1. 서 론
2. 강우 침투 조건의 비탈면 문제
2.1 수치해석 모델 및 분석 조건
2.2 연계해석 조건
3. 강우 침투에 따른 지반거동 및 비탈면 안정성 분석
3.1 지반거동 및 비탈면 안정성
3.2 포화투수계수 및 상대 투수성이 미치는 영향
3.3 초기 포화도 조건이 미치는 영향
3.4 체적변형률 연계항이 미치는 영향
4. 결 론
1. 서 론
지구온난화에 따른 기후변화로 인해 전세계 곳곳에서 한파와 폭설, 집중호우, 가뭄 등 이상기후가 빈번하고 강하게 발생하면서 인명 및 재산피해, 자연훼손과 같은 환경 문제로 이어지고 있다. 국내도 예외는 아니어서 국지성 집중호우 등 기상이변으로 인한 피해가 국가적 재난으로 확대되고 있으며, 국민생활과 산업 전반에 걸쳐 직접적으로 영향을 미치고 있다. MOIS(2022)에 따르면, 2022년 자연재해 원인별 재산피해 중 호우 및 태풍으로 인한 피해가 각각 56.1%, 41.1%이었고, Fig. 1과 같이 2013~2022년 기간의 원인별 피해액에서도 태풍과 호우가 차지하는 비중이 큰 것으로 집계되었다. 또한, KOSTAT(2025)은 최근 10년간 국내의 산사태로 인한 피해면적 및 사망자 통계를 제시하였다(Fig. 2). 통계자료의 산사태는 집중호우, 태풍 등에 의해 지반이 붕괴하는 자연재해로 정의되었고, 기상이변으로 인해 빈발화, 대형화하는 추세라고 언급하였다. 강우 시 지중으로 침투된 물은 흙 속의 수분을 증가시켜 지반의 함수비(또는 포화도) 증가 및 지하수위 상승을 유발하여 지반구조물의 안정성이 저하될 수 있다. 비탈면의 경우, 강우로 인해 표토 침식이 발생하여 국부적으로 지반이 유실될 수 있고, 빗물이 지반의 간극을 통해 내부로 흘러들면서 토체의 하중이 증가하여 비탈면의 활동(sliding) 가능성이 높아질 수 있다. 강우 침투로 인한 간극수압의 상승은 토체의 미끄러짐에 저항하려는 마찰력 감소로 이어져 비탈면의 안정성이 저하된다. 또한, 실트, 점토 등 세립질 토사와 같이 모세관 현상이 발생할 가능성이 높은 지반의 경우, 불포화대에서 형성된 유효응력을 증가시키는 부의 간극수압(negative pore water pressure)이 강우로 인해 감소하거나 소멸되어 비탈면 안정성이 감소할 수 있다.

Fig. 2.
Annual casualties and damaged areas from landslides in Korea over the last 10 years (KOSTAT, 2025)
Chen et al.(2008)에 따르면, 강우로 인한 비탈면의 안정성은 강우의 강도 및 지속시간, 지반의 투수성에 의해 영향을 받는다. 즉,강우강도가 크고 지속시간이 길어지수록 지반 내부로 유입되는 누적 침투수량이 증가하므로 비탈면의 안정성은 감소하며, 반면에 강우강도가 크지만 지속시간이 짧은 경우에는 상대적으로 침투량이 작아져 안정성에 미치는 영향이 줄어들게 된다. 강우 시 지반 내부로의 침투수량은 지반의 투수성과 관련되는데, 강우강도가 지반 투수성보다 작은 경우 대부분의 빗물은 지중으로 침투될 수 있지만, 반대로 강우강도가 지반 투수성을 초과하는 경우에는 일부 빗물은 땅속으로 흡수되지 않고 비탈면 밖으로 흘러내리는 유출(runoff), 즉 표면수가 발생할 수 있다(Da et al., 1993). 동일한 강우조건에서 지반의 투수성이 큰 경우에는 일정시간 동안 땅속으로 침투되는 물의 양이 많아지므로 단기간에 안정성이 저하될 가능성이 있다. 한편, 비탈면 아래 얕은 깊이에 기반암이 분포하거나 낮은 투수성의 지반인 경우, 강우 침투가 얕은 깊이까지만 진행되어 지표면 근처에 임시 지하수위가 형성되고 이로 인해 비탈면 표면부에서 파괴 가능성이 높을 수 있고, 반면에 지반의 투수성이 높은 경우에는 빗물 침투가 상대적으로 깊은 심도까지 발생하여 비탈면 파괴 심도가 깊어질 수 있다. 우기 시 비탈면 안정성 평가를 위한 지하수위 조건은 해당현장에 대한 지반조사 결과를 적용하거나 보수적인 설계를 위해 지표면 포화상태를 가정할 수 있다. 실무적으로는 강우 침투로 인한 비탈면 안정성 해석은 해당지역의 강우조건을 반영한 침투해석을 수행하여 지반의 지하수위(간극수압) 분포를 분석하고, 산정된 수리적 조건을 반영하여 한계평형해석이나 유한요소해석 등 수치해석 기법에 의해 안정성이 분석된다(MOLIT, 2016). 한계평형해석에서는 사전에 가정된 토체의 활동면(sliding surface)을 따라 미끄러지는 힘과 이에 저항하는 힘의 역학적 관계로부터 비탈면 안정성을 분석하므로 강우 발생 후 시간경과에 따른 지반의 변형, 응력, 함수비, 간극수압 등 역학 및 수리적 거동의 변화를 파악하기 어렵다. 수치해석 기법을 이용한 강우 시 비탈면 안정성 평가와 관련하여 Borja and White(2010), Hu et al.(2011), Kim et al.(2012), Cho(2015) 등 다양한 기존 연구들이 있었으며, 수리-역학적 거동을 연계한 수치해석에 의해서는 시간경과에 따른 수리 및 역학적 거동, 비탈면 안전율의 변화가 함께 분석될 수 있다.
본 연구에서는 수리-역학적 거동을 연계한 수치해석에 의해 강우 침투로 인한 비탈면 안정성 및 지반 거동의 변화를 분석하였다. 수리거동 해석을 위한 TOUGH 수치코드(LBNL, 2025)와 역학거동 계산을 위한 FLAC3D 수치코드(Itasca, 2025)가 연계된 수치해석이 수행되었으며, 본 연구를 통해 TOUGH-FLAC 연계기법의 비탈면 수리-역학 해석에서 적용성을 분석하고자 하였다. 비탈면의 안정성은 Dawson et al.(1999)이 제안한 전단강도감소 기법(shear strength reduction method)의 안전율을 토대로 계산되었다. 본 연구에서는 지반의 역학적 물성(강도정수) 보다는 수리적 조건의 변화에 초점을 두고 강우 침투에 따른 비탈면 안정성을 조사하였다. 지반의 초기 포화도, 상대 투수성 모델, 포화투수계수(saturated permeability) 조건에 따른 강우 개시 후 시간경과에 따른 비탈면 안정성의 변화 , 지반의 수리 및 역학적 거동을 분석하였으며, 수리역학 연계해석을 위해 연동되어야 하는 연계항이 해석결과에 미치는 영향을 조사하였다.
2. 강우 침투 조건의 비탈면 문제
2.1 수치해석 모델 및 분석 조건
본 연구에 적용한 강우 침투에 따른 비탈면 안정성 해석을 위한 수치모델은 Fig. 3과 같다. 해석영역의 크기는 가로 67 m, 세로 30 m, 비탈면 높이는 10 m, 비탈면의 종방향 길이는 1 m로 설정되었다. 토사 지층조건을 고려하여 비탈면 경사는 1:1.2로 경사각 39.8°이었다(MOLIT, 2016). 강우 발생 전 초기 지하수위는 비탈면 바닥부에 수평하게 위치하는 것으로 가정하였다. 역학해석에서는 종방향의 해석영역이 단위 길이로 모델링되어 평면변형률 조건이 적용되었다. 역학적으로는 좌우측 경계는 수평변위, 바닥부 경계는 수직변위가 발생하지 않도록 설정하였고, 수리적으로는 좌우측 및 바닥부 경계면에 무흐름(no flow) 조건이 적용되었다. Table 1은 본 연구에서 적용한 지반 물성을 나타낸다. 액체 포화도에 따른 지반의 상대 투수성은 van Genuchten(1980)이 제안한 식들(식 (1), (2), (3), (4))을 이용하여 모델링되었고, 적용한 매개변수 값들은 Table 2와 같다. 매질 내 모세관 현상은 발생하지 않는 것으로 가정하여 지하수면 상부에는 간극수압이 작용하지 않는 것으로 설정하였다. Fig. 4는 본 예제에 적용된 강우 시작 전의 초기 포화도 조건을 나타내며, 지하수면 하부는 포화도 100%, 지하수면으로부터 상부로 이격거리가 증가함에 따라 포화도가 감소하는 것으로 가정하였으며 지표의 초기 포화도는 0.5로 설정하였다.
여기서 krl과 kgl은 각각 액체와 기체의 상대 투수성(= 0~1), λ는 모델 매개변수, Sl과 Sgr은 각각 액체와 잔류 기체 포화도, Sls와 Slr은 각각 포화 및 잔류 액체 포화도로서 액체와 기체의 상대 투수성이 100%인 Sl 경계값들이다.
Table 1.
Material properties used in the present study
Table 2.
Parameters for van Genuchten’s relative permeability function used in the present study
| λ (-) | Slr (-) | Sls (-) | Sgr (-) |
| 0.88 | 0.01 | 0.99 | 0.1 |
Heo et al.(1999)은 국내의 주요 우량관측소(rain gauge station) 22개 지점의 매년 최대치 강우자료에 대한 빈도해석을 수행하여 재현기간(빈도)과 지속시간의 함수인 확률 강우강도식(식 (5))을 제안하였고, KICT(2000)는 강우강도식의 회귀모형 적합도를 높이기 위해 국내 지역별로 강우 지속시간을 단기간 및 장기간으로 분류하여 분석하였다. Table 3은 Heo et al.(1999) 제안식의 서울, 대전 지역에 대한 매개변수값을 나타낸다(KICT, 2000). 본 연구에서 적용한 강우강도는 40 mm/hr, 지속시간은 3시간이었다. 이 강우조건은 대전과 서울 지역의 각각 15년 및 11년 발생빈도의 강우량에 해당되고, 강우 지속시간이 3시간이므로 장기간 강우에 대한 매개변수들이 적용되었다. TOUGH-FLAC 연계해석에서는 빗물의 지반 내부로의 침투와 비탈면 밖으로의 유출을 분리하기 어려우므로 강우강도가 지반 투수성을 초과하지 않도록 강우조건이 설정되었다. 즉, 강우강도(40 mm/hr = 1.11×10-5 m/sec)는 지반의 투수성(1.2×10-5 m/sec)보다 작게 적용되었다. 식 (6)은 수리해석에 적용된 강우 시 침투 수량을 나타낸다.
여기서 I는 강우강도(mm/hr), t와 T는 각각 강우 지속시간(min)과 재현기간(year), a, b, c, d, n은 강우지역에 대해 산정되는 회귀상수들이다.
여기서 m은 침투 수량(kg/sec), ρw는 물의 밀도, Asurf는 강우가 침투하는 지표면 해석 셀의 면적, I는 강우강도(m/sec)이다.
Table 3.
Parameters for the rainfall intensity formula (KICT, 2000)
강우 침투로 인한 시간경과에 따른 비탈면 지반의 거동 변화를 분석하기 위해 Fig. 5와 같이 계측위치를 설정하였다. 지반의 포화도, 응력, 변위, 강도응력비가 측정되었으며, 총 계산시간은 강우 시작 후 10시간이었다.
2.2 연계해석 조건
본 비탈면 문제의 수리 및 역학 거동에 대한 지배방정식은 식 (7), (8), (9), (10), (11)과 같이 표현될 수 있다. 식 (7)~(8)은 매질 내 유체의 질량 균형방정식(mass balance equation), 식 (9)~(10)은 지반의 운동량 균형방정식(momentum balance equation)이다. 식 (11)은 매질의 체적변형으로 인한 공극률의 변화를 나타낸다(Touhidi-Baghini, 1998). 본 연구에서 적용한 TOUGH 코드의 유체 지배방정식은 식 (12)~(13)과 같고, 이는 식 (7)~(8)에 대응하는 유체거동 방정식이다. 지반의 열-수리 연계거동 분석을 위해 개발된 TOUGH 코드(Jung et al., 2018)에서는 식 (7)의 단위시간당 매질의 체적변형률 변동항이 반영되지 않은 것으로 조사되었다. 이와 관련된 내용은 Park(2023, 2024)에서도 언급되었으며, 본 연구에서는 이 변동항이 고려된 TOUGH-FLAC 연계해석 알고리즘을 적용하여 수치해석을 수행하였다.
여기서 C는 매질 전체의 압축성(overall compressibility), Cf와 Cs는 각각 유체와 고체의 압축성, p는 유체압력, n은 매질의 공극률, s는 포화도, α는 Biot coefficient, εv는 체적 변형률, Qw는 유체의 용출/용입항(source/sink term), σij는 전응력(total stress), ρm은 지반의 밀도, bi는 단위질량당 체적력, σ‘ij는 유효응력, δij는 Kronecker delta, ni는 초기 공극률이다.
여기서 M은 성분 κ의 질량 축적항(accumulation term), F는 단위면적을 흐르는 질량 유량(mass flux), q는 유체의 용출/용입, n은 지반의 공극률, p는 유체 압력, β는 유체의 상(fluid phase), S는 유체 포화도, ρ는 유체 밀도, X는 유체성분의 질량 비율(mass fraction)이다.
본 연구에서 비탈면 안정성은 Dawson et al.(1999)이 제안한 전단강도감소 기법의 안전율에 의해 분석되었다. 전단강도감소 기법은 bracketing approach에 의해 지반의 점착력 및 내부마찰각을 감소시켜 수치계산이 수렴되지 않는 강도정수 값까지 반복적으로 계산을 수행하고, 수치계산이 미수렴되는 강도정수 값에서 해당구조물이 파괴된 것으로 간주하여 안전율을 구한다. 식 (14)~(15)는 강도감소 계수(임시 안전율)에 의해 감소된 점착력과 내부마찰각을 구하는 식들이다. 본 연구의 강우 발생 전 초기 지하수위 조건(Fig. 3)에서 초기 안전율은 2.38로 계산되었다. 시간경과에 따른 TOUGH-FLAC 연계해석 시 각 timestep에서 수치계산이 완료된 후, FLAC에서 전단강도강소 기법에 의해 해당 timestep에서 비탈면 안전율을 분석하고, 이후 다음 timestep의 연계해석 및 안전율 계산이 진행되도록 알고리즘이 작성되었다.
여기서 c와 ϕ는 각각 현장의 점착력(MPa)과 내부마찰각(°), Ftrial은 강도정수를 감소시키기 위한 계수(즉, 임시 안전율), ctrial과 ϕtrial은 Ftrial에 의해 감소된 점착력(MPa)과 내부마찰각(°)이다.
3. 강우 침투에 따른 지반거동 및 비탈면 안정성 분석
3.1 지반거동 및 비탈면 안정성
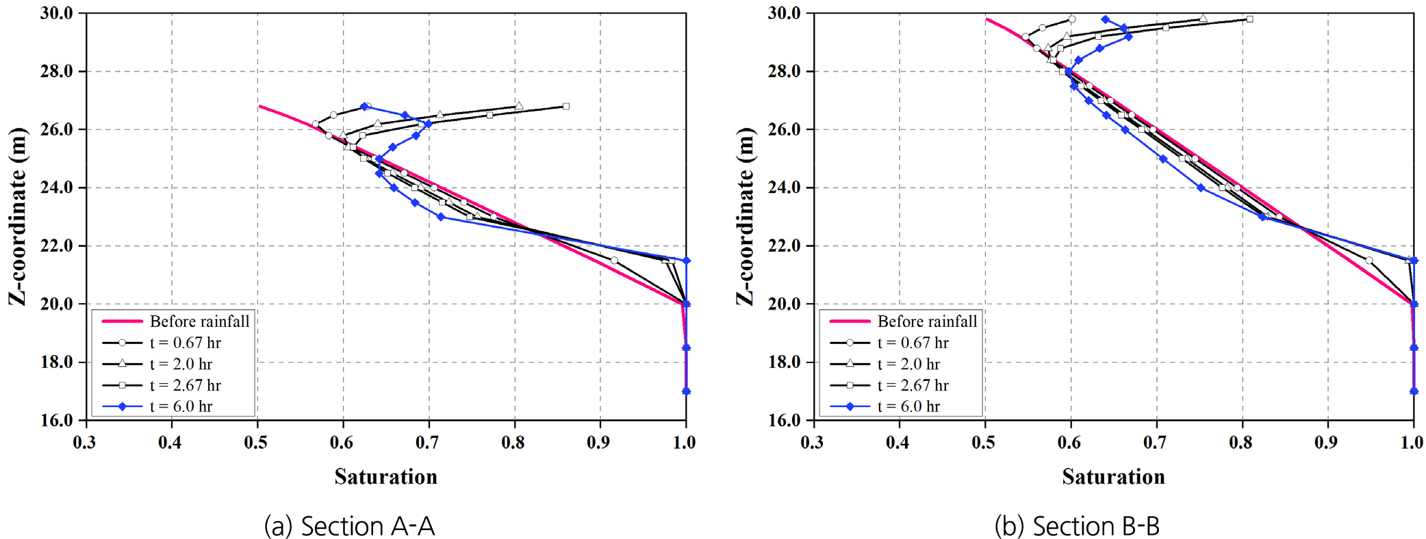
강우 침투로 인한 시간경과에 따른 지반의 포화도 변화는 Figs. 6~7과 같이 분석되었다. Fig. 6은 강우 발생 후 2시간 및 3.33시간 경과시점에서 포화도 분포이고, Fig. 7은 계측위치 Section A-A, B-B에서 측정된 포화도를 나타낸다. 그림으로부터 빗물 침투로 인해 강우시간의 증가에 따라 지표면 하부 지반에서는 포화도가 점진적으로 높아지고, 강우 종료 후에는 지표면으로부터 물 유입이 중단되며 침투된 물이 아래로 이동함에 따라 포화도가 감소하는 경향을 보였다. 비탈면 바닥의 상부 지반에서는 강우 침투로 인해 포화도가 증가하고, 지표면으로부터 유입된 물이 비탈면 하부 지반에 누적됨에 따라 강우 종료 이후에도 포화도가 증가하는 것으로 나타났다.
계측위치 Section A-A에서 강우 침투에 따른 역학적 거동(변위, 응력)의 변화는 Fig. 8과 같으며, 강우 발생 전 지반변형을 초기화하여 강우 개시 전의 지반변위의 초기값은 0(zero)이었다. 그림으로부터 강우시간의 경과에 따라 비탈면 부분의 수평 변위가 증가하고, 지반 유효응력은 감소하는 경향이 나타났다. Fig. 9는 계측위치 Section A-A에서 측정된 시간경과에 따른 강도응력비 분포로서, 비탈면 부분의 강도응력비가 강우 발생 이전의 초기값에 비해 작아지면서 비탈면의 안정성이 감소하는 것을 알 수 있었다. Fig. 10은 계측지점 P1~P3에서 측정된 수평 변위와 최대 전단변형률 증분(shear strain increment)을 나타내는 그림으로, 비탈면 바닥 부근의 지반(P1)에서 수평 변위와 전단변형이 다른 지점들에 비해 크게 발생하는 것으로 분석되었다. Fig. 11은 강우 침투에 따른 비탈면 안정성을 분석한 결과로서 전단강도감소 기법에 의해 계산된 시간경과에 따른 안전율의 변화 및 회귀분석에 의해 추정된 시간에 따른 안전율 상관관계(식 (16))를 나타낸다. 그림으로부터 강우 시작 후 시간경과에 따라 안전율이 감소하고 강우 종료 후에는 일정값으로 수렴하는 경향을 보이는 것을 알 수 있다.
여기서 FS는 비탈면 안전율, t는 강우 개시 시점으로부터 경과한 시간이다.
3.2 포화투수계수 및 상대 투수성이 미치는 영향
본 연구에서는 2절의 해석 case(이하 “Case_REL1_S1”이라고 함)를 기준으로 지반의 포화투수계수 및 상대 투수성 모델의 변화에 따른 비탈면 안정성을 비교 분석하였다. Table 1의 포화투수계수의 2배를 적용한 해석 case (Case_REL1_S1_Perm2X)와 Fig. 12(b)와 같이 상대 투수성 모델을 설정한 해석 case (Case_REL2_S1)에 대해 추가로 연계해석이 수행되었다. Fig. 12(a)의 REL1 type은 Table 2의 매개변수 값을 갖는 van Genuchten 상대 투수성 모델로서, 물의 상대 투수성이 액체 포화도(SL)의 감소에 따라 포화도 100%의 투수성(포화투수계수)에 비해 점진적으로 줄어드는 지반을 나타내며, Azmi et al.(2019)의 오타와 모래(Ottawa sand), 광산 모래(mining sand)에서 유사한 조건의 상대 투수성이 조사되었다(Figs. 13(a)~(b)). REL2 type은 일정 포화도 범위(SL = 0.75~1.0)에서 물의 상대 투수성이 100%로 유지되는 지반으로 설정되었으며, Kuang and Jiao(2011)의 실트질 점토(silty clay), You(2019)의 화강편마암질 잔류토(granitic gneiss residual soil)에서 유사한 형태의 상대 투수성이 조사되었다(Figs. 13(c)~(d)).
상기의 해석 case들에 대해 비탈면 안정성을 분석한 결과는 Fig. 14와 같으며, 강우 개시 후 시간경과에 따른 안전율의 변화를 나타낸다. 앞서 3.1절의 Case_REL1_S1에 대한 해석결과와 유사하게 강우시간의 경과에 따라 안전율이 감소하고, 강우 종료 후에는 일정값으로 수렴하는 것으로 분석되었다. 앞서 Case_REL1_S1에 비해 지반의 포화투수계수가 2배로 증가한 Case_REL1_S1_ Perm2X의 경우(Fig. 14(a)), 동일 시간대에서 비탈면의 안전율이 더 감소하는 것으로 나타났으며, 이로부터 투수성이 큰 지반일수록 비탈면의 안정성 저하가 상대적으로 빠르게 진행될 수 있음을 유추할 수 있다. Fig. 14(b)는 Table 1의 포화투수계수 조건에서 상대 투수성 모델에 따른 비탈면 안전율의 변화를 나타낸다. 그림으로부터 일정 포화도 범위(SL = 0.75~1.0)에서 물의 상대 투수성이 100%로 유지되는 REL2 type의 경우(Case_REL2_S1), Case_REL1_S1에 비해 안전율의 감소가 상대적으로 빠르게 진행되는 것으로 분석되었는데, 이는 동일한 포화도 조건에서 REL1 type에 비해 물의 상대 투수성이 높게 유지되어 나타난 결과로 판단된다. 위의 결과들로부터 지반의 포화투수계수와 상대 투수성은 강우 침투로 인한 비탈면의 안정성에 영향을 미치는 주요 인자임을 알 수 있었고, 투수성이 클수록 단기간에 비탈면의 안정성이 저하될 가능성이 있으므로 지반의 투수계수와 상대 투수성 모델의 신뢰도 확보가 중요할 것으로 판단된다. Fig. 15는 Case_REL1_S1, Case_REL2_S1에 대해 전단강도감소 기법에 의해 분석된 강우 개시 후 2시간 경과시점에서 비탈면 파괴 직전의 최대 전단변형률 증분의 분포를 나타내고, 등고선(contour)의 상한 및 하한 경계값, 간격이 동일한 조건에서 그려진 결과이다. 2개 case의 전단변형률 분포는 유사한 형태로 육안상 큰 차이는 보이지 않지만, 비탈면 선단(toe) 및 상단의 일부 부분에서 Case_REL2_S1의 최대 전단변형률 증분이 Case_REL1_S1에 비해 상대적으로 크게 발생하는 것으로 나타났다.

Fig. 13.
Relative permeability models for (a) Ottawa sand, (b) mining sand (Azmi et al., 2019), (c) granitic gneiss residual soil (You, 2019), and (d) silty clay (Kuang and Jiao, 2011)
3.3 초기 포화도 조건이 미치는 영향
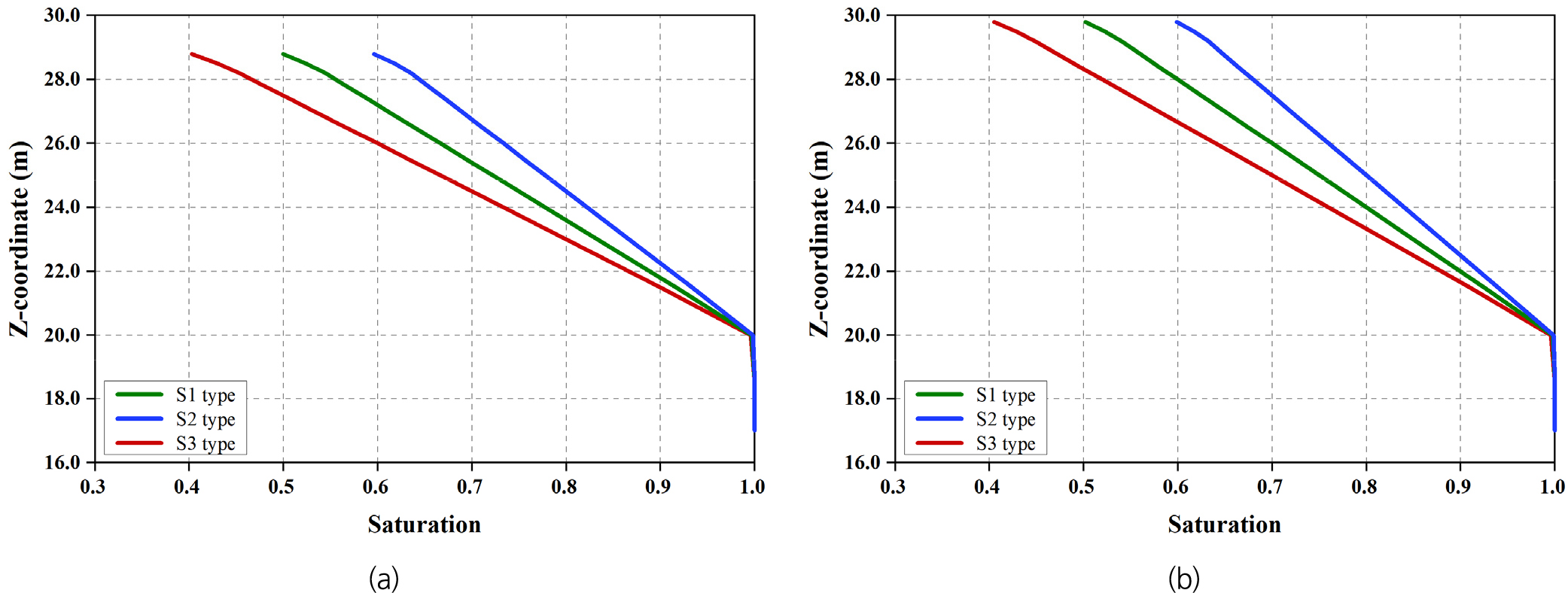
강우 발생 전 지하수위 상부 지반의 포화도 조건이 비탈면 안정성에 미치는 영향을 조사하기 위해 Fig. 16과 같이 초기 포화도를 설정하고, 2절의 해석 case인 Case_REL1_S1을 기준으로 지반의 포화도 변화에 따른 비탈면 안정성이 비교 분석되었다. Fig. 16은 계측위치 Section A-A, B-B에서 포화도 값을 나타낸다. 그림의 S2 type은 S1 type의 Case_REL1_S1에 비해 초기 포화도가 높은 조건, S3 type은 S1 type에 비해 초기 포화도가 낮은 조건을 나타낸다. S1 type은 앞서 2.1절의 Fig. 4의 초기 포화도 조건으로 Case_REL1_S1 해석에 적용되었다. S1~3 type의 초기 포화도 분포범위는 각각 0.5~1, 0.6~1, 0.4~1이었고, 세 가지 포화도 조건들은 지하수면 하부는 포화도 100%, 지하수면으로부터 상부로 거리가 멀어짐에 따라 포화도가 감소하는 형태로 설정되었다. Fig. 17은 초기 포화도 조건에 따른 비탈면 안정성 결과를 나타낸다. 세 가지 해석 case들에 대해 강우 개시 후 시간경과에 따라 비탈면의 안전율이 감소하고 강우 종료 후에는 일정값으로 수렴하는 경향을 보였으며, 지반의 초기 포화도가 클수록 동일 시간대에서 안전율이 더 감소하는 것으로 분석되었다. 강우 발생 전 포화도가 높은 지반일수록 비탈면의 안정성 감소가 빠르게 진행될 수 있음을 알 수 있었고, 강우 침투로 인한 비탈면 안정성 해석 시 비탈면 구간의 전반적인 포화도 분포 특성을 파악하기 위한 지반조사가 중요할 것으로 판단된다.
3.4 체적변형률 연계항이 미치는 영향
본 연구에서는 별개의 수치코드인 TOUGH와 FLAC3D를 이용하여 수리역학 연계해석이 수행되므로 유체 및 고체 거동에 대한 지배방정식을 구성하는 연계항들이 수치모사 시 적절히 고려되어야 한다. 본 연구의 비탈면 예제의 경우, 수리에서 역학해석으로 전달되는 자료는 지반의 포화도와 유체압력이고, 수리해석에 반영되는 역학적 정보는 공극률과 체적변형률이다. 간극수압, 포화도, 공극률은 FLAC3D와 TOUGH의 입력변수이므로 이 자료들은 각 수치코드에서 직접 반영이 가능하다. 한편, 앞서 2.2절에서 언급한 대로 유체의 지배방정식을 구성하는 체적변형률 관련 연계항은 원본 TOUGH 소스코드에는 포함되어 있지 않다. 따라서 본 연구에서는 이를 고려한 TOUGH-FLAC 연계해석 알고리즘을 적용하여 체적변형률 연계항의 반영 여부에 따른 비탈면 안정성을 비교 분석하였다.
Fig. 18은 앞서 2절의 해석 case인 Case_REL1_S1의 유체거동 계산 시 체적변형률 연계항의 적용 여부에 따른 안정성 해석결과를 나타낸다. 그림으로부터 체적변형률 연계항의 고려 여부에 따라 시간에 따른 안전율의 변화에 다소 차이가 있지만 거의 동일한 수준의 안정성을 보이는 것을 알 수 있다. 체적변형률 연계항의 적용 여부에 따른 안전율 차이는 연계항을 고려한 안전율 값을 기준으로 -0.283~0.153%로 분석되어 그 차이가 크지 않아 본 연구의 비탈면 문제에서는 역학에서 수리해석으로 전달되는 체적변형률 정보는 유체거동의 계산에 크게 영향을 미치지 않음을 알 수 있었다. Fig. 19는 체적변형률 연계항으로 인한 단위시간당 간극수압의 변화를 나타내고, 계측위치 Section A-A의 해석 셀에서 계산되었다. 체적변형률 연계항으로 인한 간극수압의 변화는 -2.8×10-1 ~3.84×10-1 Pa/sec로 분석되어 연계해석의 timestep마다 역학계산을 위해 입력되는 간극수압의 산정에 미치는 영향이 크지 않은 것으로 판단된다. Figs. 18~19로부터 체적변형률 연계항은 비탈면의 안정성 해석에 크게 영향을 미치지 않고, 이는 본 비탈면 문제의 경우 유체거동 지배방정식의 체적변형률 연계항이 포함되지 않은 원본 TOUGH 소스코드에 의해서도 지반거동이 적절히 모사될 수 있음을 알 수 있다. 다만, 비탈면의 기하학적 형상(기울기, 높이), 지층 및 강우 조건, 외부하중 조건이 달라지는 경우, 체적변형률 연계항이 비탈면 안정성 및 지반거동의 해석결과에 영향을 미칠 수 있으므로 추후 TOUGH-FLAC 연계해석을 이용한 추가 검토가 필요할 것으로 판단된다.
4. 결 론
본 연구에서는 TOUGH-FLAC 연계기법에 의해 강우 침투에 따른 비탈면 안정성 및 지반 거동을 분석하였고 연계해석으로부터 얻은 주요 결과는 다음과 같다. 강우 침투로 인해 시간경과에 따라 비탈면의 안전율이 감소하고 강우 종료 후에는 일정한 수준으로 안전율이 수렴하는 경향을 보였으며 시간에 따른 안전율 예측식이 추정되었다. 지반의 포화투수계수와 상대 투수성 조건이 비탈면 안정성에 미치는 영향을 분석한 결과, 포화투수계수가 클수록 동일 시간대에서 안전율 감소가 더 크게 발생하는 것으로 나타났고, 낮은 포화도에서 물의 상대 투수성이 높게 유지되는 지반의 경우, 안전율의 감소가 상대적으로 빠르게 발생하는 것으로 조사되어 지반의 포화투수계수와 상대 투수성은 강우 침투로 인한 비탈면의 안정성에 영향을 미치는 주요 인자임을 알 수 있었다. 지반의 초기 포화도 분포가 안정성에 미치는 영향을 분석한 결과, 초기 포화도가 높을수록 동일한 시간에서 안전율이 더 감소하는 것으로 검토되어 지반조사 시 비탈면 구간의 전반적인 포화도 분포 특성을 파악하는 것이 중요할 것으로 판단된다. 수리역학 해석을 위한 유체거동 지배방정식의 체적변형률 연계항이 안정성 계산결과에 미치는 영향을 분석한 결과, 본 연구의 비탈면 문제의 경우 강우 침투로 인한 체적변형률의 변화가 크지 않아 이 연계항이 고려되지 않은 원본 TOUGH 코드에 의해서도 지반거동이 적절히 모사될 수 있는 것으로 검토되었다. 다만, 비탈면의 기하학적 형상, 지반물성 및 지층 조건, 외부하중 및 강우 조건 등에 따라 체적변형률 연계항이 안정성 분석에 미치는 영향이 달라질 수 있으므로 이에 대한 추가 검토가 필요할 것으로 판단된다.
한계평형해석법에 의한 비탈면 해석은 비탈면의 안전율 정보만 제공하지만, 유한요소법 등을 활용한 수치해석에서는 안전율 및 지반거동 자료를 얻을 수 있다. 설계단계에서 강우 침투로 인한 비탈면 안정성을 평가하는 경우, 수치해석을 이용하여 시간경과에 따른 지반거동의 변화를 분석하고, 획득된 지반정보는 비탈면의 붕괴 위험성 평가를 위한 안전관리(계측관리) 자료로 활용될 필요가 있을 것으로 판단된다. 또한, 본 연구에서와 유사하게 강우 개시 후 시간경과에 따른 비탈면 안정성 예측식을 추정하고, 이를 실제 강우 발생 시 안정성의 변화 예측 및 재해 발생 가능성을 미리 알려주기 위한 조기경보 자료로 활용하는 방안을 고려할 필요가 있을 것으로 판단된다. 한편, 강우 발생 시 비탈면의 경사와 지반의 물리적 성질에 따라 빗물은 지반 내부로의 침투 및 비탈면 밖으로 흘러내리는 유출로 분리될 수 있다. 즉, 비탈면에서 강우 발생 시 강우강도가 지반 투수성보다 작은 경우 대부분의 빗물은 땅속으로 침투될 수 있다. 반대로 강우강도가 지반 투수성보다 크면 일부 빗물은 지반으로 흡수되지 않고 외부로 흘러내릴 수 있는데, 설정된 강우가 모두 지반 내부로 유입된다는 가정 하에 수리해석을 수행하는 경우, 지하수위가 과대 산정될 수 있으므로 이를 검토할 필요가 있다. 본 연구에서는 실제 현장의 복합적인 지층 분포 및 다양한 비탈면 조건을 고려하지 않았고, 현장 측정자료와의 비교가 수행되지 않은 한계가 있으므로 향후 이에 대한 추가 연구가 필요할 것으로 판단된다.




















