1. 서 론
2. 연구 방법
2.1 암석 시험편
2.2 완충재 충전 방법
2.3 불연속면 거칠기 측정 장비
2.4 직접 전단 시험기 및 전단시험 프레임
2.5 불연속면 파괴기준식 및 크리프 전단응력 산정
2.6 크리프 모델
2.7 전단 크리프 시험
3. 시험 결과
3.1 전단 크리프 시험 결과
3.2 불연속면의 거칠기 변화
3.3 크리프 모델 적용
4. 결 론
1. 서 론
현재 고준위 방사성폐기물(HLW, High-Level Radioactive Waste)을 처리하기 위한 방법 중 가장 신뢰받는 방법은 심층처분(Deep geological disposal)방식이다(Birkholzer et al., 2012, Wang et al., 2018). 고준위 방사성 폐기물 처분시스템은 처분용기(Canister), 완충재(Buffer) 등을 포함한 공학적 방벽(EBS, Engineered Barrier System)과 근계암반인 천연방벽으로 구성된 다중방벽으로 구성되며, 여기서 천연방벽은 처분구조물의 장기 안전성 확보를 위한 최종적인 지질학적 차폐 기능을 수행 한다(Kim et al., 2025a). 그러나 처분장 건설 과정에서는 필연적으로 암반 내 굴착손상영역(EDZ, Excavation Damaged Zone)이 형성될 수 있으며, EDZ 내에 존재하는 암반 균열 및 근계암반 내 존재하는 기존 절리면은 장기간 하중 작용에 따라 연약면으로 기능하여 처분시스템의 구조적 안전성을 저해시킬 수 있다. 특히 이러한 암반 균열 및 절리는 처분시스템으로의 지하수 유입을 촉진할 수 있는 불리한 경로를 형성하게 되며, 완충재는 지하수 유입에 따라 포화 및 팽윤이 진행된다. 완충재의 팽윤 특성에 의해 발생한 팽윤압은 절리 틈으로의 침투를 유도하여 절리면 주변의 응력 재분포와 변형을 야기한다. 이러한 암석 절리면–완충재 간 상호작용은 처분시스템 주변 역학적 평형상태를 변화시키며, 처분 구조물의 장기 안정성에 직접적인 영향을 미친다.
한편, 암석 절리면의 장기거동은 크리프(creep) 현상으로 표현할 수 있으며, 이는 보통 1차 크리프(transient creep), 2차 크리프(steady-state creep), 3차 크리프(acceleration creep)로 구분된다(Boukharov et al., 1995). 크리프 현상은 하중 수준과 시간 의존성에 의해 지배되며, 선행연구를 통해 국내 결정질 암석 절리면에서 이러한 크리프 거동이 실험적으로 확인되었다(Yoon et al., 2010, Kim et al., 2025b). 또한, 절리면의 크리프시험 시 전단특성은 간극 내 충전된 충진물의 종류, 두께 등 충진물의 특성에 의해 영향을 받는 것으로 보고되고 있다(Malan et al., 1998, Solberg et al., 1978). 그러나 선행연구에서 벤토나이트의 팽윤 특성(Al-Badran et al., 2017, Kim et al., 2021), 수리적 특성(Park et al., 2021, Yoon et al., 2021), 절리 내부로의 침투(Xu et al., 2022, Kohno and Kaneuji, 2024)에 대한 연구는 활발히 진행되었지만, 충진물의 침투가 절리면의 장기거동에 미치는 영향에 대해서는 체계적 연구가 부족하다(Ha et al., 2025). 이에 처분시스템의 정량적 장기 안전성 평가를 위해서는 절리면-완충재의 상호작용을 반영한 실험 및 해석 기반의 데이터 축적이 필수적이며, 점탄성ㆍ점소성 계수, 시간의존 전단강도 파라미터 등 전단 크리프 모델 입력물성 획득을 통한 크리프 모델의 구축이 필요하다.
본 연구에서는 절리면을 포함한 국내 암석을 대상으로 벤토나이트를 도포한 후 장기전단시험을 수행하여 절리면의 시간의존적인 거동특성과 단기전단강도에 대비한 장기전단강도의 수준을 파악해보고자 하였다. 또한, 선행연구(Kim et al., 2025b)인 완충재가 충전되지 않은 절리면을 대상으로한 장기전단시험 결과와 비교 및 분석하고자 하였다. 절리면에 가해지는 전단하중 수준에 따른 절리면의 크리프 거동을 확인하기 위해 다양한 하중 수준을 부여하여 시험을 수행하였으며, 완충재의 두께에 따른 절리면의 크리프 거동을 비교하기 위해 각기 다른 두께의 완충재를 도포하여 시험을 수행하였다. 또한, 전단 크리프 시험으로부터 획득되는 시간-전단변위 그래프로부터 크리프 모델의 구축을 위한 크리프 물성을 획득하였으며, 전단 크리프 시험 도중 절리면의 거칠기 변화를 관찰하였고, 절리 표면의 기하학적 특성 변화에 따른 전단거동의 변화를 파악해보고자 하였다.
2. 연구 방법
2.1 암석 시험편
불연속면 암석 시험편으로는 전라북도에서 채취되는 황등화강암을 사용하였다. 이 암석의 일축압축강도는 184 MPa로, 경암으로 분류된다. 본 연구의 시험편은 거칠기 인공절리면을 포함하도록 제작되었고, 인공절리면의 획득을 위해 130 × 120 × 150 mm(가로×세로×높이) 규격의 직사각형 블록을 사용하였다. 직사각형 블록의 상하부에 쐐기를 압입해 인장균열면을 발생시켜 시험편을 제작하였다. 또한 직접전단시험기 장치 제약과 KSRM(2009) 표준 전단시험법의 최소 시험편 크기 기준을 반영하여, 전단면에서 요구되는 유효면적을 확보할 수 있도록 시험편 치수를 설정하였다. 시험편의 초기 JRC는 10~13 범위였고, 전단방향은 시험편 장축인 130 mm 방향으로 정의하였다. 반복 시험 과정에서 변화하는 거칠기는 휴대용 3D 스캐너로 표면 형상을 취득하고, 그로부터 Z₂를 계산하여 산정하였다. 반복 시험이 필요한 점을 반영해 동일 시험편을 재사용하되, 시험편이 쪼개지거나 모서리 손상으로 유효 전단면적이 현저히 달라질 경우에는 해당 시험편을 제외하고 교체하였다.
2.2 완충재 충전 방법
심층처분에서 완충재인 벤토나이트가 처분공 주변 암반의 절리로 침투된 것을 모사하기 위해, 수화된 벤토나이트를 한쪽 절리면에 도포한 후 시험편이 정밀하게 맞물리도록 위치를 조정하여 하중 플레이트 사이에 장착하였다. 벤토나이트층이 최대한 일정한 초기 두께를 갖도록 벤토나이트를 16개의 작은 용기에 소분한 뒤, 절리면을 16등분하여 각 구역에 균일한 양을 도포하였다. 또한, 도포 전ㆍ후로 절리면 가장자리에서 도포 두께를 반복적으로 확인하여 완충재 두께의 편차를 최소화하였다. 절리면에 벤토나이트를 도포하기 전, 건조된 벤토나이트에 증류수를 첨가하여 함수비 113% 조건의 혼합물을 준비하였다. 절리 내부로 침투한 벤토나이트는 함수비에 따라 페이스트, 겔, 졸 등 서로 다른 상으로 나타날 수 있다(Fig. 1). 본 연구에서는 페이스트 상태를 가정하여 함수비를 113%로 설정하였다. 벤토나이트 두께는 면적이 15,600 mm2인 절리면에 1 mm와 4 mm두께로 조건을 설정하였다. 벤토나이트는 Clariant in Korea에서 제공한 Bentonil-WRK(제조: 2023년 7월)로 선정하였다. 해당 제품은 칼슘 벤토나이트로 분류되며, 주요 광물 구성비는 몬모릴로나이트 70.7%, 조장석 14.4%, 크리스토발라이트 12.0%, 석영 2.0%이다(Ha et al., 2025). 참고로 Bentonil-WRK는 통일분류법(USCS)에 근거할 때 고소성 실트(MH)로 분류된다(Yoon et al., 2024). Fig. 2는 벤토나이트의 도포 및 실험 중ㆍ후의 전반적인 과정을 나타낸 흐름도를 나타내었다.

Fig. 1.
Schematic illustration of a High-Level Nuclear Waste Disposal System and the rheological states of buffer penetrating rock fractures (Modified from Birgersson et al., 2009)
2.3 불연속면 거칠기 측정 장비
본 연구에서는 한정된 수량의 암석 시험편을 반복적으로 사용하여 전단 크리프 시험을 수행하였다. 반복 사용 과정에서 절리면에는 마모와 미세 손상이 누적될 수 있고, 이는 최대전단강도의 감소로 이어지므로 전단 크리프 시험 결과에 직접 반영될 수 있는 요인이다. 본 연구에서는 단계별 전단강도 저하를 수치적으로 평가하고자, Kim et al.(2025b)에서 활용된 불연속면 거칠기 측정 장비를 적용하였다. 시험편의 절리면 거칠기는 시험 전ㆍ후 휴대용 3D 스캐너를 이용하여 3차원 형상 정보를 기반으로 계측하였으며, 절리면을 0.5 mm 간격으로 스캔한 후 제조사에서 제공하는 전용 소프트웨어를 통해 포인트 클라우드 데이터를 전처리하여 3D 모델을 구현하였다. 또한, 절리면 스캔 결과로부터 거칠기 지표(Z2)를 산정하였으며, 산정된 거칠기 지표값은 Tse and Cruden(1979)이 제시한 Z2 - JRC 회귀식을 이용하여 JRC로 환산한 후 Barton식에 적용하여 시험 단계별 최대전단강도를 산정하였다. 본 연구에서 사용된 Z2 - JRC 회귀식은 2.5절에 나타내었다. 본 연구에서 사용한 휴대용 3D 스캐너는 측정 결과의 신뢰성 확보를 위해 한국원자력연구원의 레이저 스캐너와 비교 실험을 수행하여 적용성을 확인하였다(Kim and Jeong, 2024). Fig. 3에 해당 장비의 실물 사진을 나타내었다. 휴대용 3D 스캐너와 레이저스캐너의 정밀도는 각각 0.05 mm와 0.005 mm이며, Table 1은 해당 장비의 주요 사양을 제시하였다.
Table 1.
Specification of 3D scanners used in this study (Kim et al., 2025b)
2.4 직접 전단 시험기 및 전단시험 프레임
본 연구에서는 서보 제어가 가능한 유압식 직접전단시험기를 이용하여 전단 크리프 시험을 수행하였다. 해당 전단시험장비는 수직 및 전단 방향 모두에서 하중과 변위를 독립적으로 제어할 수 있으며, 다양한 하중 조건에서 장기 전단거동을 모사할 수 있다. 장비에 설치된 수직 및 전단 액추에이터의 최대 하중 용량은 각각 10 ton이며, 각 방향의 최대 변위는 70 mm, 변위 제어 속도는 1~5 mm/min 범위이다. 시험 중 하중은 로드셀(load cell)을 통해 계측되며, 계측 범위는 최대 10 ton이며, 오차율은 0.1% 수준이다. 변위는 LVDT(Linear Variable Differential Transformer)를 통해 측정되며, 계측 범위는 최대 75 mm, 오차율은 0.1% 이내로 변위 계측이 가능한 것으로 확인되었다. 전단 크리프 시험은 수중 조건에서 수행하였으며, 이를 위해 맞춤형 알루미늄–아크릴 프레임을 제작하여 적용하였다(Fig. 4). 셀 외곽에는 실리콘 패킹을 삽입하고 볼트 체결 구조로 밀폐하여 누수를 방지하였고, 투명 아크릴 창을 통해 절리면의 상태를 육안으로 관찰할 수 있도록 하였다. 더불어 셀 내부 수위는 하단 시험편보다 높게 유지되도록 구성하여, 시험 동안 완충재가 지속적으로 수중(포화) 상태를 유지할 수 있도록 하였다.
2.5 불연속면 파괴기준식 및 크리프 전단응력 산정
본 연구에서 수행한 전단 크리프 시험에서는 장기 전단거동에 따른 전단강도 저하를 평가하고자, 최대전단강도보다 낮은 수준의 전단응력을 단계적으로 재하하였다. 이에 전단 크리프 시험 수행에 앞서 크리프 전단응력의 기준값이 되는 절리면의 전단 강도를 산정할 필요가 있으며, 본 연구에서는 절리면의 전단강도를 산정하기 위한 파괴기준식으로 Mohr-Coulomb식과 Barton식을 고려하였다. Mohr-Coulomb식은 전단응력과 수직응력 간의 선형 관계를 기반으로 하며, 절리면의 전단강도는 마찰각(friction angle, 𝜙)과 점착력(cohesion, )으로 표현된다. 이에 따른 Mohr-Coulomb식은 식 (1)과 같이 나타낼 수 있다.
그러나 Mohr-Coulomb식은 실제 암석의 비선형적인 전단거동을 정확히 모사하기에는 한계가 있는 것으로 알려져 있으며, 절리면의 거칠기에 따른 최대 전단강도를 추정하는 것은 불가능하다. 따라서, 본 연구에서는 Barton(1973)이 제안한 경험적 전단강도식을 따라 거칠기 감소를 반영한 최대전단강도를 추정하고자 하였다. 식 (2)은 Barton이 제시한 파괴기준식이며 다음과 같이 표현된다.
여기서 JRC는 거칠기 계수(Joint Roughness Coefficient), JCS는 절리면 압축강도(Joint compressive strength), 는 기본 마찰각(basic friction angle)을 의미한다. 본 연구에서는 절리면의 실제 거칠기 변화를 반영하기 위해, 시험 전ㆍ후 절리면 형상을 정량적으로 분석하여 JRC를 산정하고 이를 최대전단강도 추정에 활용하였다. 절리면의 형상으로부터 JRC를 간편히 결정할 수 있도록, Barton and Choubey(1977)는 기준이 되는 표준 프로파일을 제시하였다. 그러나 표준 프로파일 기반 평가는 절리면 전체 거칠기를 단일 프로파일 형상으로 대표한다는 한계가 있으며, 육안 판정 과정에서 평가자 주관이 개입될 수 있다. 또한 결과가 특정 값이 아닌 범위로 제시된다는 점도 제약으로 작용한다. 따라서, 절리면 거칠기를 보다 정량적으로 평가할 수 있는 지표로서 (Tse and Cruden, 1979)를 활용하였으며, Z2와 JRC와의 경험적인 관계식에 의거하여 불연속면의 JRC를 도출하였다. 본 연구에서 사용한 JRC식은 식 (3)과 같이 나타낸다.
여기서 산정된 JRC는 각 시험 단계에서의 최대전단강도(Barton식)를 산정하기 위한 입력변수로 사용되었다. JCS는 반복 시험 과정에서 절리면 손상에 의해 감소할 수 있으므로, 원칙적으로는 각 시험 단계마다 측정하는 것이 가장 정확하다. 그러나 JCS 측정에 사용되는 슈미트해머 타격은 절리면에 추가 손상을 유발할 수 있다. 이에 본 연구에서는 JCS를 시험 전후에 변화하지 않는 상수로 가정하고, 거칠기 변화만을 반영하였다.
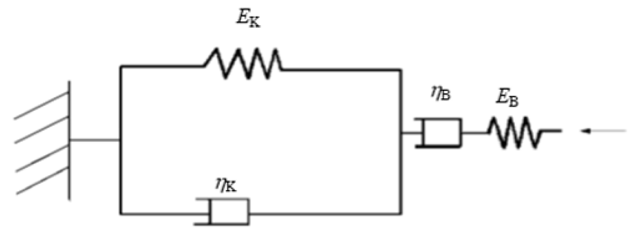
2.6 크리프 모델
절리면의 시간의존적인 변형거동(크리프 거동)을 설명하기 위해 다양한 크리프 모델이 제안되어왔으며, 일반적으로 탄성 요소(Spring), 점성 요소(Dashpot), 소성 요소(Slider)를 적절하게 결합한 모델이 사용된다. 대표적인 모델로는 Maxwell 모델과 Kelvin 모델이 있으며, Maxwell 모델은 Spring과 Dashpot을 직렬로 연결한 형태로 1차 크리프 거동을 표현하는데 적합한 반면, Kelvin 모델은 두요소가 병렬로 구성되어 2차 크리프 거동을 모사하는데 활용된다(Fig. 5). Maxwell 모델은 식 (4)과 같이 표현할 수 있으며, Kelvin 모델은 식 (5)와 같이 나타낼 수 있다. 여기서 는 적용응력, 는 spring의 탄성계수, 𝜂는 dashpot의 점성계수를 의미한다.
절리면의 시간 의존 거동 특성은 Maxwell 모델과 Kelvin 모델로 각각 단독 설명하기에는 한계가 있어, 두 모델을 직렬 결합한 Burgers 모델이 일반적으로 채택된다(Fig. 6). Burgers 모델에 의 일정한 응력이 가해질 때의 총 크리프 변형률은 Maxwell 모델에 의한 변형률()과 Kelvin 모델에 의한 변형률()의 합으로 Eq. 6과 같이 표현할 수 있다(Lama and Vutukuri, 1978).
여기서 밑첨자 M과 K는 각각 Maxwell 모델과 Kelvin 모델을 나타내고, E는 각 모델에서의 탄성계수, 𝜂는 점성계수를 나타낸다. 한편, Burger 모형은 모든 구성 요소가 점탄성 요소로 이루어져 있기 때문에 응력 수준에 따른 점소성 변형을 명시적으로 나타내기 어렵다는 한계가 있으며(Nazary Moghadam et al., 2013, Liu et al., 2017), Nishihara 모형은 후크체(Hooke body), Kelvin체, 점소성체(viscoplastic body)로 구성된 3요소 유변학적 구성모형(Fig. 7)으로서, 장기강도를 기준으로 탄성, 점탄성 거동과 점소성 거동을 설명할 수 있다(Cheng and Zhang, 2023). Nishihara 모형은 식 (7)과 같이표현할 수 있으며, 는 적용응력이며, 는 Hooke의 탄성계수, 및 는 각각 Kelvin의 탄성계수와 점성계수, 는 viscoplastic의 점성계수, 는 장기강도를 의미한다.
여기서 장기강도는 2차 크리프 단계에서 3차 크리프로 전이되는 임계응력을 의미한다. 본 연구에서는 Kelvin과 Burger, Nishihara 모델의 크리프 모사식을 사용하여 황등화강암 시험편에 대한 크리프 상수를 평가하였다.
2.7 전단 크리프 시험
본 연구에서는 완충재가 충전된 화강암 절리면의 장기 전단거동을 분석하기 위하여, 일정한 수직응력이 가해진 조건에서 전단응력을 변화시켜가며 전단 크리프 시험을 수행하였다. 본 연구의 전단 크리프 시험은 수직의 경우 일정수직하중(constant normal load, CNL)조건에서 수행되었으며, 전단의 경우 응력 제어(Shear stress-controlled)방식으로 수행되었다. 또한, 시간 의존적 크리프 특성을 확인하고자, 전단응력을 일정하게 재하한 상태를 장시간 유지한 뒤 전단변위와 전단변형률을 연속적으로 측정하였다.
시험에 적용된 수직응력은 3.0 MPa로 고정하였으며, 해당 응력 수준은 시편 전단면적과 장비의 최대 하중을 종합적으로 고려하여 설정한 값으로, 본 연구에서는 이 조건에서 완충재 충전에 따른 전단 크리프 거동의 변화를 정량 비교하였다. 또한, 각 시험편의 절리면 거칠기와 Barton 식에 따라 산정된 최대 전단강도의 94%에서 75% 수준까지 전단응력을 설정하였다. 본 시험의 전단응력 수준은 휴대용 3D 스캐너로 측정한 절리면 Z2 값으로부터 JRC를 도출하고, 이를 Barton 식에 적용해 최대 전단강도를 계산한 뒤 그 결과에 근거하여 정하였다.
시험시간은 최대 96시간(4일)으로 설정하였고, 0.5초 간격으로 전단과 수직방향으로의 응력과 변위 데이터를 수집하였다. 시험 중 3차 크리프(가속 크리프)가 뚜렷하게 확인되면 해당 시점에서 시험을 종료하였다. 반대로 3차 크리프가 나타나지 않는 경우에는, 설정된 시험시간이 경과할 때까지 하중을 유지한 뒤 시험을 마무리하였다. 본 연구에서 설정한 모든 시험조건에서 3차 크리프가 관측되지 않았으므로, 각 시험은 수행 후 4일이 경과한 시점에서 종료하였다.
3. 시험 결과
3.1 전단 크리프 시험 결과
본 연구에서 완충재가 충전된 불연속면의 전단 크리프 거동을 해석하기 위한 비교 기준으로, 동일한 화강암 절리면을 대상으로 수행된 완충재가 충전되지 않은 조건의 전단 크리프 시험 결과(Kim et al., 2025a)를 활용하였으며, 실험 조건 및 결과를 요약 및 제시한다. 해당 연구에서는 수직응력 1.0 MPa 조건에서 최대전단강도 대비 85%, 75%, 65%의 전단응력 수준으로 전단 크리프 시험을 수행하였으며, 85% 및 75% 조건에서는 3차 크리프가 발생한 반면, 65% 조건에서는 시험 기간(4일) 동안 3차 크리프가 관측되지 않은 것으로 보고되었다. 또한, 전단응력 수준 증가에 따라 전단 변위 속도가 급격히 증가하였으며, 유변학적 모델의 적합성을 평가한 결과, Kelvin 모델과 비교하여 Burger 모델이 실험 데이터와의 상대적으로 높은 적합도를 보였다.
3.1.1 3차 크리프 발생
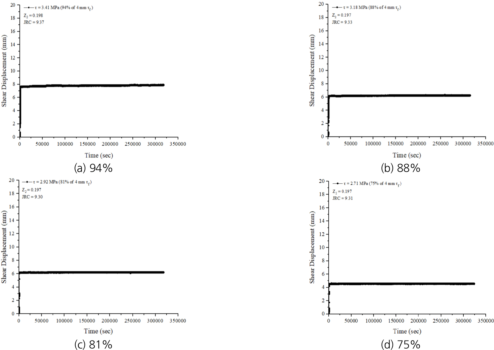
한편, Fig. 8과 Fig. 9는 각각 완충재를 1 mm, 4 mm 두께로 충전한 불연속면에서 수행한 전단 크리프 시험의 시간 – 전단변위 관계를 나타낸 것이다. 완충재가 충전된 조건에서는 최대전단강도의 94%, 88%, 81%, 75%의 전단응력 단계 모두에서 3차 크리프가 발생하지 않는 것으로 나타났으며, 시험 기간(4일) 동안 전단변위의 급격한 증가 없이 비교적 안정적인 변형 거동이 유지되었다. 또한, 초기 변위가 증가하는 1차 크리프 이후, 변위 증가율이 거의 일정한 2차 크리프 거동이 긴 시간 동안 나타나 전단변위의 시간의존적인 증가는 주로 완충재의 점탄성 및 소성 변형 특성에 의해 지배되는 것으로 해석된다. 2차 크리프가 장시간 유지됨에 따라 본 시험 기간 내에서는 3차 크리프 발생 여부를 확인할 수 없었으며, 3차 크리프가 발생하기 위한 임계시간은 4일보다 더 길 것으로 판단된다. 한편 직접전단시험 결과, 전단파괴 시 전단변위는 완충재 두께 1 mm 조건에서 약 15 mm, 4 mm 조건에서 약 9 mm로 나타났다. 이에 비해 전단 크리프 시험의 고응력 조건에서 4일 동안 누적된 전단변위는 1 mm 조건에서 약 13 mm, 4 mm 조건에서 약 8 mm로 확인되어 직접전단시험에서의 파괴 도달 변위 수준에 근접하는 경향을 보였다. 이는 동일 응력 수준이 4일을 초과하여 장기간 유지될 경우 3차 크리프로의 전이가 발생할 가능성이 있음을 시사하며, 장기 재하 조건에서의 추가적인 연구수행이 필요한 것으로 판단된다.
이에 비해 완충재가 충전되지 않은 조건을 다룬 선행연구(Kim et al., 2025b)에서는 전단응력 수준 85% 및 75%에서 3차 크리프가 발생한 반면, 65%에서는 4일 동안 3차 크리프가 관측되지 않았다. 이러한 결과는 본 시험 조건에서는 완충재가 충전되지 않은 절리면에 최대전단강도 대비 75% 이상의 전단응력이 가해지는 경우 시간의존적인 전단파괴가 발생할 가능성을 시사한다. 또한, 3차 크리프의 발생 시점은 전단응력 수준에 따라 뚜렷하게 달라졌으며, 전단응력이 낮을수록 3차 크리프에 도달하기까지 더 긴 시간이 요구되는 경향이 보고되었다.
3.1.2 크리프 변위 발생속도
본 연구는 전단 크리프 시험에서 얻은 시간-전단변위 곡선을 구간별로 분리하고, 각 구간의 선형 기울기를 계산함으로써 1차, 2차, 3차 크리프 단계에 대응하는 전단 변위 속도(shear displacement rate)를 산정하였다. Fig. 10은 전단응력 수준에 따른 각 크리프 단계의 변위 속도를 로그 스케일로 도시한 그래프를 나타낸 것이며, 완충재가 충전되지 않은 조건은 선행연구(Kim et al., 2025a)에서 수행한 전단 크리프 시험 결과로, 본 연구의 완충재 충전 조건과의 비교 기준으로 사용되었다. 모든 조건에서 전단 크리프 변위 속도는 1차 단계에서 가장 크고 2차 단계에서 감소하는 경향을 보였으며, 이는 단계별 변형 메커니즘 차이에 따른 결과로 해석된다. 또한, 전단응력 수준의 증가에 따라 전반적으로 크리프 변위 발생 속도가 증가하는 것을 알 수 있었다. 다만 완충재가 충전된 불연속면에 대한 2차 크리프의 경우에는 경향성이 뚜렷하게 나타나지는 않았다. 완충재가 충전되지 않은 불연속면에서의 크리프 변위 속도 증가율이 전단응력의 수준이 증가함에 따라 급격하게 증가한 반면, 완충재가 충전된 불연속면에서는 크리프 변위 속도의 증가율이 완만하게 나타났다. 또한, 완충재가 충전되지 않은 경우 크리프 변위 속도가 가장 컸으며, 완충재가 충전된 경우 두께와 상관없이 크리프 변위 속도가 유사한 경향이 나타났다. 이는 완충재의 두께 증가에 따라 절리면 사이의 직접 맞물림(Interlocking)이 감소하고, 점섬변형에 의해 하중 전달이 완충되는 효과가 발생했기 때문이다. 따라서, 크리프 변형은 암석 자체보다 완충재의 변형 특성에 지배된 것으로 판단되었다. 하지만 94% 조건에서는 완충재 두께가 증가함에 따라 크리프 변위 속도가 감소하는 경향이 나타났다. 이는 고응력조건에서 완충재의 완충효과가 상대적으로 감소하여 크리프 변형에 대한 완충재의 영향이 감소한 것으로 추측된다. 하지만 크리프 속도, 수직응력, 완충재 두께 사이의 상호작용을 보다 분명히 설명하려면, 다양한 응력 수준과 시료 특성 조건을 포함하는 추가 실험 및 분석이 필요할 것으로 판단된다.
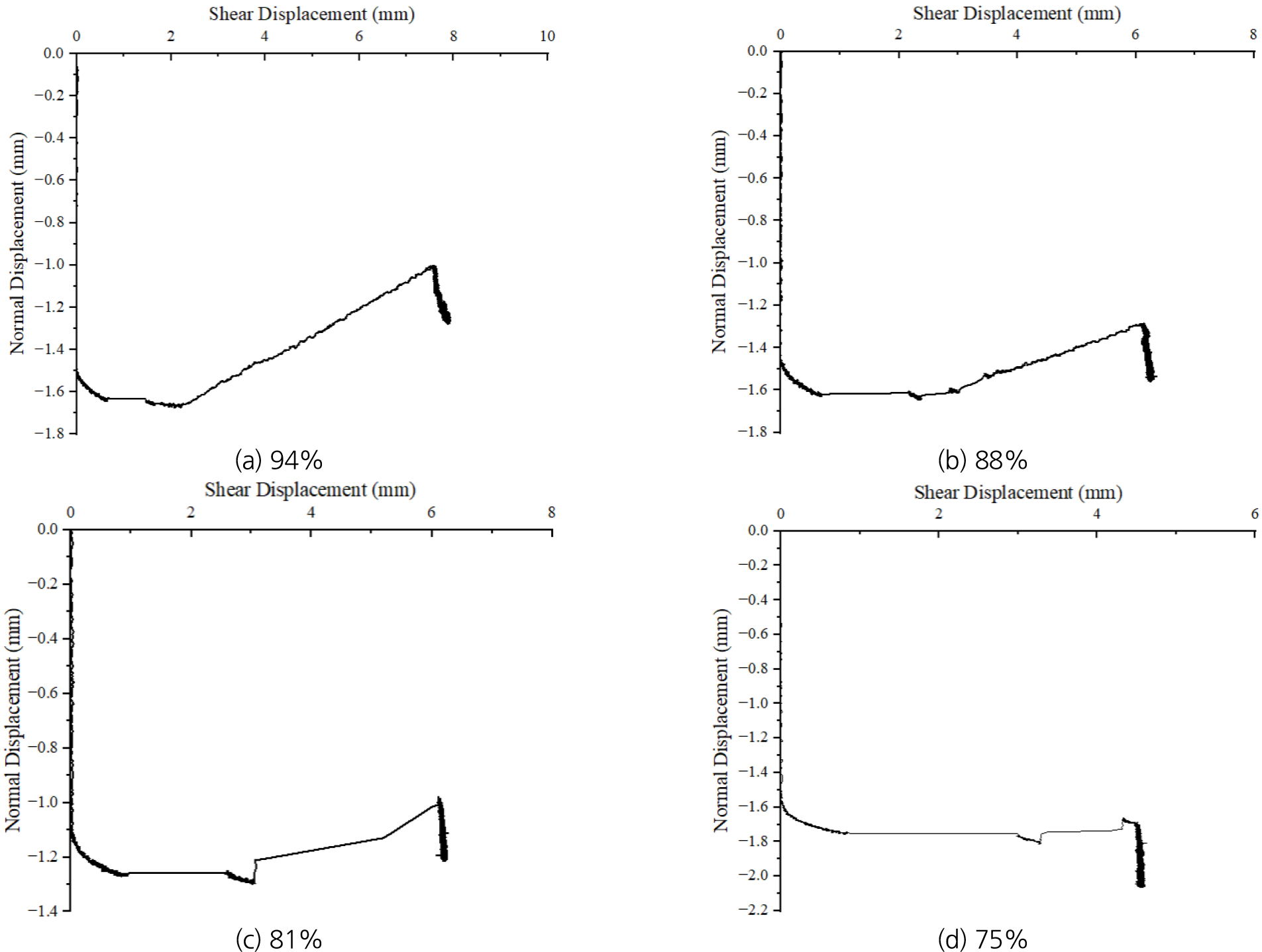
3.1.3 팽창각(Dilation angle)
본 연구에서는 전단 크리프 시험에서 얻은 수직변위–전단변위 곡선을 활용하여 팽창 거동을 비교하였다. 완충재를 충전한 불연속면의 경우 시험 후반부에 재압축 현상이 나타나 팽창각을 일의적으로 산정하기 어려웠으므로, 정량 산정 대신 곡선의 형태 변화로 완충재가 충전되지 않은 불연속면과의 차이를 해석하였다. Fig. 11은 완충재가 충전되지 않은 불연속면의 전단변위-수직변위 그래프이며, 3차 크리프 발생 이전 구간을 적색으로 나타내었다. Fig. 12 및 Fig. 13은 완충재가 충전된 불연속면에서의 결과를 나타내었다.
완충재가 충전되지 않은 불연속면의 경우, 85%, 75% 전단응력 수준에서 초기 정상방향 압축 이후 양의 수직변위 증가(팽창)로 전이되었으며, 전단변위가 증가함에 따라 수직변위가 증가하는 경향이 나타났다. 또한, 3차 크리프 발생 이후 곡선의 급격한 기울기 증가는 확인되지 않았으며, 3차 크리프 발생 이전과 유사한 증가 추세를 유지하였다.
완충재가 충전된 불연속면의 경우에는 공통적으로 초기 압축 이후 완만한 팽창으로 전이되었으나, 완충재가 충전되지 않은 불연속면에 비해 팽창 기울기가 현저히 완만하게 나타났다. 특히 시험 후반부에는 재압축 경향이 관찰되었다. 이는 전단 크리프 시험 중 완충재로 인해 절리면 간의 직접 접촉이 감소하여 거칠기의 맞물림에 의한 팽창이 억제되었으며, 동시에 완충재의 재배열이 발생하였음을 지시한다. 또한, 전단응력 수준이 낮아짐에 따라 팽창량이 감소하는 경향이 나타났으며, 동일한 완충재 충전 조건에서 직접전단시험을 수행한 선행 연구(Ha et al., 2025)에서도 완충재 충전 시 전단 진행 중 나타나는 수직 팽창량이 상대적으로 작아지며, 수직변위가 억제되는 거동이 제시된 바 있다. 이는 본 연구와 비교하였을 때 유사한 전단거동이 관찰되었으며, 이러한 팽창각의 경향 또한 완충재가 충진된 절리면의 전단거동이 완충재의 거동에 지배 받는다는 것을 의미한다.
3.1.4 전단강성(Shear stiffness)
본 연구에서는 완충재가 충전된 화강암 절리면을 대상으로 수행한 전단 크리프 시험 결과를 바탕으로 전단강성(Shear stiffness) 의 변화를 분석하였다. 전단강성은 전단응력 재하 시점부터 목표 전단응력에 도달하는 시점까지의 전단응력과 전단변위 변화량을 이용해 산정하였다. Fig. 14는 각 시험에서 전단응력 수준에 따른 전단강성의 관계를 나타낸다. 모든 조건에서 전단응력 수준이 증가함에 따라 전단강성이 비선형적으로 감소하는 경향이 나타났다. 이는 절리면 맞물림의 점진적인 약화와 완충재의 점탄성 변형에 기인한 것으로 해석된다. 또한, 전단강성의 크기는 완충재의 충전 여부에 따라 차이를 보였다. 완충재가 충전된 조건에서 전단강성이 전반적으로 더 크게 나타났으며, 완충재가 충전되지 않은 조건(0 mm) 대비 충전된 조건(1 mm 및 4 mm)에서 증가하는 경향이 관찰되었다. 결과적으로 전단강성은 4 mm, 1 mm, 0 mm 순으로 크게 나타났다. 이러한 경향은 완충재의 충전 여부 및 두께 변화에 따라 절리면의 접촉 상태와 맞물림 양상이 달라지고, 완충재의 재배열 또는 시간 의존적 변형 거동이 전단 과정에서의 하중 전달 특성에 영향을 주었을 가능성을 시사한다. 다만 본 연구 범위에서는 해당 메커니즘을 직접 계측하거나 검증하지 않았으므로, 특정 메커니즘에 의한 결과로 단정하기는 어렵다.
3.2 불연속면의 거칠기 변화
본 연구에서는 전단 크리프 시험이 반복됨에 따라 나타나는 화강암 절리면의 거칠기 변화를 정량적으로 분석하였다. 거칠기를 측정하는 방법은 시험 전ㆍ후로 휴대용 3D 스캐너를 이용하여 절리면 형상을 정밀 스캔한 후 획득된 포인트 클라우드 데이터를 제조사에서 제공하는 전용 소프트웨어와 MATLAB을 활용하여 전처리 및 3D 모델링을 수행하였으며, 이를 통해 Z2 및 JRC를 산정하고 거칠기의 변화를 분석하였다. 한편 시험 초기 94% 및 88%의 고응력 조건에서 예상과 달리 3차 크리프가 관측되지 않아, 해당 시점의 완충재 충전 조건 최대전단강도를 재산정하여 전단응력 수준의 적정성을 재확인할 필요가 있었으며, 1 mm 두께 조건에서 완충재를 충전한 후 직접전단시험을 재수행하였다.
Fig. 15 및 Fig. 16은 1 mm, 4 mm 완충재 두께 조건에서의 전단 크리프 시험 전/ 후의 불연속면 표면을 3차원으로 나타낸 것이다. 전반적으로, 모든 조건에서 전단시험이 진행됨에 따라 거칠기가 변화하는 것을 3차원 모델상에서도 확인할 수 있었다. 반면, 완충재가 충전된 불연속면의 경우 거칠기가 균질하게 감소하기보다는 국부적인 저감 형태로 나타났으며, 특히 Z축 좌표가 높아 거칠기의 편차가 큰 영역에서의 거칠기 변화가 두드러지게 나타났다. 이는 전단 과정에서 미세한 접촉 돌기부가 마모ㆍ압밀되면서 국부적인 표면 평탄화가 발생한 결과로 판단된다. Fig. 17은 각 축을 따라 일정한 간격으로 시험 전/ 후의 1차원 거칠기를 측정한 결과이며, Fig. 15 및 Fig. 16 에서 3차원 모델에 적색 선으로 나타내었다. 모든 조건에서 전단시험이 진행됨에 따라 각 스캔라인을 따른 1차원 거칠기가 소폭 감소하는 경향이 관찰되었다. 이러한 결과는 완충재가 충전되지 않은 불연속면을 대상으로 한 선행연구(Kim et al., 2025b)와 차이를 보이며, 해당 연구에서는 전단 크리프 시험의 반복에 따라 거칠기 감소가 보다 뚜렷하게 나타났다고 보고하였다. Fig. 18은 실험 단계별로 산정된 JRC의 변화를 나타낸다. 완충재 두께 0 mm 조건(Kim et al., 2025b)에서는 단계가 진행될수록 JRC가 점진적으로 감소하는 경향이 나타났으나, 1 mm 및 4 mm 조건에서는 전반적으로 큰 변화 없이 거의 일정한 수준을 유지하였다. 1회의 시험당 평균 JRC 감소율은 전단계의 JRC를 기준으로 시험 후 감소된 JRC의 비율을 나타낸것이며, 시험 전반에 걸친 JRC 감소율은 완충재가 충전된 불연속면의 경우 전단 크리프 시험 전(Before Creep)에서 75% 전단응력 수준에서의 전단 크리프시험 후(After 75%)까지, 완충재가 충전되지 않은 불연속면의 경우 65% 전단응력 수준에서의 전단 크리프 시험 후(After 65%)까지의 JRC의 감소를 이용하여 획득하였다. 완충재가 충전되지 않은 불연속면의 경우 1회의 시험당 평균 JRC 감소율은 약 3.5%로 산정되었으며, 시험 전반에 걸친 JRC 감소율은 약 10%로 산정되었다. 반면, 완충재가 충전된 불연속면의 경우 1회의 시험당 평균 JRC 감소율은 1 mm 조건에서는 약 0.17%, 4 mm 조건에서는 약 0.22%로 산정되었으며, 시험 전반에 걸쳐 1% 미만의 미세한 감소율을 보였다. Z2의 감소율 또한 JRC 감소율과 유사한 경향을 나타내었다. 이는 완충재가 절리면 사이의 직접 접촉을 완화시켜 절리면의 마모 및 전단 손상을 억제했기 때문으로 판단되었다.
3.3 크리프 모델 적용
본 연구에서는 전단 크리프 실험 데이터를 바탕으로 유변학적 모델을 적용하여 전단 크리프 거동을 정량적으로 해석하고, 각 모델의 적합성과 크리프 파라미터를 비교·평가하였다. 완충재가 충전되지 않은 조건(0 mm)은 선행연구(Kim et al., 2025b)에서 동일한 화강암 절리면을 대상으로 적용한 Kelvin 및 Burger 모델의 결과로서, 본 연구의 결과와 비교하여 거동 특성을 논의하고자 하였다. 반면 본 연구에서 고려한 완충재가 충전된 조건(1 mm, 4 mm)에서는 Kelvin, Burger, Nishihara 모델을 적용하였으며, 이들 모델식은 1차 및 2차 크리프까지만 설명가능하므로 3차 크리프가 발생한 경우에는 3차 크리프 구간에 대한 데이터는 제외하고 모델 파라미터를 산정하였다. 또한, 각 유변학적 모델의 최적 계수는 MATLAB Curve Fitting Toolbox를 이용하여 산정하였으며, 이때 적용된 최적화 알고리즘은 Levenberg-Marquardt 알고리즘에 기반한 비선형 최소자승법(Non-linear Least Squares Method)이다. Maxwell 모델은 시간 - 전단 변형률 곡선에서 실험 데이터와의 현저한 차이를 나타내어 본 연구에서는 제외하였다. 완충재가 충전된 불연속면 조건에서는 Nishihara 모델을 적용하였는데, 이는 완충재 충전 조건에서 전단 크리프 거동이 완충재의 점탄소성(점탄성 및 시간의존 소성/압밀) 변형 특성에 의해 지배되는 경향이 나타났기 때문이며, 해당 거동을 보다 합리적으로 설명하기 위해 해당 모델을 채택하였다. 아울러 완충재 충전 조건에 Burger 모델을 적용할 경우 일부 크리프 상수에서 물리적으로 합리적이지 않은 음의 계수가 도출되는 경향이 확인되어 해석상 한계가 있음이 확인되었다.
Nishihara 모델식의 장기강도는 두 가지 경우로 나누어 산정하였다. Nishihara 모델은 장기강도를 기준으로 시간의존적 전단거동을 설명함으로, Nishihara 모델을 적용하기 위해서는 장기강도의 기준값을 결정하여야 하는데, 이 값을 어떻게 선택하느냐에 따라 모델식이 달라진다. 첫 번째(Case 1)로는 본 연구의 시간-전단변형률 곡선과 크리프 변위 발생 속도 곡선을 이용하여 장기강도를 산정하였다. Fig. 19 및 Fig. 20에 제시된 시간-전단변위 곡선을 보면 94% 조건에서 2차 크리프 구간의 기울기가 상대적으로 증가하는 양상이 관찰되며, 88% 수준에서 변형률이 안정화되는 양상이 확인되었다. 또한, 크리프 변위 속도는 88% 전단응력 수준 이상에서 급변하는 경향을 보였다. 이를 근거로 Case 1에서의 장기강도는 94% ~ 88%의 전단응력 수준 범위에 있는 91% 수준의 전단응력 수준으로 산정하였다. 두 번째(Case 2)에서는 완충재 자체의 장기강도를 산정하여 적용하였다. 본 연구에서 사용된 벤토나이트가 점성토의 일종임을 고려하여, 선행연구(Shin et al., 1991)에서 보고한 점성토의 장기강도인 최대강도의 50%의 전단응력 수준으로 선정하였다. 하지만 장기강도 선정방식에 대한 체계적인 절차에 대해 검토할 필요가 있으며, 향후 추가적인 연구가 필요한 것으로 판단된다.
3.3.1 Kelvin 및 Burger Model
Kelvin 모델과 Burger 모델 간의 비교 결과, 모든 조건에서 Burger 모델이 시간 - 전단 변형률 곡선에서 실험 데이터와 높은 적합도를 보였으며, 특히 Burger 모델이 급격한 2차 크리프 변형 구간을 충분히 재현하는 경향을 보였다. Kelvin 모델은 2차 크리프를 과소평가하는 경향을 보였으며, 급격한 변형 구간과 완만하지 않은 2차 크리프의 기울기를 정확히 나타내지 못하는 것으로 판단되었다. 이는 시간이 경과함에 따라 변형이 수렴하는 Kelvin 모델의 구조적 특성과 달리, 실제 절리면의 거동은 지속적인 점섬 유동을 동반하여 변형이 증가하는 특성을 갖기 때문인 것으로 해석된다. Fig. 19 및 Fig. 20은 완충재가 충전된 불연속면에 대해 각각 완충재의 두께가 1 mm, 4 mm 시험결과에 대한 Kelvin 모델과 Burger 모델의 적용결과를 나타내며, 두 조건 모두 94% 전단응력 조건에서의 2차 크리프 거동을 충분히 재현하지 못하는 한계점이 확인되었다. 이는 일부 2차 크리프 구간에서 순간적으로 전단변위가 급격히 증가하는 구간이 발생했기 때문으로 판단되며, 시료 전체의 거동보다는 시험편 일부 영역에서의 요철 파쇄, 미세 미끄러짐 등 국부적 반응에 기인한 것으로 판단된다. 하지만 해당 현상은 제한적으로 나타났으며, 이후 안정화된 2차 크리프 거동이 지배적으로 유지되었다. 결과적으로 전체 크리프 변위의 경향성을 좌우하지 않는 것으로 판단하여, 해석 결과에 유의미한 영향을 주지 않는다고 보았다.
Table 2는 Burger 모델에 대한 크리프 상수(전단탄성계수 ,, 점성계수 , ) 및 RMSE를 정리한 것이다. 또한, 결과 비교를 위해, 선행연구(Kim et al., 2025b)에서 보고된 완충재 무충전(0 mm) 조건의 Burger 모델 파라미터를 함께 제시하였다. 각 상수들은 각 전단응력 조건에서의 계측된 시-전단변형률 데이터를 Burger 모델의 구성식에 대입하여 회귀분석을 통해 도출하였다. 도출된 Burger 모델 파라미터는 전단응력 수준에 따라 다소 차이를 보였으나, 전반적으로 일관된 증가 혹은 감소 경향은 확인되지 않았다. 이는 본 연구가 제한된 수직응력(3.0 MPa)과 전단응력 단계에서 수행되어, 파라미터의 응력 의존성을 체계적으로 도출하기에 제약이 있었기 때문으로 판단된다. 따라서, 파라미터의 물리적 의미를 보다 명확히 해석하고 응력조건 및 완충재 두께 등과의 상관관계를 정립하기 위해서는 다양한 조건에서의 추가적인 연구가 필요한 것으로 판단된다.
Table 2.
Creep parameters for the burger model
한편 일부 조건에서 Burger 모델에서의 Maxwell 요소에 해당하는 (전단탄성계수)와 (점성계수)가 음의 값으로 산정되었는데, 이는 물리적으로는 합당하지 못한 결과이다. 이러한 결과는 Burger의 모델이 초기에 발생하는 순간적인 탄성변형 성분을 나타내는 항이 있는데, 무결암과는 달리 불연속면에서는 이러한 초기의 탄성변형률이 뚜렷하게 나타나지 않거나 매우 제한적이어서, 통계적으로 회귀식을 피팅하는 과정에서 발생하는 현상으로 보여진다. 또한, 완충재의 두께가 두꺼워질수록 비교적 더 많은 크리프 파라미터가 음의 값으로 나타나는 경향이 나타났다. 0 mm 조건에서 물리적으로 합당한 크리프 파라미터값이 확인되었지만, 1 mm 조건에서는 계수에 음의 값을 갖는 크리프 파라미터 관찰되었으며, 4 mm 조건에서는 계수에서 더 많은 음의 파라미터와 계수에서도 음의 파라미터가 관찰되었다. 즉 완충재가 충전된 불연속면에서 비교적 더 많은 음의 크리프 상수들이 도출되었다. 이는 불연속면 내 완충재 충전 시 완충재의 변형거동에 따라 크리프 거동이 지배되기 때문으로 추정된다. 또한, Table 2에 요약된 것과 같이, 1 mm 및 4 mm 완충재 충전 조건 모두에서 75% 전단응력 단계에서 와 가 이전 단계(94–81%) 대비 증가하는 양상이 나타났다. 특히 4 mm 조건에서 그 변화폭이 크게 나타났다. 다만 동일 단계에서 Maxwell 요소(, )가 비물리적인 음의 값으로 산정된 사례가 확인되어, 이를 거동 전이(임계조건)로 단정하기에는 한계가 있다. 따라서 75% 단계의 급격한 파라미터 변화는 저응력 구간에서의 피팅 불안정 가능성을 고려하되, 장시간 재하 및 응력 구간 세분화·반복시험을 통해 추가 검증이 필요하다. 또한, 완충재 충전 조건에서는 전반적으로 R2가 낮거나 일부 음(-)의 값으로 산정되는 경향이 확인되었다. 그러나 해당 조건에서의 RMSE는 매우 낮은 수준을 유지하였으며, 이는 크리프 변형이 미미하여 데이터의 분산(Variance)이 매우 작았기 때문에 발생한 통계적 특성으로 해석된다. 따라서 본 연구에서는 통계적 변별력이 제한적인 R2 대신 RMSE를 통해 정량적 오차를 검증하였으며, 산출된 크리프 상수의 물리적 타당성(양수 조건)과 실제 절리면의 2차 크리프 거동에 대한 구조적 모사 적합성을 모델 파라미터 선정의 최우선 기준으로 삼았다.
3.3.2 Nishihara Model
Nishihara 모델 적용 결과, Case 1(실험 곡선 기반 장기강도)과 Case 2(재료 기준 장기강도) 모두에서 완충재 충전 조건의 시간–전단변형률 곡선을 1차 및 2차 크리프 범위에서 합리적으로 재현하는 것으로 확인되었다. 또한, Nishihara 모델은 장기강도(Case 1 : 91%, Case 2 : 50%)를 기준으로 높은 응력조건에서는 Burger 모델, 낮은 응력조건에서는 Kelvin 모델과 유사한 경향을 보이는 것으로 관찰되었다. Fig. 21 및 Fig. 22는 Kelvin, Burger, Nishihara 모델의 피팅 결과를 Case 1과 Case 2로 구분하여 비교한 것이다. Case 1에서는 94% 전단응력 수준에서 Nishihara 모델 거동이 Burger 모델과 유사하게 나타났으며, 88%, 81%, 75%에서는 Kelvin 모델과 유사한 경향이 관찰되었다. 이는 Case 1에서 설정된 장기강도 기준에 따라 점소성(항복 이후) 성분의 기여가 94% 단계에서만 두드러지고, 그 외 단계에서는 점탄성 성분이 지배적으로 반영되기 때문으로 해석된다. 실제로 Table 3(Case 1)에서 점소성 항에 해당하는 가 94% 조건에서만 산정되고(그 외 단계는 ‘-’), 이는 장기강도 기준을 초과하는 구간에서만 점소성 요소가 활성화되었음을 시사한다. 반면, Case 2(재료 기준 장기강도)에서는 94%, 88%, 81%, 75% 전반에서 Nishihara 모델이 Burger 모델과 유사한 경향을 보였고, 특히 88%와 81%에서 2차 크리프 변형률 증가가 Case 1 대비 크게 나타났다. 이는 장기강도를 재료 기준으로 보수적으로 설정할 경우 동일 전단응력이라도 장기강도 대비 응력비가 커져 점소성 성분의 기여가 상대적으로 확대되기 때문으로 해석된다. Table 3(Case 2)에서도 가 대부분의 응력 단계에서 산정되어, Case 1 대비 점소성 요소가 보다 넓은 구간에서 작동하는 양상이 확인된다. 다만 일부 조건에서 또는 가 음의 값으로 도출되는 사례가 있었는데, 이는 불연속면에서 초기 탄성변형 성분이 명확하지 않은 상황에서 회귀 피팅 과정의 불안정성 또는 파라미터 상호보상에 의해 비물리적 계수가 발생할 수 있음을 의미한다. 또한, 본 연구의 피팅은 모델식의 적용 범위를 고려하여 3차 크리프 구간을 제외하고 수행되었으며, 1차–3차 크리프를 연속적으로 포괄하기 위해서는 3차 크리프를 포함할 수 있는 확장 크리프 모델의 적용 또는 개발에 대한 연구가 선행되어야 할 것으로 판단된다.
Table 3.
Creep parameters for the Nishihara model
4. 결 론
본 연구에서는 완충재 충전이 화강암 절리면의 크리프 거동 특성에 미치는 영향을 평가하기 위하여 황등화강암의 불연속면을 대상으로 전단 크리프 시험을 수행한 후 정량적으로 분석하였다. 또한, 선행연구(Kim et al., 2025b)인 완충재를 충전하지 않은 불연속면을 대상으로 진행한 전단 크리프 시험 수행 결과와 비교하여 절리면의 크리프 거동 특성을 분석하였다.
1. 전단 크리프 거동 측면에서, 완충재 충전 시 수행된 모든 전단응력 단계에서 모두 3차 크리프가 관측되지 않았고, 시험 기간(4일) 동안 비교적 안정적인 2차 크리프 거동이 유지되었다. 이는 완충재의 점탄성·점소성 변형 및 압밀 거동이 전단 크리프 응답을 지배하여 3차 크리프 전이를 지연시키는 방향으로 작용할 가능성을 시사한다.
2. 크리프 변위 속도 분석 결과, 전단 변위 속도는 1차 크리프 단계에서 가장 크게 나타났으며, 2차 크리프 단계에서는 감소하는 경향을 보였다. 또한, 전단응력 수준이 증가할수록 변위 속도는 증가하였으며, 완충재 충전 조건에서는 무충전 조건에 비해 변위 속도 변화가 상대적으로 완만하게 나타났다.
3. 수직변형 거동(팽창 거동) 분석 결과, 무충전 조건은 초기 압축 이후 급격한 팽창 구간으로 전이되는 경향이 나타난 반면, 완충재 충전 조건은 초기 압축 이후 완만한 팽창이 진행되고 시험 후반에는 재압축 경향이 관찰되었다. 이는 완충재 충전에 의해 절리면 직접 접촉 및 맞물림에 따른 팽창이 억제되고, 전단 과정에서 완충재의 재배열이 발생했음을 시사한다.
4. 전단강성 분석 결과, 전단응력 수준이 증가할수록 전단강성이 비선형적으로 감소하는 경향이 확인되었다. 전단강성은 4 mm > 1 mm > 0 mm 순으로 나타났다. 이는 절리면 맞물림의 점진적인 약화와 완충재의 점탄성 변형에 기인한 것으로 해석된다.
5. 절리면 거칠기 변화 분석 결과, 시험이 진행됨에 따라 모든 조건에서 거칠기 변화가 관찰되었다. 다만 완충재 충전 조건에서는 거칠기가 균질하게 감소하기보다 국부적으로 저감되는 양상이 두드러졌으며, 특히 초기 거칠기 편차가 큰 구간에서 변화가 크게 나타났다.
6. Kelvin, Burger 모델을 적용한 결과, Burger 모델이 전반적으로 높은 적합도를 보였고 2차 크리프 구간의 변형 증가를 비교적 잘 재현하였다. Kelvin 모델은 2차 크리프의 기울기를 과소평가하는 경향이 확인되었다. 다만 완충재 충전 조건에서는 Burger 모델의 일부 계수가 비물리적으로 산정되는 사례가 나타났다.
7. 완충재의 점탄소성 거동을 반영하기 위해 Nishihara 모델을 적용하고 장기강도 가정에 따라 Case 1(실험 곡선 기반)과 Case 2(재료 기준)로 구분하여 비교하였다. Nishihara 모델은 장기강도 기준에 따라 Kelvin 또는 Burger 모델과 유사한 거동을 보였으며, 전반적으로 Burger 모델 대비 물리적으로 해석 가능한 범위에서 파라미터가 산정되는 경향을 보였다. 향후 다양한 수직·전단 응력 조건과 장시간 재하 및 반복시험을 통해 파라미터의 응력 의존성과 일반화를 추가로 검증할 필요가 있다.
























