1. 서 론
2.연구대상 지역의 기본정보
2.1. 지질 특성
2.2. 시추공 제원 및 역학적 기본 특성
3. 암반공학분야 핵심 평가인자 및 분포범위
3.1. 일축압축강도 DB와 분포
3.2. 원위치 응력(현지응력) DB와 분포
4. 맺음말
1. 서 론
정부가 발표한 1차와 2차의 고준위방사성폐기물 관리 기본계획에 따르면 고준위방사성폐기물 심층처분을 위한 부지조사와 부지선정은 IAEA (International Atomic Energy Agency)에서 제안한 부지조사 방식에 기초한 단계별 방안을 채택하고 있다(IAEA, 1984, Cheon et al., 2022). 우리나라의 단계별 부지조사 역시 부적합지역 배제, 기본조사, 심층조사의 3단계 절차를 계획하고 있으며, 단계별 부지조사에서 필요한 지질환경 평가요소가 제안된 바 있다(KIGAM, 2016, Choi et al., 2017, Kim et al., 2020a). 제안된 조사요소 분류체계는 평가부문(aspect), 항목(item), 인자(parameter)로 구분되고 각 단계요소에서 요구되는 평가인자를 구체화하여 총 103개의 인자를 제시하였다. 이 중 암반공학분야의 평가항목은 불연속면, 무결암, 암반 세 가지이며 이와 관련한 평가인자는 총 33개이다(KIGAM, 2019, Choi et al., 2020, Choi et al., 2021).
암반공학분야의 평가인자는 시추공/시추코어 로깅, 현장/실내시험 등을 통해 측정되거나 경험식 등을 통해 추정될 수 있다. 한국지질자원연구원에서는 2020년부터 국내에 분포하는 대표 암종에 대하여 심부 시추와 다학제적 지구과학적 조사를 통해 고준위방사성폐기물 심층처분에 활용될 수 있는 평가인자를 획득하고 있다.
본 연구에서는 암반공학분야의 33개의 평가인자 중 국내외 사례, 암반공학적 중요성, 국제적 표준시험법의 존재 여부, 연구기간이나 연구 환경 등의 수행 가능성 등을 고려하여 주요 평가인자로 일축압축강도, 원위치 응력(현지응력), 절리 분포, 암반분류를 선정하였다. 또한 실내실험을 통해 측정할 수 있는 가장 대표적인 암석 물성인 일축압축강도와 후보 부지 단위의 지역적 특성에 해당하는 원위치 응력을 핵심 평가인자로 선정하였다. 선정된 평가인자 획득을 위해 결정질암 중 화강암에 대해 원주와 춘천지역에서 수행한 750 m급 심부 시추공을 활용하였으며, 이로부터 획득한 자료에 대한 통계 처리 등을 통해 신뢰성을 높이고자 하였다.
2.연구대상 지역의 기본정보
2.1. 지질 특성
심부 시추가 수행된 지역은 원주와 춘천으로, 원주지역의 화강암은 옥천대에 속하는 중생대 쥐라기 화강암이며 춘천지역의 화강암은 경기육괴에 속하는 중생대 쥐라기 화강암이다.
심부 시추 전에 시추조사지에 대한 지질구조 조사를 수행하였다. 원주 시추조사지 주변 화강암 노두가 잘 발달한 지점들에 대한 야외지질구조 조사를 수행한 결과로부터 원주 시추조사지 주변에서 가장 우세한 선형구조와 일치하는 북북동-남남서 좌수향 운동감각의 주향이동단층이 발달하며, 이에 수반되는 남-북 방향의 단층들이 이차적으로 발달하고 있다(KIGAM, 2021). 원주 일대에 발달하는 절리군들은 순차적으로 북북동-남남서, 북동-남서, 북서-남동, 동-서 방향의 절리군들이 발달하며, 원주 지역에 발달하는 선형구조 방향과 유사하게 발달한다(KIGAM, 2021). 또한 원주 시추조사지 주변 화강암 내에는 석영맥, 산성암맥, 석영반암 등이 관입하며 발달하였다.
춘천지역에 대해서도 원주지역과 같이 시추조사지 주변 화강암 노두가 잘 노출된 지점들에 대한 야외지질구조 조사를 수행하였다. 춘천 시추조사지 주변에 우세하게 발달하는 절리군들은 북북동-남남서, 북서-남동, 북동-남서, 동-서 방향의 절리군들 순서이며, 대부분 발달하는 선형구조와 방향성이 대부분 일치하였다. 또한, 춘천 일대 분포하는 화강암 내에는 석영맥과 페그마타이트 암맥 등이 관입하며 발달하였다(KIGAM, 2021).
원주와 춘천 시추조사지 주변 반경 약 20 km에 해당하는 부분을 대상으로 야외지질조사를 실시하였다(Fig. 1). 원주지역 최고기 암석은 선캠브리아기 치악산 편마암류(혼성질 편마암, 호상 편마암)로 구성되어 있으며 이들 내에 대리암 및 편암이 소규모로 분포하고 있다. 이 기반암류는 쥐라기 화강암 및 섬록암 그리고 백악기 화강반암에 의해 관입되어 있으며, 백악기 학담리층에 의해 부정합으로 피복되어 있다. 시추조사지 주변 약 10 km 이내의 지역은 주로 쥐라기 화강암이 존재하며, 구성광물에 따라서 각섬석-흑운모 화강암과 흑운모 화강암으로 구분된다. 각섬석-흑운모 화강암이 흑운모 화강암보다 넓게 분포하고 있다. 이 화강암들은 주로 중립질 내지 조립질의 입자크기를 갖으며 등립질 조직을 보이며 일부 지역에서는 cm 크기의 타원형 섬록암체가 포유물로 나타나기도 한다(Fig. 2(a)).
춘천지역 최고기 암석은 선캠브리아기 흑운모 편마암으로 구성되며 규암과 대리암이 흑운모 편마암을 피복하고 있다. 흑운모 편마암은 고원생대 반정질 화강암과 각섬암에 의해 관입되어 있다. 전술한 암석들은 신원생대로 추정되는 구봉산층군(변성 화산암, 편암류로 구성)에 의해 부정합으로 피복되어 있다. 선캠브리아기 암석을 관입하고 있는 쥐라기 화강암들은 중립질 내지 조립질의 입자크기를 가지며 등립질 조직을 보이며 일부 지역에서는 장축이 최대 2 cm 정도인 장석 반정을 포함하고 있다(Fig. 2(b)).

Fig. 1.
Geological map around the study araes; (a) Wonju and (b) Chuncheon (red dot: sampling site, yellow star: drilling site) (modified from Kim et al., 1974, Park et al., 1974, Park et al., 1989, Koh et al., 2011)
2.2. 시추공 제원 및 역학적 기본 특성
암반공학분야의 평가인자를 획득하기 위해 원주지역과 춘천지역 화강암반에 대한 심부 시추를 약 750 m까지 각 1공씩 시추하고 코어를 확보하였다. 시추공에 대한 제원은 Table 1과 같다.
Table 1.
Specification of deep boreholes in Wonju and Chucheon (Cheon et al., 2022)
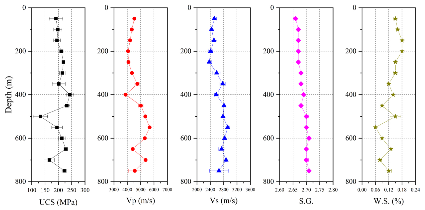
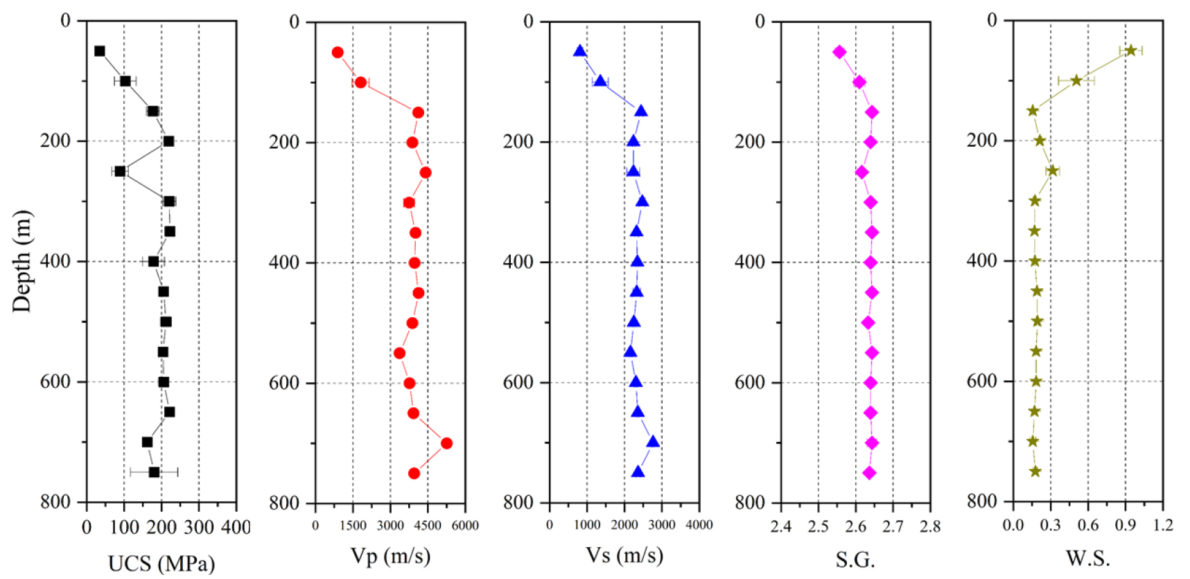
회수된 시추코어에 대하여 약 50 m 간격으로 실내시험용 무결암 시험편을 취득하고 각종 실내시험을 수행하였다. 심도에 따른 코어의 물리적, 역학적 특성은 Fig. 3과 4와 같다. 심도에 따른 물리적, 역학적 특성에 대한 설명은 Cheon et al.(2022)에 기술되어 있다.
2.2.1 물리적, 역학적 기본 물성
원주와 춘천지역의 무결암에 대한 실내시험으로부터 획득한 일축압축강도(UCS), P파 & S파 탄성파속도(Vp, Vs), 밀도(S.G.), 흡수율(W.S.) 등에 대한 기술통계량과 히스토그램을 정리하면 Fig. 5와 같다. 일축압축강도, 탄성파속도, 밀도, 공극률 등 모든 물성에서 원주지역 시험편이 춘천지역에 비해 강도가 높고 치밀한 조직을 보였으며, 각 물성의 분포에 있어서 두 지역이 다른 경우가 많으나 강도의 평균값으로 보면 두 지역 모두 경암(100 ~ 250 MPa)으로 분류할 수 있다.
2.2.2 정규성(normality) 검정
암석, 토질 등 지반재료의 역학적 물성은 편의상 대개 정규 혹은 대수정규 분포를 따른다고 가정하며(Sari and Karpuz, 2006, Martin and Christiansson, 2009), 특히 암석 강도 자료를 상기 분포로 제시한 경우가 많다. 각 물성이 정규 혹은 대수정규 분포를 따르는지 검정하였으며 각 지역별 표본의 수가 작으므로(< 50) Shapiro-Wilk test를 수행하였다. 유의수준 0.05에서 검정 결과는 Table 2와 같다.
Table 2.
Results of normality verification for physical and mechanical properties
Fig. 5 및 Table 2에서 확인할 수 있듯, 정규 혹은 대수 정규성을 보이는 물성은 없었다. 다만, 원주지역 일축압축강도에 대한 Kolmogorov-Smirnov 검정 결과로는 유의수준 0.05에서 정규성을 기각할 수 없는 것으로 확인되었다.
3. 암반공학분야 핵심 평가인자 및 분포범위
3.1. 일축압축강도 DB와 분포
일축압축강도는 무결암의 다양한 물성 중 가장 기본적이며 대표적인 역학적 물성으로 측정이 비교적 간편하며 다른 물리적, 역학적 물성들과의 상관관계가 높으므로 물성 추정을 위한 인자로도 광범위하게 활용된다. 일축압축강도는 무결암뿐만 아니라 RMR (Rock Mass Rating) 분류법, 국토교통부의 건설표준품셈 등 암반의 분류 기준 혹은 그 기본 인자로 활용될 수 있다.
3.1.1. 이론적 배경
일축압축강도의 대푯값 및 범위 산정 시 본 연구를 통해 새롭게 취득된 시험결과와 기존 참고문헌 결과를 종합하기 위해 베이즈 정리를 활용하였다. 베이즈 정리는 증거의 관점에서 확률이 얼마나 변화하는가를 나타내며 기본적으로 조건부 확률을 기반으로 추정을 수행한다.
두 사건 A, B에 대한 조건부 확률은 아래와 같이 표현된다.
- : B에 관한 정보 없이 도출된 A 에 대한 주변부 또는 사전(marginal or prior) 확률
- : B가 주어진 상황에서 A에 대한 조건부 또는 사후(conditional or posterior) 확률
- : B가 주어진 상황에서 A에 대한 우도(likelihood)
- : B에 대한 주변 확률로 에 대한 정규화 상수 역할
사후분포는 사전분포와 우도의 곱에 비례하며 A는 관심 모수(parameter), B는 사전정보 혹은 데이터에 해당한다. 즉, 주어진 사전정보를 바탕으로 관심 모수를 추론하며 불확실성에 대한 설명 역시 사전정보와 신규 데이터를 조합하여 설명이 가능하다. 또한, 새롭게 주어진 자료들을 순차적으로 적용하여 와 같은 정보의 최신화가 가능하다. 베이지안 추론을 통한 대푯값 및 범위 추론은 사전정보와 데이터를 조합한 사후분포를 계산한 후 진행되었다.
주어진 자료가 의 분포를 따르고 관심 모수 가 의 사전분포를 따를 때 결합분포는 이며 X에 대한 주변분포 와 같다. 따라서 관심 모수에 대한 사후분포는 아래와 같다.
관심 모수에 대한 사전정보를 수집하여 적절한 분포 로 모사하고 주어진 자료 역시 특정 분포로 모사하면 관심 모수에 대한 사후분포를 계산할 수 있다. 복수의 모수를 갖는 다변수(multi-parameter) 모형도 가능하며 모수가 라 할 때, 사후분포는 아래와 같다.
추론의 대상이 아닌 모수는 장애 모수(nuisance parameter)이며, 위의 경우에서 가 장애 모수, 이 관심 모수일 때, 관심 모수에 대한 주변확률분포는 아래와 같은 결합확률분포로 표현된다.
위의 결합확률분포는 적용한 사전분포 등의 형태가 복잡할수록, 또는 다차원 변수를 사용할수록 계산이 복잡하여 정해(closed form)를 구하기 어렵다. 따라서 이를 수치적으로 접근하여 해당 분포를 따른 샘플을 반복적으로 추출하고 수치적분을 수행하여 사후분포를 계산한다. 샘플링 과정과 수치적분에는 MCMC (Markov Chain Monte Carlo)기법을 적용하였다. MCMC는 Markov chain을 형성한 확률과정에서 원하는 분포를 따르는 표본을 추출할 수 있는 알고리즘으로, 일종의 확률과정으로 전이 행렬(transition matrix)에 의해 수열이나 벡터를 반복 생성해 나갈 때, (n+1) 번째 조건부 분포가 n번째 결과에 의해서만 영향을 받는다.
즉, 전이 행렬을 이용해 반복 계산을 수행하면 일정한 값에 수렴하며 이 수렴성이 확인되면 n번째 결과에 따라 (n+1) 번째 전이 과정이 예측되며 동시에 분포 생성을 위한 초기값에 독립적인 성질을 보인다. 모사 또는 추출하고자 하는 분포와 비례 혹은 유사한 형태의 표적 분포(target distribution)와 샘플 추출을 위한 제안 분포(proposal distribution)를 설정하고 Metropolis-Hastings 알고리즘에 따라 샘플을 추출한다.
3.1.2. 원주와 춘천 화강암반 일축압축강도 사전정보
문헌조사를 통하여 일축압축강도에 대한 사전정보와 그 분포를 구축하였다. 암석 물성은 그 성인, 지구조적 환경 등 다양한 요인에 의하여 영향을 받으며 지체구조 규모에서 무결암 물성 분포의 일관성을 찾기 어렵기 때문에 지역적 분포 수준에서 사전분포를 구축하는 것이 타당하다고 판단하였다. 따라서, 강원도 원주와 춘천지역 화강암에 대한 실내시험 결과를 수집하여 사전정보 구축에 활용하였다.
Choi et al.(2020)은 무결암의 역학적 물성에 대한 국내 지역적 분포를 제시한 바 있으며, 상기 논문에서 지역과 암종 조건에 부합하는 자료를 발췌하여 일축압축강도의 분포를 도시하면 Fig. 6과 같다. 원주지역 자료의 암종은 표본이 너무 작고(n=3) 상세지역 정보는 없으며, 춘천지역 자료는 화강암(n=18), 화강반암(n=4)이며 각각 춘천시 신북면, 동면에서 취득된 자료로, 강도 평균은 155.33 MPa, 표준편차는 7.32 MPa였다.
상기 논문 이외 원주와 춘천지역에 대한 자료는 Woo et al.(2009)와 Bae and Jeon(2005)의 문헌을 활용하였다. 원주지역의 경우 Woo et al.(2009)에서 인공 풍화 처리 전 화강암의 일축압축강도 자료만 발췌하여 활용하였으며, 상세 위치는 원주시 가현동이며 총 20개 자료에 대해 평균 148 MPa, 표준편차 60.79 MPa였다. 춘천지역은 Bae and Jeon(2005)에서 화강암의 일축압축강도 자료만 발췌하여 활용하였다. 문헌에서 상세한 지역 정보는 없으나 춘천-양구 접경 지역이므로 춘천시 북산면으로 추정된다. 또한 일축압축강도 전체 값은 제시되고 있지 않으나 총 19개 자료에 대해 평균 111 MPa, 표준편차 48.98 MPa이며 확인할 수 있는 그래프에서 대략적인 분포만 발췌하면 Fig. 7과 같다.

Fig. 7.
Prior information on UCS from literature survey 2 ((a) Woo et al., 2009; (b) Bae and Jeon, 2005)
문헌조사를 통한 사전정보를 종합한 결과, 지역적으로 두 사례의 정보를 수집했으나 표본 크기에서 각 사례의 차이가 커서 일축압축강도의 평균과 표준편차가 특정한 분포를 따른다고 가정하기 어렵다. 따라서 수집된 사전정보의 특성상, 평균과 표준편차는 최댓값, 최솟값 범위 내에서의 균등 분포(uniform distribution)를 가정하여 수집된 정보를 절사하여 정리하면 Table 3과 같다.
Table 3.
Summary of prior information on UCS in Wonju and Chuncheon
| Ave. | S.D. | |||
| Max | Min | Max | Min | |
| Wonju | 155 | 148 | 60 | 7 |
| Chuncheon | 118 | 111 | 61 | 60 |
평균의 경우 두 지역 모두에서 최대, 범위가 너무 좁고, 표준편차의 자료 중 원주의 경우는 표본 크기가 작아 범위가 지나치게 넓으나 춘천의 경우는 평균과 같이 범위가 좁았다. 표본의 크기, 암석의 불균질성, 시험적 오차 등을 고려하여 범위에 대한 보정이 필요하며 보정된 값을 적용한 결과는 Table 4와 같다.
Table 4.
Corrected prior information on UCS in Wonju and Chuncheon
| Ave. | S.D. | |||
| Max | Min | Max | Min | |
| Wonju | 170 | 120 | 60 | 20 |
| Chuncheon | 130 | 100 | 60 | 20 |
3.1.3. 원주와 춘천 화강암반 일축압축강도 평균의 분포
원주와 춘천지역 시추코어에서 신규 취득된 화강암 실내시험 결과 중, 일축압축강도만 발췌하여 정리하면 Table 5와 같다.
Table 5.
UCS obtained from recovered core
| Wonju | Chuncheon | |
| n | 44 | 45 |
| Min | 100 | 28 |
| Max | 260 | 240 |
| Ave | 205.80 | 175.73 |
| Std | 29.35 | 59.19 |
| CV (%) | 14.26 | 33.68 |
본 연구에서 획득한 시추코어로부터 획득한 신규 시험결과와 앞에 서술한 사전분포를 이용하여 일축압축강도 평균의 사후분포를 추정하였다. MCMC를 통해 사후분포를 따르는 샘플을 추출했으며 총 31,000개의 샘플 중, Markov chain 수렴 전 초기 1,000개의 샘플(burn in period)은 제거하고 총 30,000개의 샘플을 추출하였다. 샘플의 분포는 Fig. 8과 같이 나타낼 수 있다.
사후분포를 통해 추정된 원주지역 화강암의 사후 평균은 171.41 MPa, 사후 표준편차는 47.50 MPa, 95% 신뢰수준에서 신용구간(credible interval)은 93.91 ~ 241.72 MPa로 추정되었으며, 춘천지역 화강암의 사후 평균은 122.66 MPa, 사후 표준편차는 58.77 MPa, 95% 신뢰수준에서 신용구간(credible interval)은 20.81 ~ 219.58 MPa로 추정되었다.
3.2. 원위치 응력(현지응력) DB와 분포
원위치 응력은 암반 구조물이 건설될 지점에 작용하는 지압으로 암반 단위 해석 시, 응력의 경계조건으로 활용되므로 구조물의 설계 및 안전성 해석이 필수적인 요소이다. 암반의 강도와 원위치 응력의 비율을 바탕으로 구조물의 안정성을 해석할 수 있으므로 암반 구조물의 설계 제원(크기, 구조, 방향 등)은 이러한 원위치 응력의 크기와 방향을 반드시 고려해야 한다.
3.2.1. 이론적 배경
본 연구에서 원위치 응력을 추정하기 위하여 사용된 방법은 수압파쇄시험으로 시험 구간을 상하부 패커를 이용해 격리하고 수압을 가하여 암반을 파쇄하고 파쇄 시 수압과 균열의 방향으로 원위치 응력의 크기와 방향을 산정한다. 일반적인 시간-수압 곡선은 Fig. 9와 같다(KSRM, 2016).
수압 재하-제하를 반복하여 균열파쇄압력(, breakdown pressure), 균열폐쇄압력(, shut in pressure), 균열개구압력(, reopening pressure) 등을 취득한다. 균열파쇄, 개구압력 등이 비선형 거동일 보일 경우, 이중선형 감쇠(bilinear decay rate), 지수 감쇠(exponential decay), 압력-누적 주입유량법(pressure – accumulated injection fluid volume) 등의 처리를 통해 압력을 결정한다. 수압파쇄시험 후, 공내 검층을 통해 균열의 방향을 확인하며 이 때, 수압파쇄에 의한 암반균열은 최대주응력 방향으로 발생한다.
3.2.2. 국내 원위치 응력 분포
Kim et al.(2020b)은 수압파쇄와 오버코어링 자료를 활용한 한국응력지도 2020에 대한 소개 논문에서 한국지질자원연구원이 1980년대 이후부터 현재까지 수행된 전국의 306개 시추공에서 획득한 1401개의 응력정보를 포함하여 제시하였다. 수집된 응력정보는 주로 지반조사 목적으로 수행되어 비교적 천부에서 측정되었으나, 일부는 1 km 심도 이내의 심부 광산 및 지하비축기지 내에서 오버코어링법에 의한 자료가 포함되어 있다. 제시된 전체 응력측정구간은 지하 10 ∼ 880 m의 구간에서 수행되었다. 한반도 전역의 원위치 응력분포는 Fig. 10과 같으며 수직응력, 최대수평응력, 최소수평응력에 대한 회귀식은 다음과 같다. Z는 지표로부터 심도를 의미한다.

Fig. 10.
Distribution of in-situ stresses measured by hydraulic fracturing and overcoring method in South Korea (Kim et al., 2020b)
수평응력 대 수직응력의 비인 측압계수(K)는 응력성분의 상대적 크기를 의미하며, 심도가 깊어질수록 감소하는 경향을 보인다(Fig. 11). 측압계수는 수평응력에 따라 각각 와 가 , 의 관계식에서 산정되며, 평균 측압계수 로 표현된다. 한반도 전역의 측압계수는 다음과 같은 범위 내에 존재하는 것으로 알려져 있다.
한반도 전역에 대한 측정결과의 통계적 평균값으로부터 획득된 최대수평응력방향은 80°± 41°으로, 북동에서 남동 범위에 있다.

Fig. 11.
Variation of stress ratio with depth (left: minimum horizontal stress ratio, middle: maximum horizontal stress ratio, right: average horizontal stress ratio (Kim et al., 2020b)
3.2.2. 원주와 춘천 화강암반의 원위치 응력 계산
원주/춘천 화강암반에 대해 수행한 수압파쇄시험을 통해 직접 측정이 가능한 균열파쇄압력, 균열폐쇄압력, 균열개구압력, 암반인장강도를 심도에 맞게 도시하면 Fig. 12와 같다. 또한 이를 심도에 따른 직선으로 회귀하면 Fig. 12의 점선과 같이 표현된다.

Fig. 12.
Pressure distribution with depth measured from hydraulic fracturing method (Cheon et al., 2022)
회귀식을 로 동일하게 구성하고 각 압력에 대한 회귀식의 계수 및 결정계수를 계산하면 아래 Table 6과 같다.
Table 6.
Regression for pressures measured by hydraulic fracturing
| Wonju | |||
| a | b | r2 | |
| 0.0176 | 10.1659 | 0.5809 | |
| 0.0200 | 3.0442 | 0.8474 | |
| -0.0024 | 7.1217 | - | |
| 0.0185 | 2.2848 | 0.9083 | |
| Chuncheon | |||
| a | b | r2 | |
| 0.0096 | 17.2759 | 0.0349 | |
| 0.0224 | 5.1003 | 0.4989 | |
| -0.0128 | 12.1756 | 0.3682 | |
| 0.0224 | 3.3382 | 0.5153 | |
두 지역 모두, 심도에 따라 균열파쇄압력, 균열폐쇄압력, 균열개구압력은 증가하며, 암반인장강도는 감소하는 경향을 보였다. 결정계수가 확연히 작은 춘천지역 균열파쇄압력을 제외하고 나머지 균열파쇄압력, 균열폐쇄압력, 균열개구압력은 기울기가 유사한 수준으로 증가하였다. 위의 측정값을 바탕으로 계산된 원위치 응력의 크기 및 방향은 Fig. 13과 같다.
각 주응력의 회귀식을 로 동일하게 구성하고 각 압력에 대한 회귀식의 계수 및 결정계수를 계산하면 Table 7과 같다. 원주지역의 경우 작용하는 최대응력이 30 MPa 이하이며 춘천의 경우도 40 MPa 이하로 이는 각 지역에서 취득된 무결암 시험편 강도의 평균에 비해 각각 15%, 25% 이하 수준이기 때문에 역학적 안정성은 높을 것으로 판단된다.
Table 7.
Regression for in-situ stress in Wonju and Chuncheon
| Wonju | |||
| a | b | r2 | |
| 0.0260 | 0 | 1 | |
| 0.0185 | 2.2848 | 0.9083 | |
| 0.0257 | 3.8102 | 0.8535 | |
| Chuncheon | |||
| a | b | r2 | |
| 0.0255 | 0 | 1 | |
| 0.0224 | 3.3382 | 0.5153 | |
| 0.0349 | 4.9100 | 0.3704 | |
시추공 균열방향으로 통해 측정된 최대수평응력과 최소수평응력의 방향을 정리하면 Table 8과 같다.
Table 8.
Orientation of horizontal stresses in Wonju and Chuncheon
| Wonju | |||
| Ave. | S.D. | Range | |
| 101 | 36 | 25~147 | |
| 191 | 36 | 115~237 | |
| Chuncheon | |||
| Ave. | S.D. | Range | |
| 95 | 27 | 40~147 | |
| 185 | 27 | 130~237 | |
원주지역의 경우, 심도에 따른 주응력 크기는 직선회귀결과 비교적 높은 결정계수를 보였으나 심도에 따른 주응력의 방향은 매우 편차가 컸다. 특히, 심도 100~300 m 사이에서 주응력 방향이 거의 180도 변하는 양상을 보였다. 이는 구조지질학 등을 포함한 다른 자료와 함께 추가적인 분석이 필요할 것으로 판단되며, 향후 다학제적 검토를 수행한 후 보고할 예정이다.
춘천지역의 경우, 심도에 따른 주응력 크기는 회귀결과 비교적 낮은 결정계수를 보였으며, 주응력 방향의 경우 300~450 m 사이에서 큰 변화를 보이나 약 450 m 이하의 심도에서는 일정한 값을 보였다.
원주와 춘천지역의 심도에 따른 최대 측압비(), 최소 측정비 (), 평균 측압비()를 도시하면 Fig. 14와 같다.
측압비는 일반적으로 심도에 반비례하는 형태이므로 회귀식을 로 두고 계수와 결정계수를 구하면 Table 9와 같다. 평균적으로 볼 때, 원주의 경우 심도가 깊어질수록 측압비는 1에 수렴하나 춘천의 경우 약 1.3에 수렴한다. 원주의 경우, 응력장은 거의 등방성에 가깝게 볼 수 있고, 춘천의 경우 방향에 따른 응력 이방성이 있으나 그 비율이 1.3으로 크지 않은 것을 확인할 수 있었다.
4. 맺음말
본 보고에서는 고준위방사성폐기물 심층처분을 위해 암반공학분야의 핵심 평가인자로 간주되는 일축압축강도와 원위치 응력에 대해 원주와 춘천지역의 화강암반을 대상으로 알아보았다. 일축압축강도의 분포범위를 산정하기 위하여 원주와 춘천지역 화강암을 대상으로 수행되었던 기존의 일축압축강도 값을 사전정보로 활용하고 심부 시추공에서 획득한 코어시료의 시험결과를 반영하여 통계적 처리를 통해 일축압축강도의 평균과 범위를 제안하였다. 원주와 춘천지역의 일축압축강도의 평균은 각각 약 171 MPa과 약 123 MPa였다. 원위치 응력의 경우 국내 원위치 응력의 분포 정보를 참조하고, 심도별로 수행된 수압파쇄시험으로부터 산정한 원위치 응력을 심도에 따라 회귀분석한 후 원위치 응력의 크기와 방향에 대해 평균값과 표준편차를 산정하였다. 최대수평응력은 원주와 춘천지역에서 각각 30 MPa과 40 MPa이하였으며, 최대수평응력방향은 각각 101°와 95°로 산정되었다.
앞서 언급한 바와 같이 고준위방사성폐기물 심층처분을 위한 부지선정에서 필요한 인자가 103개로 제시되었으며, 이 중 암반공학분야 인자는 33개이다. 이들 인자는 부지선정 1단계에서는 요구되지 않는 대신 기본조사와 심층조사 단계에서는 대부분 동일하게 요구된다. 암반공학 인자는 일반적인 지하공간구조물의 지반조사와 설계에서 사용되는 암석이나 암반의 물리적, 역학적 특성을 포함할 뿐 아니라 장기거동과 관련된 인자가 포함되어 있다. 또한 일반 지반조사에 비해 더 엄격한 품질관리가 요구된다. 따라서 부지선정과 관련한 암반공학분야의 인자를 획득하기 위해서는 인자 획득과 관련한 시험방법과 결과처리 등의 절차서가 마련되지 않은 경우에는 전문단체나 학회 등을 중심으로 절차서 마련이 필요하며, 이미 제시되어 있는 경우에도 더 엄격한 품질관리를 위한 검토와 보완이 필요할 것으로 생각된다.














