높은 고유 투수 계수를 나타내었다.
3.3 잔류 단계
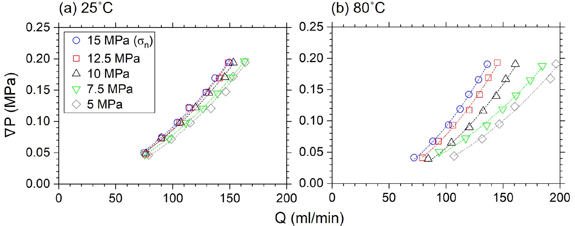
Fig. 14는 전단 파괴 이후 잔류 전단 강도에 도달한 상태에서, 수직 응력()을 5 MPa에서 15 MPa로 단계적으로 증가시키며 수행한 정수위 투수 시험 결과를 보여준다. 잔류 상태에서는 전단 팽창에 의해 절리 간극이 크게 확장되었음을 고려하여, 주입압(▽P)을 0.05~ 0.20 MPa의 낮은 범위로 설정하여 실험을 수행하였다. 실험 결과로부터 도출된 잔류 단계의 수리적 특성은 다음과 같다. 첫째, 전단 팽창에 의한 획기적인 수리 전도성 향상이 확인되었다. 전단 전 단계에서는 최대 5 MPa의 높은 주입압을 가했음에도 유량이 1~8 ml/min 수준에 불과하였으나, 잔류 단계에서는 0.2 MPa의 매우 낮은 주입압에서도 150~200 ml/min에 달하는 막대한 유량이 관측되었다. 이는 전단 파괴 시 발생한 전단 팽창으로 인해 절리의 수리적 간극이 크게 확장되었음을 입증한다. 둘째, 높은 유량에 따른 Non-Darcy 유동 특성이 관찰되었다. 전단 전 단계에서는 주입압과 유량 간의 완벽한 선형 관계를 보인 것과 달리, 잔류 단계에서는 유량이 증가함에 따라 주입압-유량 곡선의 기울기가 점차 가파라지는 아래로 볼록한 비선형 거동이 확인되었다. 이는 전단 팽창으로 인해 유속이 급격히 빨라짐에 따라, 유체 흐름이 층류 영역을 벗어나 난류 혹은 천이 영역으로 진입하였음을 의미한다. 셋째, 잔류 단계에서의 수리적 특성의 응력 의존성을 확인하였다. 25℃와 80℃ 조건 모두에서 수직 응력이 5 MPa에서 15 MPa로 증가함에 따라 그래프의 기울기(수리 저항)가 증가하는 경향을 보였다. 이는 전단 팽창으로 인해 절리폭이 크게 벌어진 상태라 하더라도, 수직 응력이 가해지면 요철의 접촉점이 눌리거나 재배열되면서 간극이 다시 좁아지는 닫힘 거동이 여전히 발생하고 있음을 시사한다. 마지막으로, 온도에 따른 응력 민감도의 차이가 뚜렷하게 관찰되었다. 25℃ 조건의 경우, 수직 응력이 5 MPa에서 15 MPa로 증가하더라도 그래프의 기울기 변화가 크지 않고 데이터가 밀집된 양상을 보였다. 이는 상온에서는 잔류 상태의 절리면이 비교적 높은 강성을 유지하여 응력 증가에 따른 닫힘 변형이 제한적임을 의미한다. 반면, 80℃에서는 수직 응력 증가에 따라 데이터 간의 간격이 넓게 벌어지며 기울기가 뚜렷하게 증가하는 경향을 보였다. 특히, 저응력(5 MPa) 대비 고응력(15 MPa)에서의 유량 감소폭이 상온에 비해 크게 나타났다.
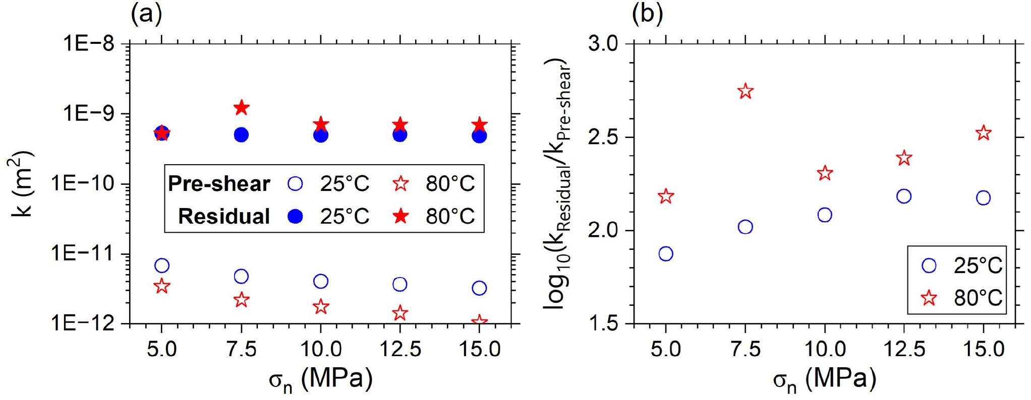
Fig. 15는 전단 전 단계(Pre-shear)와 잔류 단계(Residual)의 고유 투수 계수 변화 양상과 그 증가 비율을 수직 응력에 따라 나타낸 것이다. 분석 결과, 전단 파괴와 이에 수반된 팽창 거동이 암석 절리의 수리적 성능을 비약적으로 향상시켰음을 확인하였다. 우선 Fig. 15(a)를 살펴보면, 10-12~10-11 m2 수준에 머물던 초기 고유 투수 계수는 전단 파괴 과정을 거치며 잔류 단계에서 약 5·10-10 m2 수준으로 급증하였다. 이는 투수성이 약 두 차수, 즉 100배가량 향상되었음을 의미하며, 전단 팽창이 절리의 수리적 간극을 크게 확장시켰음을 의미한다. 특히 주목할 점은 온도 효과의 변화이다. 전단 전 단계에서는 열적 닫힘 현상으로 인해 80℃ 조건의 투수성이 25℃보다 뚜렷하게 낮게 형성되었으나, 잔류 단계에서는 이러한 온도 간 차이가 거의 사라지고 두 조건의 데이터가 거의 중첩되는 경향을 보였다. 이는 전단 팽창에 의해 생성된 거시적인 역학적 간극이 미세한 열적 닫힘 효과를 압도함으로써, 파괴 후 암반의 수리적 거동은 온도가 아닌 전단 파괴의 영향을 크게 받았음을 나타낸다. 또한, Fig. 15(b)에 제시된 전단 전 단계 대비 잔류 단계의 투수성 향상비(kResidual/kPre-shear)는 수직 응력이 5 MPa에서 15 MPa로 증가함에 따라 점진적으로 우상향하는 추세를 나타내었다. 이는 수직 응력이 증가할 때, 전단 전 단계에서의 절리는 맞물림에 의한 닫힘 거동이 우세하여 투수성이 급격히 감소하는 반면, 전단 파괴된 절리는 거칠기 요철에 의한 지지 효과로 인해 고응력 하에서도 상대적으로 높은 투수성을 유지하기 때문으로 판단된다. 아울러 80℃ 조건의 투수성 향상비가 25℃보다 전반적으로 높게 산정된 것은, 잔류 단계의 투수성은 온도 별로 유사하나 전단 전 단계의 투수성이 열적 효과로 인해 80℃에서 매우 낮았기 때문에 나타난 상대적인 결과로 해석된다. 참고로, 80℃ 조건의 7.5 MPa 단계에서 관찰되는 일부 높은 수치는 국부적인 유동 불안정이나 일시적인 계측 오차에 기인한 것으로 판단된다.
4. 결 론
본 연구에서는 심부 지하 환경에서 암석 절리가 나타내는 열-수리-역학적(THM) 복합 거동을 규명하기 위해 함열 화강암의 인공 인장 절리를 대상으로 25℃ 및 80℃ 조건에서의 전단-수리 복합 실험을 수행하였다. 실험을 통해 전단 변위와 온도 변화가 절리의 투수성에 미치는 영향을 단계별로 분석하였으며, 그 주요 결론은 다음과 같다.
⦁전단 전 초기 단계(Pre-shear)에서 암석 절리의 투수성은 수직 응력과 온도 변화에 민감하게 반응하는 것으로 나타났다. 수직 응력이 5 MPa에서 15 MPa로 증가함에 따라 절리의 닫힘이 발생하여 유량과 고유 투수 계수가 비선형적으로 감소하였다. 특히, 80℃의 고온 조건에서는 유체의 점성 감소에 따른 유동성 향상 효과보다 암석 매질의 열팽창으로 인한 절리 간극의 열적 닫힘 효과가 지배적으로 작용하여, 상온 대비 투수성이 오히려 낮게 측정되는 양상을 보였다.
⦁전단 하중이 가해지는 단계(Shearing)에서 암석 절리는 전형적인 취성 파괴 거동과 함께 급격한 수리 전도성의 변화를 나타냈다. 축하중이 증가함에 따라 초기에는 전단 수축에 의해 유량이 미세하게 감소하였으나, 최대 전단 강도에 도달하여 전단 팽창이 발생하는 순간 유량은 약 두 차수 이상 폭발적으로 증가하였다. 이러한 급격한 유동성 증가는 전단 파괴 시 발생하는 절리의 팽창량이 열팽창에 의한 간극 축소 효과를 완전히 압도했기 때문으로 해석된다.
⦁잔류 단계(Residual)에서의 수리 특성은 높은 유속으로 인해 선형적인 Darcy 법칙에서 벗어난 비선형(Non-Darcy) 유동 특성을 보였다. 전단 파괴로 인해 확장된 간극을 통해 막대한 유량이 흐르면서 유동 영역이 층류에서 난류 또는 천이 영역으로 진입하였으며, 이는 주입압-유량 곡선의 비선형적 기울기 변화로 입증되었다. 또한, 잔류 상태에서도 수직 응력 증가에 따른 닫힘 거동이 여전히 발생하였으며, 특히 고온 조건에서 응력 증가에 따른 유량 감소폭이 상온보다 크게 나타나 온도에 따른 응력 민감도의 차이를 확인하였다.
본 연구는 화강암 절리의 열-수리-역학적 복합 거동을 규명하는 데 유의미한 결과를 도출하였으나, 실험에 사용된 시편이 특정 범위의 거칠기(JRC)를 가진 화강암 인공 절리에 국한되어 있어, 실제 암반 내의 다양한 거칠기 특성을 완전히 대변하기에는 한계가 있다. 또한, 삼축 압력셀 내 구속압을 가하는 작동유의 낮은 강성으로 인해, 전단 파괴 시 발생하는 순간적인 미끄러짐을 완벽하게 제어하지 못하였다. 이로 인해 파괴 직후의 천이 과정을 보다 정밀하게 분석하는 데 제약이 있었다. 그럼에도 불구하고, 본 연구는 온도와 전단 변위의 경합에 따른 투수성 변화 메커니즘을 정량적으로 제시하였다는 점에서 큰 의의가 있다. 도출된 결과는 고준위방사성폐기물 심층처분 시스템의 근계 암반 거동을 예측하고 안전성을 평가하기 위한 기초 학술 자료로 충분히 활용될 수 있을 것으로 기대된다.


















