1. 서 론
2. 암반 불연속면의 장기 전단 거동 해석 모델
2.1 크리프 모델(Creep model)
2.2 RSF(Rate and State Friction) 모델
3. 암반 불연속면의 장기 전단 거동 실험 방법
3.1 실험 장치
3.2 실험 방법
4. 암반 불연속면의 장기 전단 거동 연구 사례
4.1 전단 크리프 시험을 활용한 연구 사례
4.2 속도 단계 시험을 활용한 연구 사례
4.3 슬라이드-홀드-슬라이드 시험을 활용한 연구 사례
5. 결 론
1. 서 론
2021 지진연보(KMA, 2021)에 따르면 1999년부터 2021년까지 국내에서 발생한 규모 2.0 이상의 지진 빈도가 전반적으로 증가하는 추세이다. 지진은 지각의 변동과 같은 이유로 자연적으로 발생할 수 있을 뿐 아니라 유체 주입, 댐, 광산, 석유 가스 개발, 지열에너지 등과 같은 인위적인 활동을 이유로도 발생한다(Foulger et al., 2018). 지하구조물은 지진과 함께 구조물 전체가 함께 거동하기 때문에 지상의 건축물보다는 지진에 의한 피해가 경감된다고 알려져 있으나, 지하구조물이 위치한 깊이, 암종, 인근 절리 유무 등에 따라 실제 피해 정도가 달라질 수 있다(Sharma and Judd, 1991).
따라서 고준위방사성폐기물 심층처분장을 건설하기 위해서는 암반 내 불연속면 전단 거동을 분석하고 그로 인한 영향을 고려할 필요가 있다. 먼저, 처분장에 연결된 불연속면의 전단 거동은 처분장 건전성에 직접 연관된다. 처분장 암반의 구조적 변화는 바로 근접한 완충재 성능이 저하되는 원인이 될 수 있기 때문이다. 완충재가 불연속면을 통해 유실되면 불연속면의 전단 저항 특성이 저하되어 처분장의 대규모 변형 위험을 증가시킬 수 있으므로 완충재와 불연속면의 상호작용도 중요한 고려 사항이다. 또한, 처분장 지역에 위치할 수 있는 단층의 재활성화와 같은 전단 거동도 검토가 필요하다. 심층처분장과 같은 대형 지하구조물이 주변 지반에 야기하는 역학적 교란과 사용후핵연료에서 발생하는 높은 온도로 인한 열응력은 주변 단층을 재활성화하는 원인이 될 수 있다. 단층이 재활성화되면 지진으로 인한 동적인 피해도 발생할 수 있으며, 단층의 전단 변위로 인한 응력 전이(stress transfer)는 주변 응력의 비가역적 변화를 일으켜 처분장 안전성에 추가적인 변수로 작용할 수 있다. 암반 내 불연속면은 암반 절리의 드러난 표면(bare surface)과 단층 비지(gouge)와 같이 그 사이를 채우는 충전물(infilling material)로 이루어져 있기 때문에 불연속면의 전단 특성은 드러난 표면과 충전물 각각의 특성뿐만 아니라 그 둘의 상호작용까지 고려해서 분석해야 한다. Fig. 1은 충전물의 두께에 따라 다양하게 변하는 불연속면의 전단 거동을 나타내고 있다(Barton, 1973).
암반의 전단 거동은 앞서 언급한 바와 같이 현지응력, 충전물 뿐만 아니라 온도와 수압에 의해서도 영향을 받을 수 있다. 기존 암석역학적 연구들은 전단 강도와 마찰각과 같이 단기적인 안정성 평가 요소에 미치는 온도(Donath et al., 1972, Pakpoom, 2013, Kim and Jeon, 2019)나 수압(Jaeger, 1959, Lee and Chang, 2013, Goodman and Ohnishi, 1973)의 영향을 다루었다. 이에 따르면 암종, 절리면 거칠기, 온도, 수압, 응력 등 다양한 요소에 의해 전단 거동이 결정된다. 그러므로 관심 부지의 암반에 대해 현장 조건을 재현할 수 있는 적절한 실험을 통해 그 전단 특성을 결정할 필요가 있다.
또한 고준위방사성폐기물 처분장은 고준위방사성폐기물의 반감기를 고려하여 수십만 년의 장기적인 안정성을 확보해야 하므로 암반 물성의 단기적인 특성과 더불어 장기적인 특성에 주목할 필요가 있다. 처분장은 수백 미터 깊이의 암반에 건설되기 때문에 지하수위 밑에서 높은 지중 응력하에 운영되며 고준위방사성폐기물의 열과 지열에 의해 100°C 내외의 온도에 노출될 수 있다. 그러므로 열과 지하수의 영향에 의한 암반 불연속면의 장기적 전단 거동 특성에 대해서 검토할 필요가 있다.
따라서 본 논문은 암반 불연속면의 전단 거동의 장기적인 특성을 분석하는 모델과 시험법을 정리하고 온도, 응력, 물과 같이 국내 고준위방사성폐기물 처분장 건설에 필요한 여러 영향 인자에 대하여 암반 불연속면의 장기 전단 거동을 실험한 연구 사례를 분석하여 기반 정보를 제시하고자 한다.
2. 암반 불연속면의 장기 전단 거동 해석 모델
2.1 크리프 모델(Creep model)
실제 암반은 하중을 받고 있을 때, 암석 자체의 유동(flow)이나 암석 내 미세균열(crack)의 발달로 인해 긴 시간에 걸쳐 추가적인 변형이 발생하는 크리프 현상이 나타난다(Goodman, 1989). 크리프 현상으로 인해 암석의 단기적인 강도보다 낮은 수준의 응력에 노출되어 있다고 하더라도 일정 시간이 지나면 큰 변형 혹은 파괴에 이르게 되어 지하구조물의 안전성에 큰 영향을 미치게 된다. 이를 정량화하기 위해 무결암에 대해 강도보다 낮은 수준의 일정한 하중을 오랜 시간 재하하는 크리프 시험이 국제암반공학회(International Society for Rock Mechanics and Rock Engineering, ISRM)의 표준시험법으로 제시되었다(Aydan et al., 2015). 시간에 따른 변형률 그래프를 도시해보면 하중 재하 후 크리프 속도가 감소하면서 변위가 증가하는 1차 크리프(천이 크리프, transient creep), 비교적 일정한 속도로 변위가 증가하는 2차 크리프(정상 크리프, steady-state creep), 급격하게 파괴로 이어지는 3차 크리프(가속 크리프, accelerated creep)의 형태로 나타난다(Boukharov et al., 1995). 일반적으로 1,2차 크리프는 경험적 모델 혹은 유변학적 모델을 통하여 그 특성을 모사할 수 있다(Yoon et al., 2010). 그러나 3차 크리프는 가해지는 응력 수준에 따라서 발생하지 않을 수도 있고, 일어나더라도 급격하게 발생할 뿐 아니라 경계 조건에 따라서 그 양상도 달라지므로 3차 크리프의 모사는 매우 어렵다(Farmer, 2012, Aydan et al., 2015).
암반 불연속면에 전단력이 작용할 때도 크리프 현상이 일어날 수 있다. Fig. 2에 따르면 암반 불연속면에 대한 전단 크리프 현상은 무결암에서와 마찬가지로 세 가지 단계로 나타나며(Jia et al., 2018), Burgers 모델과 같은 유변학적 모델이 적용될 수 있다(Curran and Crawford, 1980). Xu et al.(2013)은 절리 시료에 대해 전단 크리프 시험을 수치해석으로 수행하였고 탄성계수의 손상 모델과 시간에 따른 전단 강도 저하를 적용하여 세 단계의 전단 크리프 현상을 모사하는데 성공하였다. Ji et al.(2020)은 운모 시트(mica sheet)를 포함한 시멘트 모르타르 블록(cement mortar block)으로 절리를 내포한 암석을 모사하여 전단 시험을 수행하였다. 그리고 크리프 손상 모델과 점탄성 이론에 의거한 개선된 크리프 손상 모델(improved creep damage model)을 활용하여 전 구간에서 비선형적으로 발생한 전단 크리프 현상을 보다 사실적으로 모사할 수 있었다.

Fig. 2
Shear creep test plots of shear strain and strain-rate against time under the normal stress of 0.6 MPa and the shear stress of 1.095 MPa. The sample was the undisturbed natural fault with gouge between breccia lava (Jia et al., 2018)
2.2 RSF(Rate and State Friction) 모델
단층 및 지진역학 분야에서는 지질학적 규모의 시간(geological time scale)동안 일어나는 변화에 의해 발생하는 지진 혹은 단층의 전단 거동을 이해하기 위해 많은 실험이 이루어졌고, 전단 거동이 가지는 여러 특징들을 모사하기 위해 식 (1)과 같은 관계식이 제안되었다(Ruina, 1983). 이는 Dieterich-Ruina 법칙 혹은 ‘slowness’ 법칙이라고 불리며(Park et al., 2007), 이를 적용한 전단 거동의 이론적 모델을 RSF 모델이라고 한다(Woo et al., 2016). RSF모델은 전단 속도와 마찰 계수의 관계를 정의하는 구성 방정식으로 간주되며, 2011년 오클라호마에서 전진과 본진 사이에 있던 20시간의 시차를 설명하는데 이용되기도 했다(Norbeck and Horne, 2016).
여기서, μ는 마찰 계수, v는 전단 속도, v0는 기준 전단 속도, μ0는 v = v0인 정상 상태의 마찰 계수이다. dc는 특성 변위라 하며 속도가 급격히 변하여 마찰 계수가 교란되었을 때 마찰 계수가 정상 상태로 돌아오는 데 필요한 전단 변위의 크기를 나타내는 지표이다. a는 전단 속도의 변화에 따른 마찰 계수의 변화를 나타내는 환산계수(scale factor)이고, b는 상태 변수(θ, state variable)의 변화에 따른 마찰 계수의 변화를 나타내는 환산계수이다. θ는 상태 변수라 하며, 전단 속도의 변화에 즉각적으로 반응하지 않지만, 그 순간의 전단 속도 v에 대하여 dc/v로 시간에 따라 점차 수렴하는 변수이다. 정상 상태에 비해 속도가 급격히 증가할 때는 상태 변수는 천천히 감소하고 속도가 급격히 감소할 때는 상태 변수가 천천히 증가하게 된다.
상태 변수가 이러한 성질을 만족하도록 다음의 두 가지 형태의 관계식이 많이 쓰인다. 식 (2)는 Slip law 혹은 Ruina law라고 불리며 단층의 파열 핵 형성(rupture nucleation)과 같이 단층이 가속하며 전단하는 현상을 묘사하기에 적합하다고 알려져 있다. 반면 식 (3)은 Aging law혹은 Dieterich law라고 하며 식 (2)와는 달리 v = 0일 때 상태 변수가 1의 크기로 시간에 따라 증가한다. 단층이나 불연속면이 멈춰있는 시간이 오래될수록 마찰 계수가 증가하는 마찰 회복(frictional healing)을 나타내는 데 적합하다고 알려져 있다(Segall et al., 2010).
그러나 실제 전단 거동의 안정성을 판단하는데 중요하게 고려되는 특성치는 (a-b)로 표현되는 마찰률 파라미터(friction parameter)이며 이는 상태 변수가 정상 상태에 도달한 상태만을 고려하여 결정된다. 상태 변수가 정상 상태라면, 식 (1)에 의해 정상 상태의 마찰 계수(μss)는 전단 속도(v)의 자연로그값에 비례하고 그 비례상수가 식 (4)와 같이 마찰률 파라미터가 된다.
이 때, Fig. 3과 같이 마찰률 파라미터가 양이면 속도 경화(velocity strengthening)라고 하고, 반대로 마찰률 파라미터가 음이면 속도 연화(velocity weakening)이다. 속도 연화 상태의 단층은 불안정한 미끌림(unstable sliding)을 일으킬 수 있어서 결국 지진으로 이어질 수 있는 상태라고 판단한다. 다만, 주변 암석의 강성이 커서 전단 변위에 따른 작용 응력의 감소가 속도 증가에 의한 마찰 계수의 감소 효과보다 크게 되면 안정한 미끌림(stable sliding)이 발생할 수도 있기 때문에 불안정한 미끌림의 실제 발생 여부에는 추가적인 판단이 필요하다(Park et al., 2007, Woo et al., 2016).
마찰 회복은 시간에 따라 전단 강도가 증가하는 현상으로, 통상 지진 발생 이후에 지진 재발 시간을 연구하거나 그 시간 동안 전단 강도의 변화를 분석할 때 중요하다. 이 현상을 나타내는 특성치를 마찰 회복률(frictional healing rate, β)이라고 하며 식 (5)로 정의된다. Fig. 3에서 알 수 있듯이 순간 최대 마찰 계수(peak friction coefficient)와 정상 상태의 마찰 계수의 차이(Δμ)와 전단 거동이 일어나기 전에 멈춰있던 홀드 시간(hold time, t)의 로그값의 비율로 마찰 회복률이 표현된다. 마찰 회복력이 클수록 응력이 크게 축적되어 큰 규모의 응력 방출이 일어날 수 있는 위험성이 커지게 된다(Woo et al., 2016).

Fig. 3
Velocity step test plots of friction coefficient against shear displacement under the normal stress of 10 MPa. The gouge sample was sampled from the subsidiary faults within the damage zone of the Yangsan fault (Woo et al., 2016)
3. 암반 불연속면의 장기 전단 거동 실험 방법
3.1 실험 장치
암반 불연속면의 전단 거동의 특성을 파악하기 위하여 크게 직접전단시험, 삼축압축시험, 그리고 이축전단시험이 이용되고 있고, 다양한 열-수리-역학적인 조건을 조절하며 실험하기 위해 각 시험에 쓰이는 장비들이 적절히 개조되어 활용된다. 첫 번째로 직접전단시험은 국제암반공학회(Muralha et al., 2014) 및 한국암반공학회(KSRM, 2009)에서 암반 불연속면의 특성을 알아내기 위한 표준시험법으로 제안되었다. 본래 직접전단시험의 목적은 불연속면 최대 및 잔류 전단 강도를 결정하는 것이며, 직접전단시험기는 수직하중과 전단하중을 재하하면서 측정할 수 있는 각각의 장치와 함께 전단 변위와 수직 변위를 측정할 수 있는 장치로 구성된다(Fig. 4(a)). 일정 하중조건(Constant Normal Load, CNL)에서 전단 시험을 수행하면 수직하중은 일정하게 유지해야 하지만, 일정 수직강성조건(Constant Normal Stiffness, CNS)에서 전단 시험을 수행하면 수직 변위의 발생에 따라 수직하중을 비례하여 변화시키며 실험을 수행한다. 절리를 포함한 시료가 거치대에 맞지 않을 때는 절리가 전단 방향과 평행하도록 위치시킨 뒤, 시료를 다이아스톤, 시멘트 등의 몰드 내에 고정시켜서 실험할 수 있다. 이 때, 원통형 시료의 전단면과 같이 전단 변위에 따라 전단면의 면적이 감소할 때는 그에 따른 응력 변화를 고려해야 한다(KSRM, 2021). 통상 전단 변위가 일정하게 변하도록 서보제어(servo-controlled) 시스템을 이용하여 가압한다. Mitchell et al.(2016)은 온도 조건을 조절하기 위해 선형 열원을 직접전단시험기에 결합시키고 포화 조건을 조절하기 위해 하단에 물을 공급하였다. 그러나 이 시험법은 절리면이 공기 중에 노출되어 있으므로 수압과 같은 물리적 조건을 조절하기 어렵다는 단점이 있다.

Fig. 4
(a) Direct shear testing machine(Mitchell et al., 2016) (b) Triaxial compression testing machine(An et al., 2022), (c) Biaxial shear testing machine(Kilgore et al., 2017)
두 번째로 삼축압축시험을 활용하여 불연속면의 전단 거동을 시험할 수도 있다. 삼축압축시험은 국제암반공학회(Kovari et al., 1983) 및 한국암반공학회(KSRM, 2006)에서 표준시험법으로 제안되었고 여러 구속압에서 원주형 무결암 시험편들의 강도를 측정하여 암석의 내부마찰각과 점착력을 구하는 시험법이다. Fig. 4(b)와 같이 삼축압축시험기는 축방향 가압장치, 구속압 가압장치, 삼축셀, 그리고 가해지는 힘과 변위를 잴 수 있는 측정장치로 구성된다. 원주형 시험편 내에 축방향에 대해 경사진 불연속면을 위치시키고 삼축압축시험을 하여 무결암 파괴 대신 불연속면을 따르는 전단 파괴가 일어나도록 실험을 설계하면 암반 불연속면의 전단 특성을 알아낼 수 있다. 통상 축 변위가 일정하게 변하도록 서보제어 시스템을 이용한다. 이 방법은 시험편이 밀폐되고 구속된 상태에서 진행되므로 수압과 같은 물리적 조건을 조절하기 수월하나, 경사진 불연속면에 대한 전단 응력과 수직 응력을 임의로 독립적이게 조정하기 어렵고 다른 시험법보다 총 전단 변위가 작다는 단점이 있다. Lockner et al.(1982)와 Kim and Jeon(2016) 등이 해당 시험법을 통해 열-수리-역학적인 조건에서 암석의 전단 거동 특성을 평가한 바 있다. Moore and Lockner(2008)는 아르곤 가스로 구속압을 가하는 삼축압축장치를 이용하여 온도를 변화시키며 불연속면의 전단 거동에 대한 실험을 수행하였다. 이를 위해, 먼저 시료와 가압판 전체를 구리막(copper jacket)으로 감싸서 아르곤 가스와 격리시켰고 그 주변을 감싸는 가열장치(furnace)를 설치한 뒤, 가열장치와 구리막 사이를 열전도도가 우수한 질화붕소로 느슨하게 채웠다. 이 상태에서 불연속면에 공극압을 가하기 위해 원통형 시료 상반 중앙에 축을 따라서 구멍을 뚫고 그 구멍과 외부를 연결하여 물을 주입하였다. 이 때, 불연속면에 충전물이 있는 시험을 할 경우, 충전물이 구멍을 막지 않도록 구멍에 짧은 철 튜브를 설치하였다. Moore and Lockner(2011)는 250°C 미만의 온도에서 구리 대신 납으로 막을 만들면 본 시험법을 통해 마찰 계수를 더 정확하게 측정할 수 있다고 보고하였다.
세 번째로 이축전단시험은 지진학 분야에서 암반의 드러난 표면(단층면) 혹은 충전물(단층 비지)의 전단 특성을 파악하기 위해 수행되는 시험법이다. 이중전단시험(Double Direct Shear test, DDS test)이라고도 하며 Fig. 4(c)와 같이 중앙에 큰 블록과 양측에 작은 블록을 샌드위치 형태로 거치하고 양측에서 수직응력을 가할 때 중앙 블록을 수직응력에 직각방향으로 밀어내어 전단 시험을 수행한다. 단층 비지의 전단 거동을 관측할 때는 단층 비지를 블록과 블록 사이에 위치시키되 그 전단면을 #60~#80정도의 사포로 거칠게 연마하여 블록과 비지 사이가 아닌 비지 내에서 전단이 일어날 수 있도록 하고 양 전단면이 평행을 잘 유지할 수 있도록 해야 한다(Woo et al., 2016, Kilgore et al., 2017). 전단과 수직 방향 각각에서 변위 측정 장치와 하중 측정 장치가 필요하고 전단 속도에 대한 서보제어 시스템이 이용된다. 실례로써 Kilgore et al.(2017)은 전단 속도는 10-4 μm/s 에서 103 μm/s 정도에 수직 응력은 150 MPa정도까지 가할 수 있는 장치에 중앙 블록은 4~5 cm × 8 cm, 양측 블록은 4~5 cm × 5 cm로, 각 블록의 두께는 2 cm내외로 시료를 준비하고 #60의 사포로 연마하여 이축전단시험을 수행하였다. Scuderi and Collettini(2016)는 수압에 따른 단층 비지 시료의 마찰 특성을 알아내기 위해 암석 블록 대신 구멍이 뚫린 철 블록을 이용하여 중앙 블록에서 양쪽 블록으로 물이 흐르게 하였고, 블록과 시료 사이에 소결된 다공성 프릿(sintered porous frit)을 위치시켜서 물이 단층 비지에 골고루 분포할 수 있도록 하였다. 그리고 블록들로 이루어진 실험 장치 전체를 라텍스로 감싼 뒤 그 자체를 큰 챔버안에 두고 기름으로 구속압을 가하여 실험을 수행한 바 있다.
3.2 실험 방법
암반 불연속면의 장기 전단 거동을 실험하기 위해서는 불연속면에 대해 잘 정립된 기존 시험법을 분석하고 활용할 필요가 있다. 첫 번째로 전단 크리프 시험은 불연속면에 대한 장기 크리프 거동을 분석하는 시험으로, 전단 시험의 표준시험법을 따르지만 크리프 시험법의 주의 사항을 고려하여 시험을 수행하고 결과 해석법을 적용한다. 크리프 시험에서 중요한 것은 일정한 조건에서 일정한 하중을 오랜 시간 유지하면서 변형 정보를 지속적으로 혹은 주기적으로 기록하는 것이다. 온도와 습도를 일정하게 유지할 수 있는 실험실 환경을 조성해야 하며, 포화된 시료의 경우 포화도를 유지하기 위해 불투수성 재료로 밀봉하거나 코팅해야 한다. 장기적인 시험 조건을 고려하여 안정적인 전기 공급, 유압기의 유체 상태 유지, 안정적인 측정, 그리고 하중기의 급작스런 파괴에 대비한 안전 시스템이 필요하다(Aydan et al., 2015). 단계별로 하중을 점점 증가시키면서 각 단계에서 일정 하중을 일정 시간 동안 유지하며 크리프 거동을 관찰하는 시험법도 있다. 이 시험법은 시료가 제한적이어서 불연속면에 대한 평균적인 전단강도를 알기 어렵거나 2차 크리프 거동이 관측되는 한계 조건을 알아내는 등 다양한 경우에 유용한 방법이다(Yoon et al., 2010, Wang et al., 2018). 실례로써 Wang et al.(2018)은 단계별로 하중을 점점 증가시키는 전단 시험법을 활용하여 다양한 응력 조건에서 전단 크리프 거동에 대한 실험을 수행했다. 일축압축강도의 10-30%에 해당하는 수직 응력을 유지한 채로 전단 응력을 가했으며 각 방향별로 목표한 응력에 도달할 때까지 0.5 MPa/min의 속도로 재하하였다. 사전에 단기적인 전단 시험으로 알아낸 전단 강도의 50% 수준부터 10%씩 증가시키되 매 단계에 72시간 동안 일정 응력을 유지하였다.
속도 단계 시험(velocity step test)은 여러 전단 속도에 대하여 특정 시간 동안 각 단계별 속도를 일정하게 유지하면서 하중을 측정하여 불연속면의 전단 거동 안정성을 평가하는 시험법이다. 전단 거동의 안정성은 크게 두 가지로 구분되는데, 하나는 안정한 미끌림 혹은 비지진성 크리프(aseismic creep)이고 다른 하나는 불안정한 미끌림 혹은 지진성 미끌림(stick-slip)이다. Fig. 3과 같이 속도가 변하는 순간에 전단 저항이 순간 최댓값을 가지게 되므로 1000 Hz 정도로 측정 데이터를 취득하기도 하며, 각 속도 단계별로 속도 차이가 극명해야 하므로 5배에서 10배 차이가 나도록 설계한다(Park et al., 2007, Woo et al., 2016, An et al., 2022). 속도 단계 시험에서 측정된 데이터에 RSF 모델을 적용하면 이러한 전단 거동을 식 (1)의 a, b, dc로 특성화할 수 있다. RSF모델 특성화 방법에는 식 (4)가 나타내듯이 각 전단 속도 단계에서 정상 상태의 마찰 계수를 이용하는 방법이 있고, 시험 데이터와 RSF 모델에 의한 수치해석 결과를 대응시켜서 구하는 방법이 있다. 수치해석을 이용하기 위해서는 식 (2)나 식 (3) 중에 하나의 식과 식 (1)과 함께 가압 장치의 전단 속도와 실제 전단면의 전단 속도 사이에 발생하는 시차를 고려할 수 있는 다음 식이 필요하다.
여기서 vlp는 하중기 속도(load point velocity), v는 전단면의 전단 속도, k는 하중기와 전단면 사이를 잇는 유효 강성 (Pa/m), dτ / dt는 전단 응력의 시간 변화율을 의미한다.
Fig. 3에서 나타내듯이 이상적인 상황에서는 순간 최대 마찰 계수와 정상 상태의 마찰 계수를 비교하면 a나 b를 정할 수 있다. 다만, 순간 최댓값을 이용하여 특성화하는 경우 불연속면의 마찰 특성뿐만 아니라 하중 장치의 유효 강성, 전단 속도와 같은 요소들이 순간 최댓값에 영향을 미치게 된다. 예를 들면 순간 최댓값에 도달하는 시간 동안 이미 상태 변수의 감소가 어느 정도 진행되어 Fig. 3의 예상치보다 마찰 계수를 작게 평가할 수 있다(Marone, 1997).
슬라이드-홀드-슬라이드 시험(slide-hold-slide test)은 전단을 일으키다가 전단 변위를 정지시킨 후 특정 시간 이후에 전단을 다시 시작했을 때 순간 최대 마찰 계수를 측정하여 마찰 회복력을 정량적으로 평가하는 시험법이다. 마찰 회복은 정지 단계의 유지 시간인 홀드 시간의 크기에 따라 달라지므로 홀드 시간을 바꿔가면서 시험하게 된다. 매 슬라이드 단계에서 동일한 속도를 일정하게 유지하며 전단 속도로 10 μm/s(Woo et al., 2016) 혹은 1 μm/s(Pluymakers and Niemeijer, 2015)가 쓰인 경우가 있다. 이 시험은 순간 최대 마찰 계수를 관찰해야 하는 시험이므로 측정 데이터를 통해 마찰 회복률을 산정하기 위해서는 속도 단계 시험을 이용한 특성화에서 언급한 것처럼 하중 장치의 유효 강성, 전단 속도 등의 영향을 적절히 고려해야 한다.
4. 암반 불연속면의 장기 전단 거동 연구 사례
4.1 전단 크리프 시험을 활용한 연구 사례
무결암에 대한 크리프 시험 연구에 비해서 불연속면에 대한 전단 크리프 시험 연구는 아직 기초적인 수준으로, 역학적인 측면에서 주로 연구되었다. Wang et al.(2018)은 불연속면의 거칠기 계수(Joint Roughness Coefficient, JRC)외에 변인들을 통제하여 실험하기 위해, Barton이 제시한 JRC 프로파일을 내포하는 한 변이 10 cm인 정육면체 시멘트 모르타르 블록을 제작하여 불연속면의 전단 거동에 관해 연구하였다(Fig. 5). 실험 장치로 직접전단시험기가 이용되었고 실험 방법은 3.2절에 상술하였듯이 전단 크리프 시험법을 기반으로 구성되었다. 이 연구에서 중점적으로 다뤘던 장기 강도(long-term strength)는 그 이하의 응력이 가해져서 유지될 때는 변위가 안정화되지만 그 이상이면 점소성 변위가 계속 발생하여 많은 시간이 흐른 뒤에는 파괴에 이를 수 있는 한계 응력을 말한다. 이 연구는 변위와 전단 응력 그래프를 그렸을 때 선형적 변형에서 벗어나 변위가 급격히 늘어나면서 비선형성이 강해지는 지점의 전단 응력을 측정하여 이를 장기 강도로 간주할 수 있다고 제안했다. 그 결과, JRC 증가에 따라서 Fig. 6(a)와 같이 최종 강도 대비 장기 강도의 비율은 감소하였음을 확인할 수 있었다. 또한 변위-전단 응력 관계에서 파악한 전단 강성이 JRC 증가에 따라서 전단 속도에 대한 민감도가 증가하는 것을 관찰하였다. Wang et al.(2021)은 JRC와 사전에 가해진 응력 경로가 불연속면의 크리프 거동에 미치는 영향을 연구하였고, Fig. 6(b)와 같이 사전에 가해지는 최대 응력이 전단 강도의 70% 수준(~장기 강도)보다 낮은 영역에서는 JRC가 커질수록 크리프에 의한 변형이 커지지만 70% 수준보다 큰 영역에서는 크리프 변형이 JRC와 무관하게 비슷해지는 것을 관찰했다. 또한 JRC가 커질수록 전단 실험 초반에 감속하는 정도와 내부 저항, 그리고 크리프 속도가 증가하였고 마찬가지로 사전에 가해지는 최대 응력이 일정 수준을 넘기면 JRC의 영향이 비슷해지는 것을 관찰하였다. 이러한 전체적인 결과를 미세 거칠기(asperity)의 파괴 여부로 일관적으로 설명하였으며, 사전 응력 경로로 인해 미세 거칠기가 파괴됨으로써 크리프 시험 직전 JRC가 초기 JRC와는 무관하게 비슷한 수준으로 감소된 것이 크리프 거동에 영향을 미쳤다고 해석하였다. 더불어 불연속면의 전단 거동에 대해서 장기 강도 이하의 응력 상태에서는 장기적으로 안정화될 수 있는 최종적인 변형량이 있으며 이를 나타내는 한계 곡선(limit curve)의 존재를 관찰하였다((Fig. 6(c)). 한계 곡선에 따르면 사전 응력 경로에서 최종 변형량 이하의 소성 변형이 일어났다면 한계 곡선에 도달할 때까지 크리프 변형이 일어나게 된다.

Fig. 5
Process of preparing cement-mortar block containing discontinuity with certain JRC (Wang et al., 2021)

Fig. 6
(a) Plot of the ratio of long-term strength to instantaneous strength against JRC (Wang et al., 2018) (b) plot of creep deformation against the ratio of peak shear stress to shear strength (c) schematic diagram of limit curve dividing stable and unstable regions (Wang et al., 2021)
4.2 속도 단계 시험을 활용한 연구 사례
4.2.1 충전물 두께와 절리면 거칠기에 의한 영향
Marone et al.(1990)은 삼축압축장치를 이용하여 속도 단계 시험을 기반으로 전단 실험을 수행하였다. 석영질 모래를 단층 비지, 즉 충전물로 간주하고 포화 배수 조건과 일정 수직하중 조건에서 실험하였으며 다양한 거칠기(#60~#320)의 사포로 전단면을 연마하여 표면 거칠기를 조절하고 충전물의 두께(0~4.0 mm)를 조절하였다. Westerly 화강암 코어 시료(지름 3.5 cm, 길이 8.2 cm)에 중심축에 대하여 45° 기울어진 불연속면을 만들어 그 사이에 충전물을 위치시켰고 공극압은 5 MPa 또는 10 MPa로, 유효수직하중은 100 MPa로 유지하였다. 축 변위 속도를 0.01~30.0 μm/s에서 조절하였고 최종 전단 변위가 13 mm 이하가 되도록 했다. 전단 변위를 계산할 때는 측정된 축방향 변위에서 불연속면의 방향과 시료 및 장치의 탄성적 단축 효과를 고려하였고, 일정 수직하중 조건을 위해 구속응력과 축응력이 1:1로 교환되도록 서보제어 시스템을 구축했으나 접촉면이 감소하는 효과를 실시간으로 반영하지는 않았다. 또한 시료가 불연속면을 따라 미끄러질 때, 축에 수직한 방향으로 밀리면서 가압면과 시료 사이에 발생하는 저항과 시료를 감싸는 폴리올레핀 막(polyolefin jacket)으로 인한 저항을 측정할 수 있는 사전 실험을 수행하여 하중 데이터를 보정하였다. 실험 초반에 하중의 제하와 재하를 반복하여 단층 비지의 다짐이 충분히 일어나게 하였고, 이는 공극압을 유지시키기 위한 물의 출입이 일정해지는 것을 통해 확인할 수 있었다. 그 결과 Fig. 7(a)과 같이 충전물이 없을 때는 속도 연화 현상이 일어났으나 0.5 mm 두께라도 충전물이 있는 경우에는 속도 경화 현상이 일어났고, 충전물의 두께와 표면의 거칠기가 감소함에 따라 마찰률 파라미터가 감소하며 속도 경화 정도가 감소하였다. Fig. 7(b)는 화강암 대신 전단면이 거칠게 처리된 철 시료에 충전물을 넣고 50~190 MPa까지 수직응력을 바꿔가면서 실험한 결과를 보여주고 있으며 수직 응력이 증가함에 따라 마찰률 파라미터가 감소하는 것을 확인할 수 있다.

Fig. 7
Plot of friction parameter, a-b, against (a) gouge layer thickness and (b) normal stress. Bare granite surface grinded by 320 grit sandpaper exhibited dominantly unstable slip (Marone et al., 1990)
Marone and Cox(1994)는 직접전단장치를 이용하여 속도 단계 시험을 기반으로 전단 실험을 수행하였다. 반려암(gabbro) 블록을 14 × 40 cm 만큼 접촉시키고 상온, 5 MPa 수직 응력하에서 0.1~10 μm/s에서 전단 속도를 조절하였으며, 최대 전단 변위는 60 mm 내로 제한하였다. 비교를 위해 #60 사포로 연마한 부드러운 표면과 모래 분사로 만든 거친 표면을 준비하였다. 거친 표면에서 마찰 계수가 초반에는 0.45였다가 전단 변위 50 mm를 넘어감에 따라 0.7로 수렴하였고 전단 변위가 증가함에 따라 마찰률 파라미터는 양수에서 음수로, 특성 변위 dc는 1 μm에서 4 μm로 증가하였다. 부드러운 표면은 마찰률 파라미터와 특성 변위가 전단 변위에 따라 크게 바뀌지 않았으며 특성 변위는 약 2 μm였고 불안정 미끌림을 보였다.
위 두 전단 실험 연구는 자연 발생적인 절리를 이용하지는 않았으나, 절리면 거칠기가 마찰 계수의 크기뿐만 아니라 미끌림 안정성 및 전단 거동에 영향을 미치는 것을 확인했다. 또한, 이러한 전단 거동에 대한 영향은 RSF모델의 a, b, dc 등의 특성값 변화로 평가할 수 있음을 보여주고 있다.
4.2.2 온도와 물의 영향
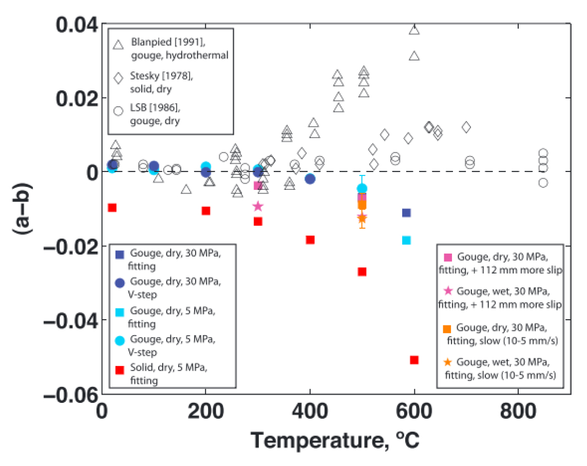
Mitchell et al.(2016)은 충전물이 없는 불연속면을 포함한 Westerly 화강암에 대하여 온도(20~600°C), 전단 속도(0.01~30 μm/s), 수직 응력(5~40 MPa), 포화 조건 등을 바꿔가면서 직접전단시험기(Fig. 4(a))를 이용하여 속도 단계 시험을 기반으로 전단 실험을 수행하였다. 폭 25 mm, 두께 10 mm이며 길이 120 mm인 하단 블록 위에 길이 80 mm인 블록을 전단 면적 2.64 × 103 mm2 만큼 접하도록 거치하였다. 시료 거치대 내에 선형의 열원이 설치되었고 거치대 주변으로 단열재를 감싸서 열 손실을 최소화했다. 물에 의한 영향을 반영하기 위해, 일부 시험에서 시료 거치대의 하단에 물이 2 mL/min으로 일정하게 주입되어 높은 열로 인해 기화한 상태에서 시료에 영향을 주었다. 시료 거치대의 변형으로 인한 효과를 사전 시험을 통해 보정데이터를 취득하였고 전단 응력이 시간에 따라 변하는 추세가 있다면 제거하였다. 시료는 1회당 최대 전단 변위인 40 mm로 총 4회 전단을 일으켜 전단 변위에 따른 영향을 제거한 뒤에 조건에 따른 전단 실험을 수행하였다. 시험 장치의 강성이 9 MPa/mm로 비교적 낮기 때문에 속도 연화가 일어났을 때 지진성 미끌림이 쉽게 일어났다. RSF모델 특성화는 식 (1)과 식 (3), 식 (6)을 반영한 수치해석을 수행하여 실험 데이터와 대응시킴으로써 여러 파라미터를 정하였다.
Fig. 8에 도시되었듯이 5~40 MPa의 수직 응력 범위에서는 수직 응력과 전단 속도의 RSF모델 파라미터에 대한 영향이 주요하지 않았으나, 지진성 미끌림이 발생한 경우 미끌림 주기 및 진폭이 유효 응력이 증가, 전단 속도가 감소함에 따라 증가하였다. 온도가 변하는 경우, 삼축압축시험을 이용한 기존 연구에 따르면 100~350°C에서 삼축압축시험은 건조 조건에 비해 마찰률 파라미터가 음수지만 절댓값은 더 컸고 350°C이상에서는 마찰률 파라미터가 양수에다가 온도 증가에 따라 증가하였다. 반면 Mitchell et al.(2016)에 의한 직접전단시험을 이용한 결과에 따르면 물의 존재는 마찰률 파라미터를 감소시켰고 350°C이상의 온도에서는 마찰률 파라미터가 음수이고 온도 증가에 따라 더 감소하였다. 이는 b값이 a의 변화에 비해 압도적으로 빠르게 증가했기 때문이었다. 결론적으로 삼축압축시험에서는 수 MPa의 공극압이 가해진 상태였고 직접전단시험에서는 공극압이 거의 없었다는 점에서, 공극압이 불연속면의 마찰 특성을 속도 경화로 만드는 경향이 350°C 이상에서 주요하게 발생한다고 유추할 수 있다. 또한 실험 결과에서 600°C에서 수직 응력의 증가에 따라 마찰률 파라미터가 증가한 것을 확인할 수 있고, 통상 더 높은 수직 응력을 가하는 삼축압축시험에 의한 기존 연구의 마찰률 파라미터는 심지어 양의 값을 가진 것을 통해 높은 수직 응력은 마찰률 파라미터를 증가시키는데 기여했다고 유추할 수도 있다.

Fig. 8
Plot of friction parameter, a-b, against temperature for Westerly granite. Open symbols denote results from previous studies (Mitchell et al., 2016)
4.2.3 온도와 구성 광물에 의한 영향
An et al.(2022)는 높은 온도와 물이 존재하는 화강암질의 절리나 관입 구조에서 관찰되는 저변성도 광물인 녹렴석(epidote)의 비율에 따라서 화강암질 불연속면의 전단 거동 안정성이 어떻게 바뀔 수 있는지 연구하기 위해 삼축압축시험기를 이용하여 광물의 조성을 바꿔가면서 속도 단계 시험을 기반으로 실험하였다. 구속압은 110 MPa, 공극압은 42와 63 MPa, 온도는 100, 150, 200, 250°C의 조건에서 실험하여 보통의 지열에너지 현장 조건을 재현하였으며 화강섬록암(granodiorite) 가루와 녹렴석 가루를 섞되 녹렴석 비율을 각각 50%, 25%, 12.5%로 섞은 시료를 불연속면의 충전물로써 전단 실험을 수행하였다. 각 실험을 수행하기 전에 1.0 μm/s의 축방향 속도로 먼저 정상 상태 마찰력에 도달하도록 했다. 전단 속도는 1.22, 0.244, 0.0488 μm/s였으며 각각 0.366, 0.366, 0.244 mm만큼 전단 변위가 발생할 때마다 다음 단계의 속도로 넘어갔다. 축방향에 대해 35°만큼 기울어진 불연속면이 시료에 포함되어 있는데 축방향 변위에 대하여 그 접촉면이 줄어드는 효과를 보정하였고 시험에 이용된 구리막의 저항력도 사전 실험을 통해 보정데이터를 취득하여 결과에 반영하였다. 실험 결과에 따르면 온도, 응력, 광물 조성에 상관없이 마찰 계수는 0.70~0.73을 유지하였다. 그러나 Fig. 9(a)와 같이 온도가 증가하면서 마찰률 파라미터가 감소하다가 150°C에서 속도 경화에서 속도 연화로 전환되었으며 공극압을 증가시켜서 유효 응력을 감소시키자 추가적인 마찰률 파라미터 감소가 관찰되었다. Fig. 9(b)에 따르면 녹렴석 비율이 증가할수록 속도 연화 현상이 분명해졌다. 이러한 결과를 통하여 150°C 이상의 온도를 가지는 심부 지열 암반은 속도 연화 현상을 보이며, 물의 주입은 속도 연화 현상을 더 심화시키고, 기존 암석의 변성으로 인해 녹렴석과 같은 광물이 생기면 속도 연화를 더욱 심화시킬 수 있음을 알 수 있었다.

Fig. 9
Plot of friction parameter, a-b, against (a) temperature for granodiorite gouge and (b) epidote content (An et al., 2022)
4.3 슬라이드-홀드-슬라이드 시험을 활용한 연구 사례
4.3.1 온도에 의한 영향
Mitchell et al.(2013)은 충전물이 없는 불연속면을 포함한 Westerly 화강암에 대하여 온도(20~550°C), 전단 속도(0.01~100 μm/s)를 바꿔가면서 일정 수직 응력 15 MPa하에서 4.2.2절에 서술했던 바와 같이 직접전단시험기(Fig. 4(a))를 이용하여 슬라이드-홀드-슬라이드 시험을 기반으로 전단 실험을 수행하였다. 전단 실험 중에 미세 거칠기의 파쇄로 인해 분쇄된 입자가 다소 발생했으나 전단면으로부터 거의 유실되지 않았다. 각 시료는 본 시험 전에 40 mm 씩 2회 전단하여 분쇄된 입자들이 충전물의 역할을 하도록 하고 변위 효과를 제거했다. 홀드 시간은 7~200,000 초까지 조절하였고 각 홀드 시간에 대응하는 순간 최대 마찰 계수를 산정하여 아래 식 (7)을 이용하여 대응시켰다.
여기서, μ는 정지 마찰 계수 혹은 순간 최대 마찰 계수, β는 마찰 회복률, t는 홀드 시간, μ0는 t=1일 때 순간 최대 마찰 계수 혹은 t와 μ그래프에서 y절편을 의미한다.
Fig. 10은 각 시료의 온도에 따른 μ0, β값을 보여주며 온도 증가에 마찰 계수는 증가하지만 마찰 회복률은 크게 영향받지 않는 사실을 보여준다.

Fig. 10
Temperature dependence of (a) intercept and (b) slope of Eq. (7) for Westerly granite (Mitchell et al., 2016)
4.3.2 온도와 물에 의한 영향
Pluymakers and Niemeijer(2015)는 경석고(anhydrite)를 충전물로 하는 단층의 전단 거동 안정성을 평가하기 위해 온도(20~150°C)와 지하수 조건을 조절하며 일정 수직 응력 25 MPa하에서 삼축압축시험기로 속도 단계 시험과 슬라이드-홀드-슬라이드 시험을 수행하여 전단 실험을 진행했다. 슬라이드-홀드-슬라이드 시험은 전단 속도 1 μm/s를 유지하면서 홀드 시간을 10~97,200초에서 조절하되 1.8 mm 만큼 처음 전단을 시킨 뒤에 첫 홀드를 시행하였고 0.3 mm씩 10번의 슬라이드를 통해 약 4.9 mm의 최종 전단 변위가 발생하도록 하였다. 그 뒤에 이어 수행된 속도 단계 시험은 1-11-1-0.2 μm/s 순으로 진행되었다. Fig. 11은 Fig. 4(b)의 삼축압축시험기에서 이 실험을 위한 직접전단시험을 수행할 수 있도록 제작된 전단 시험용 조립체(shear assembly)를 보여준다. 암석 코어 대신에 물이 통할 수 있는 구멍이 뚫려있는 기역자형 철 코어를 제작하였고 충전물 시료에 물이 고르게 분포할 수 있도록 3.1×10-14 m2의 투수성을 가진 층을 굴곡을 가지도록 하여 전단면에 설치하였다. 이를 이용하여 지하수 조건은 건조한 경우와 공극압 15 MPa로 포화된 경우로 조절되었다. Fig. 11(c)에서처럼 노란색 영역에 시료가 위치하고 핑크색 영역에는 실리콘 중합체(silly putty)를 두어 높은 구속압에 의해 막이 찢어지는 것을 방지하였다. 초록색 영역에는 인듐 막대를 설치하여 시료가 새어나오지 않도록 하였고 이 전체를 열에 의해 수축하는 FEP(fluorinated ethylene propylene) 필름(하늘색)으로 감싼 뒤에 전체 시료를 EPDM(ethylene propylene diene monomer) 고무막(검은색)으로 감싸서 외부 기름, 실리콘 중합체, 시료가 전단 실험 중에도 각각 분리된 상태를 유지하도록 했다. 결과 해석은 식 (1), 식 (3), 식 (7)을 연립하여 수치해석으로 측정 데이터에 대응하는 RSF 모델의 파라미터를 역산하였다. 지진성 미끌림이 발생한 경우에는 데이터에 대응시키는 것이 어려우므로 RSF 모델의 파라미터를 구하지 않았고 특성 변위는 큰 오차범위를 보였으므로 결과에서 제외하였다.

Fig. 11
(a) Shear assembly for triaxial compression testing apparatus (b) EPDM rubber outer jacket covering the shear assembly, Schematic diagrams of shear assembly (c) before shearing and (d) after shearing. (gray) forcing blocks, (dark gray) fluid distribution frits, (black) EPDM outer jacket, (light blue) FEP inner jacket, (yellow) gouge layer, (green) indium bars, (e) Face of an inverted shear block with grooves (Samuelson and Spiers, 2012)
Fig. 12(a)에서 보여주듯이 충전물이 건조한 경우에는 마찰 회복률이 낮고 물로 포화된 경우 마찰 회복률이 비교적 높았으며 온도가 증가하면서 그 차이가 커지는 것을 확인할 수 있다. 충전물이 건조한 경우의 마찰 회복은 미세 거칠기의 소성 크리프 변형(plastic asperity creep) 현상에 의한 것으로 추정되며 이를 Dieterich-형 회복이라고 한다. 물은 시간의 경과에 따라 전단 저항을 증가시키는 여러 현상이 발생하는 데에 기여한 것으로 추정되며 이러한 현상에는 접촉 면적이 증가하는 것, 압력 용해(pressure solution)에 의한 공극 교결(pore cementation) 등이 있다. Fig. 12(b)에 따르면 건조 시료의 경우 120°C 이상에서 속도 연화 현상을 보였으나 Fig. 12(c)에 따르면 포화 시료는 모든 온도에서 속도 경화 현상을 보였다. 포화 시료는 a, b의 값이 온도 증가에 따라 감소하였으나 그 차이를 나타내는 마찰률 파라미터에는 큰 영향을 미치지 않았다. 한편 이 실험의 시간 스케일에서는 이산화탄소의 존재 여부가 전단 저항에 큰 영향을 미치지 않았다.

Fig. 12
Temperature dependence of (a) slope of Eq. (7) and friction parameters, a-b, for (b) dry and (c) wet samples of simulated anhydrite gouge (Pluymakers and Niemeijer, 2015)
5. 결 론
고준위방사성폐기물 처분장의 장기 안정성 검토를 위해 암반 불연속면의 전단 크리프 거동의 장기적 특성은 중요한 역할을 한다. 기존 연구들은 크리프 모델, RSF 모델로 시간에 따른 전단 거동을 모사하였고, 직접전단시험기, 삼축압축시험기, 이축전단시험기를 이용하여 전단 크리프 시험, 속도 단계 시험, 슬라이드-홀드-슬라이드 시험을 수행하여 모델에 필요한 파라미터를 결정하거나 전단 거동을 분석하였다. 기존 연구들은 현지 암반의 열-수리-역학적인 조건을 재현하기 위해 기존 시험 장치를 다양하게 개선하여 전단 실험에 활용하였고, 이를 이용하여 지하 암반 불연속면의 전단 거동을 추정하였다.
현재까지 암반 불연속면에 대한 전단 크리프 시험은 역학적인 특성을 연구하는데 국한되었으므로 열-수리 조건을 조절하는 연구가 필요하다. 속도 단계 시험은 본래 지진역학 분야에서 많이 수행되어 다양한 조건에서 다양한 암종에 대하여 연구가 수행되었다. 화성암에 대한 연구에 의하면 충전물이 얇게라도 존재하는 경우 충전물에 의한 영향을 확인할 수 있었으며 화성암 기원 단층 비지가 150°C이하에서 속도 경화 현상을 보여주었으나 변성 광물인 녹렴석의 비중이 늘어남에 따라 속도 연화 상태로 진입할 수 있었다. 또한 물로 인한 포화 여부와 더불어 공극압을 고려한 유효 응력의 변화 등에 따라서 마찰률 파라미터에 변화가 발생할 수 있음을 확인하였다. 마찬가지로 슬라이드-홀드-슬라이드 시험을 활용한 연구에 따르면 열-수리-역학적인 조건에 따라 암반 불연속면의 마찰 회복률이 달라졌다.
그러므로 국내 고준위방사성폐기물 처분장의 설계를 위해서는 현지 암반의 열-수리-역학적 조건과 광물의 변성, 전단 저항의 회복, 완충재의 불연속면 내 유실 등을 고려한 암반 불연속면의 장기 거동을 검토해야 하며 이를 위해 응력, 온도, 포화도, 공극압, 불연속면 거칠기, 충전물 두께, 구성 광물과 같은 영향인자들을 고려해야 할 것이다.




