1. 서 론
2. GHB 파괴기준식의 정규화
3. 최소주응력 근사식의 유도와 정확도 검증
3.1 최소주응력 근사식 유도
3.2 최소주응력 근사식의 정확도 분석
4. 소성영역의 등가 MC 강도정수 계산을 위한 근사 최소주응력 계산식 활용
4.1 원형터널 주변에 형성된 소성영역의 등가 마찰각 및 등가 점착력 계산 원리
4.2 , GSI, 초기지압의 변화에 따른 등가 M-C 강도정수
5. 요약 및 결론
1. 서 론
암반은 다양한 크기의 역학적 불연속면을 포함하는 불연속체이지만 암반공학적 해석의 간편화를 위해 연속체 매질로 가정되는 경우가 많다. 이에 따라 등방 균질매질을 가정한 파괴기준식들(Haimson and Bobet, 2012)이 암반공학적 설계 및 해석에 활용되는 경우가 많다. 연속체 파괴조건식을 활용하여 불연속 암반의 안정성 해석을 시도하는 경우 실제 불연속 암반의 역학적 특성을 잘 반영하는 강도정수의 산정이 무엇보다도 중요하다. 그러나 Haimson and Bobet(2012)에서 언급되고 있는 대표적 파괴기준식들에서는 현장 조건에 부합하는 강도정수를 산정하는 체계적인 방법이 제시되지 않고 있다. 이에 따라 각 파괴기준식의 강도정수 산정과정에 사용자의 주관이 개입될 가능성이 크며, 이는 결과적으로 해석결과의 신뢰도를 저하시키는 주요 요인이 되고 있다. 이러한 단점을 보완하기 위해 개발된 암반 파괴기준식이 일반화된 Hoek-Brown(Generalized Hoek-Brown, GHB) 식이다(Hoek et al., 2002). GHB 파괴기준식에서는 현장 암반의 불연속면 분포 및 상태를 정량화한 수치인 GSI(Geological Strength Index, Hoek, 1999) 값을 이용하고 암반의 교란정도를 반영하여 무결암의 강도정수를 현장 암반의 강도정수로 변환하는 체계적인 방법을 제공한다. 연약 암반부터 경암까지 넓은 적용범위를 가지며 강도 비선형을 고려할 수 있다는 장점 때문에 GHB 파괴기준식은 터널 (Carranza-Torres and Fairhurst, 1999, Clausen and Damkilde, 2008), 사면(Li et al., 2008, Michalowski and Park, 2020), 암반기초(Serrano et al., 2014, Yang, 2018)의 안정성 평가에 활발히 적용되고 있으며 오늘날 암반의 표준 파괴기준식의 하나로 인식되고 있다.
그러나 GHB 파괴기준식은 파괴 시 최대주응력과 최소주응력의 관계가 비선형 멱함수(power function)으로 표현되므로 전단강도-수직응력 관계식 즉, Mohr 파괴포락선으로 변환이 어렵다는 단점을 가지고 있다(Lee and Pietruszczak, 2017). 또한 최대주응력을 알고 있을 때 이에 대응하는 최소주응력을 명시적(explicit)인 해석적 수식으로 표현하는 것이 곤란하다. GHB 파괴기준식의 이러한 단점들은 이 식의 활용을 제약하는 주요 요인이 되고 있다. 이러한 문제점을 극복하기 위하여 GHB 파괴기준식 전체 혹은 관련 수식의 일부를 선형 근사시키는 연구들(Sofianos, 2003, Sofianos and Nomikos, 2006, Shen et al., 2012, Lee, 2019)이 시도되고 있으나 선형화는 GHB 파괴기준식의 주요 장점인 강도 비선형을 충분히 활용하지 못하는 문제를 수반한다.
이 연구에서는 GHB 파괴기준식의 활용성 제고를 목적으로 GHB 파괴기준식을 만족하는 최소주응력을 최대주응력의 근사적 비선형 함수로 표현하는 방법이 연구되었다. 이를 위해 GHB 파괴기준식의 멱함수 항을 해석적 정해를 구할 수 있는 다항식으로 근사시키는 방법이 시도되었다. GHB 파괴기준식의 강도정수 𝛼가 0.5이면 최소주응력의 정해(exact solution)가 존재한다는 사실에 주목하여 이 정해를 Taylor 다항함수의 전개 기준점(expansion center)으로 채택하였다. 1차, 2차, 3차 Taylor 다항식 기반의 최소주응력 근사 결과식을 유도하고 그 정확성을 수치해석적으로 구한 정해와 비교를 통해 검증하였다. 최소주응력 근사식의 활용 사례를 제시하기 위해 3차 Taylor 다항식 기반의 최소주응력 근사식을 적용하여 원형터널 주변에 형성되는 소성영역의 등가 마찰각과 등가 점착력을 계산하였다. 이 결과를 바탕으로 강도정수(), GSI, 지압조건의 변화에 따른 소성영역의 등가 마찰각과 등가 점착력의 변화 특성이 논의되었다.
2. GHB 파괴기준식의 정규화
GHB 파괴기준식은 암반이 파괴되는 시점의 최소주응력()과 최대주응력()의 관계를 다음 식으로 정의한다(Hoek et al., 2002).
여기서 는 무결암의 일축압축강도이다. 는 강도정수로서 암반의 상태를 0과 100 사이의 수치로 정량화한 지수인 GSI를 이용하여 다음의 경험식들로부터 계산된다.
식 (2)에서 는 무결암의 강도정수이고 는 교란지수이다. 는 굴착방법이나 응력이완에 기인하는 암반교란 정도에 따라 0과 1사이의 값을 갖는다.
Rojat et al.(2015)은 GHB 파괴기준식을 항복함수로 채택한 탄소성 구성법칙을 개발하는 과정에서 수식의 간편화를 위해 최소주응력과 최대주응력을 각각 로 다음 식과 같이 무차원화하였다.
식 (5)을 식 (1)에 대입하면 GHB 파괴기준식은 다음 식으로 단순화된다.
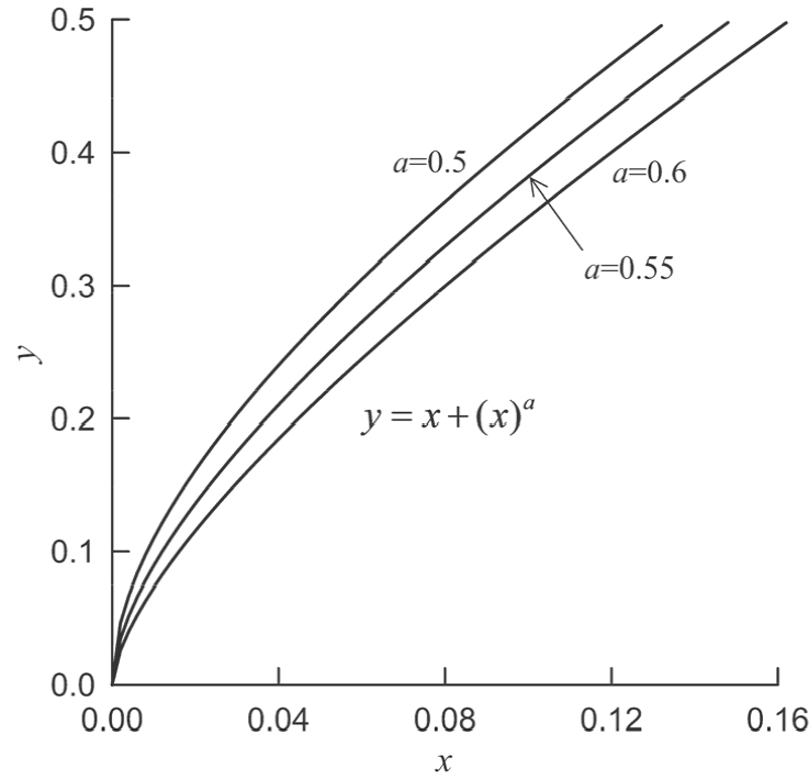
그러므로 무차원 직교좌표계에서 GHB 파괴기준식은 Fig. 1에 나타낸 것처럼 강도정수 값의 크기에 관계없이 항상 원점에서 시작되는 곡선이며, 곡선의 기하학적 형태는 강도정수 에 의해 결정됨을 알 수 있다.
3. 최소주응력 근사식의 유도와 정확도 검증
3.1 최소주응력 근사식 유도
GHB 파괴기준이 적용되는 암반에서 파괴 시 최대주응력 에 대응하는 최소주응력 을 계산하는 것은 멱함수 형태인 식 (6)의 역함수를 구하는 문제로 귀착된다. 즉, 주어진 에 대응되는 를 구하는 문제가 된다. 그러나 멱지수 의 범위가 이므로 이면 를 명시적인 의 양함수로 나타내는 것이 불가능하다. 이러한 문제점을 극복하기 위해 이 연구에서는 의 근사 해를 구하는 방법이 시도되었다. 이면 해석적 정해를 구하는 것이 가능하며 이를 라 하면 는 다음 식으로 표시된다.
Fig. 2는 무차원 평면에서 GHB 파괴기준식과 를 가정한 기준식을 함께 도시한 것으로 정규화 최대주응력 에 대응되는 최소주응력은 두 기준식에서 각각 와 이다. 또한 그림에서 다음의 관계가 성립하는 것은 자명하다.
그러므로 정규화 최대주응력 에 대응하는 정규화 최소주응력 는 식 (8)의 근(root)이 된다. 전술한 바와 같이 이면 식 (8)의 정해를 해석적 방법으로 구할 수 없으므로 이 연구에서는 Taylor 다항식(Taylor polynomial)으로 식 (8)을 근사시킨 후 근사 해를 구하는 방법이 시도되었다. 이 때 Taylor 전개 기준점을 식 (7)에서 구한 로 선택하였다.
식 (8)의 1차, 2차, 3차 Taylor 다항식 근사를 가정할 경우 식 (8)에 포함한 항의 근사 다항식은 각각 다음 식들과 같다.
이제 식 (9), 식 (10), 식 (11)을 차례로 식 (8)에 대입한 후 각 다항식의 근을 구하면 1차, 2차, 3차 Taylor 다항식 근사를 기반으로 하는 근사 정규화 최소주응력 를 다음과 같이 해석적 수식으로 표현할 수 있다.
(i) 1차 Taylor 근사
(ii) 2차 Taylor 근사
여기서
(iii) 3차 Taylor 근사
여기서
는 부근에 위치하며 GSI값이 100에 가까워지면 강도정수 도 0.5에 수렴하므로 식 (12), 식 (13), 식 (17)로 계산한 근사 정규화 최소주응력 는 GSI값이 100에 가까워질수록 정해에 더 근접한다는 것을 유추할 수 있다.
마지막으로 식 (12), 식 (13), 식 (17)으로 계산한 값을 최소주응력의 무차원 관계식 (5)에 대입하면 다음 식과 같이 1차, 2차, 3차 Taylor 다항식 근사를 기반으로 하는 근사 최소주응력의 계산식이 유도된다.
3.2 최소주응력 근사식의 정확도 분석
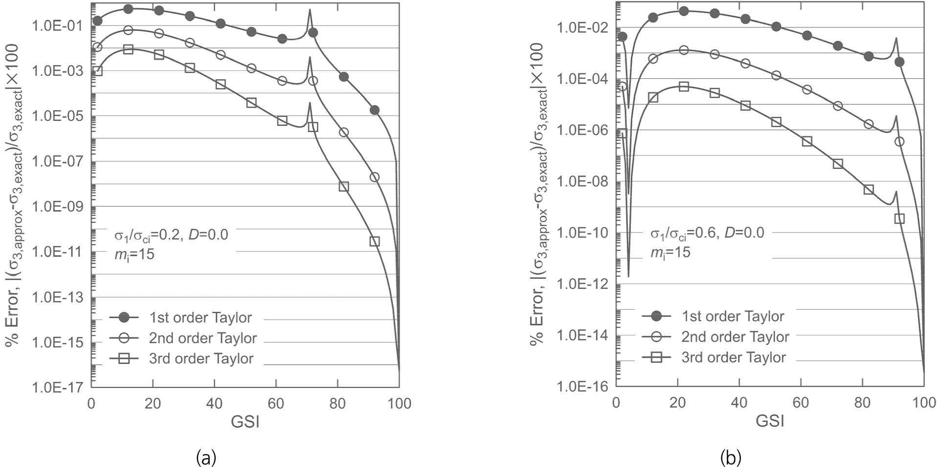
먼저 값의 변화에 따른 근사 최소주응력 계산식의 정확도가 분석되었다. GSI=50이고 인 암반을 가정하고 가 0.2와 0.6인 두 가지 경우에 대해 3.1절에서 유도한 3가지 근사 최소주응력 계산식을 이용하여 근사 최소주응력()을 계산하였고 이를 수치해석적으로 계산한 정해()와 비교하였다. 모든 암종을 포괄하는 값의 범위가 2~35임(Brady and Brown, 2004)을 고려하여 는 2부터 35까지 변화시켰다. Fig. 3은 인 경우 계산한 근사 정규화 최소주응력을 수치해석적으로 구한 정해와 비교하여 도시한 것이다. 3가지 근사식의 결과 모두 정해와 구분이 어려울 정도의 정확성을 보여주고 있다. Fig. 4는 값의 변화에 따른 근사 최소주응력의 정해 대비 백분율 오차 변화 추이를 보여준다. 백분율 오차는 값이 작을수록 그리고 이 증가할수록 감소하는 경향을 보여준다. 또한 Taylor 근사 차수가 증가할수록 근사 오차가 감소함을 자명하게 보여주며 그 감소율은 값이 작을수록 커지는 것으로 나타났다. 예를 들어 Fig. 4(b)에서 일 때 근사차수가 1 증가하면 의 경우 백분율 오차는 약 1/40로 줄어들지만 의 경우 백분율 오차가 약 1/5000로 감소함을 볼 수 있다.
Fig. 5는 가 0.2와 0.6인 두 가지 경우에 대해 을 15로 고정한 후 GSI 값의 변화에 따른 근사 최소주응력 백분율 오차의 변화를 도시한 것이다. Taylor 근사의 수학적 특성상 Taylor 전개 기준점에 가까울수록 근사함수의 값은 정해에 가까워진다. 이러한 수학적 특성이 Fig. 5에 잘 나타나 있다. GSI가 100에 근접할수록 정규화 최소주응력 도 식 (7)로 표시되는 에 가까워지므로 근사 최소주응력의 오차도 0에 가까워지고 있다. GSI 값이 20보다 큰 구간에서는 전반적으로 GSI가 증가할수록 근사 최소주응력의 오차도 감소하는 경향을 나타내지만 Fig. 5(a), (b)의 0<GSI<20인 구간, Fig. 5(a)의 60<GSI<80인 구간, Fig. 5(b)의 80<GSI<100인 구간에서는 오차 곡선 패턴의 불규칙성도 보여준다. 이러한 오차 곡선의 불규칙적 형태는 식 (8)의 기하학적 형상과 관련성이 있을 것으로 추측된다.
Fig. 4와 Fig. 5의 결과를 종합해 볼 때 1차, 2차, 3차 Taylor 다항식 기반의 근사 최소주응력 계산식은 모두 정확도가 뛰어난 것으로 나타났다. 그러나 매우 정밀한 최소주응력의 계산이 요구되는 경우 2차 또는 3차 Taylor 다항식 기반의 근사 최소주응력 계산식을 사용하면 정해에 거의 근접하는 근사 해를 얻을 수 있을 것으로 판단된다.
4. 소성영역의 등가 MC 강도정수 계산을 위한 근사 최소주응력 계산식 활용
4.1 원형터널 주변에 형성된 소성영역의 등가 마찰각 및 등가 점착력 계산 원리
M-C 파괴기준식의 파괴강도 예측 성능이 GHB 파괴기준식에 비해 낮음에도 불구하고 수식의 간편성 때문에 암반공학적 계산과정에서 여전히 M-C 기준식이 사용되는 경우가 많다. 이러한 상황을 고려하여 Hoek et al. (2002)은 특정 최소주응력 구간에서 GHB 파괴기준식을 직선식인 M-C 기준식으로 최적 근사시켜 사용하는 방법을 제시하였고 이 때 얻어진 강도정수를 등가 마찰각()과 등가 점착력()으로 지칭하였다. 선형최적화를 위해 Hoek et al.이 설정한 최소주응력 구간의 하한()은 암반의 인장강도()이고 상한()은 사면해석과 터널해석의 경우를 달리한 경험식으로부터 계산된다. 해석대상 구조물의 응력분포 특성을 미리 예측할 수 있다면 해석목적에 부합하도록 GHB 파괴기준식의 선형화 구간을 Hoek et al.의 제안보다 더욱 좁힐 수 있고, 이에 따른 등가 M-C 강도정수 값의 정확도는 더 높아진다 (Sofianos, 2003, Sofianos and Nomikos, 2006, Lee, 2019, Rafiei Renani and Martin, 2020).
이 연구에서는 3.1절에서 제시한 3차 Taylor 다항식 기반의 근사 최소주응력 계산식의 활용사례를 제시하기 위해 원형터널 주변에 예상되는 항복영역의 등가 M-C 강도정수 값 계산과정에 이 식을 적용하였다. 정수압() 조건의 초기지압이 작용하는 암반에 원형터널을 굴착할 경우 지보압()이 한계치()보다 작으면 Fig. 6과 같이 터널 주변에 소성영역이 형성된다. 소성영역이 형성되는 경우 탄성-소성 경계에 작용하는 반경방향 수직응력()은 한계 지보압 와 동일한 값이다 (Lee and Pietruszczak, 2008). 그러므로 Fig. 6과 같은 원형터널 모델에 대한 탄소성 해석을 위해 GHB 파괴기준식에 대응되는 등가 M-C 강도정수를 산정하는 경우 선형 최적화를 위한 최소주응력 구간을 으로 설정하는 것이 최적의 선택이라 할 수 있고, 이 때 은 3.1 절에서 설명한 최소주응력 근사식을 이용하여 정밀하게 계산할 수 있다.
암반의 항복조건식으로 GHB 파괴기준식을 채택하고 탄성-완전소성 거동을 가정하면 탄성-소성 경계면에 작용하는 반경방향 수직응력이 일 때 접선방향 수직응력 는 이 되므로 은 다음 식을 만족한다.
식 (23)은 다시 다음 식과 같이 표현할 수 있다.
여기서 이다.
그러므로 강도정수가 인 가상 암반의 GHB 파괴기준식인 식 (24)에 3.1절에서 유도한 근사 최소주응력 계산식을 적용하면 그 결과의 1/2이 의 근사값이 된다.
이 연구에서는 무지보 터널()을 가정하여 최소주응력의 범위를 으로 특정한 후 GHB 파괴기준식의 등가 M-C 강도정수를 계산하였다. 최소주응력 구간 에서 GHB 파괴기준식을 최적 근사하는 등가 마찰각과 등가 점착력은 Lee (2019)의 연구결과를 활용하여 다음 식으로부터 계산할 수 있다.
여기서
4.2 mi, GSI, 초기지압의 변화에 따른 등가 M-C 강도정수
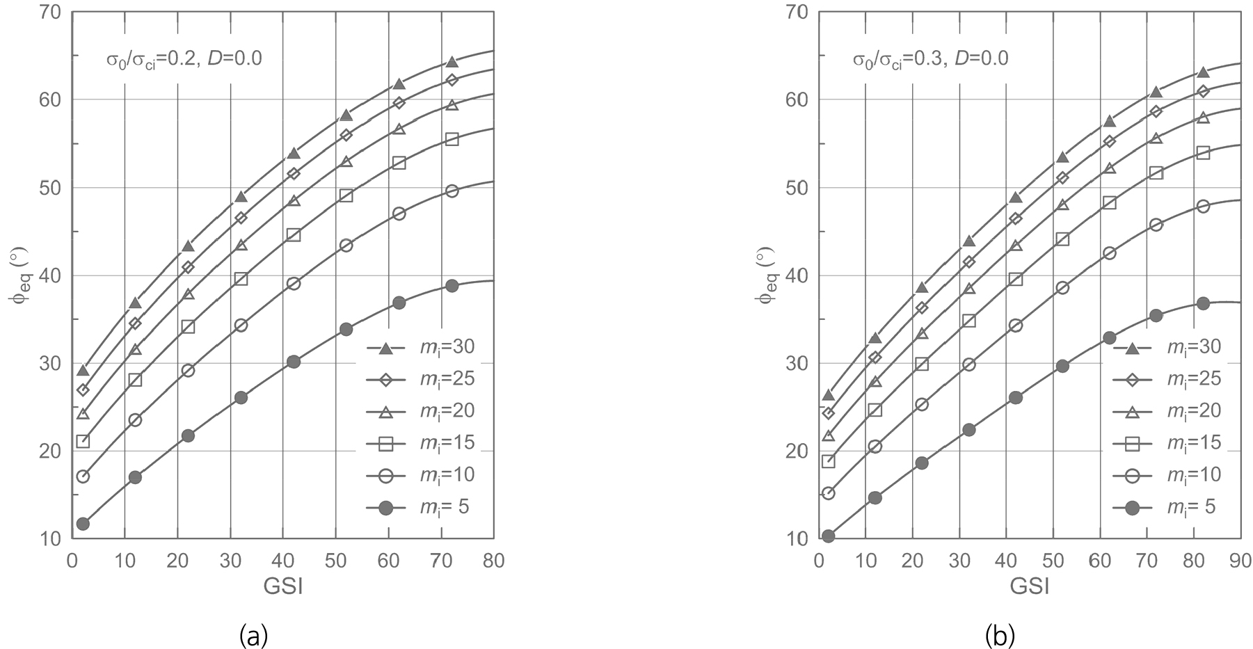
정수압 조건의 초기지압을 =0.2, 0.3으로 가정하고 인 원형터널 주변에 형성되는 소성영역의 등가 M-C 강도정수를 계산하였다. Fig. 7은 탄성-소성 경계면에서 와 GSI의 변화에 따른 정규화 반경방향 수직응력 의 변화를 도시한 것이다. 그림에서 은 무지보 터널 주변에 소성영역이 형성되지 않음을 의미한다. 그러므로 =0.2, 0.3인 경우 의 크기에 관계없이 각각 GSI>83, GSI>90 이면 무지보 터널 주변 암반은 탄성 상태가 유지됨을 알 수 있다. 이에 따라 소성영역이 발생되는 GSI 범위 내에서 6가지 값, 즉 =5, 10, 15, 20, 25, 30 인 경우에 대해 소성 영역의 등가 마찰각과 등가 점착력을 계산하였다.
Fig. 8은 원형터널 주변에 형성되는 항복영역의 등가 마찰각()에 미치는 GSI와 의 영향을 보여준다. GSI<50 일 때 등가 마찰각은 GSI의 증가와 더불어 거의 선형적으로 증가하지만 GSI>50 인 영역에서는 증가율이 점차 감소하는 경향을 보여준다. 이러한 등가 마찰각의 증가 경향은 GSI의 증가에 따른 항복영역의 축소, 즉 최소주응력의 상한 값 의 감소와 직접적 관련성이 있다. 한편 값의 증가에 따라 등가 마찰각은 증가하는 경향이 있음을 분명히 보여준다. 의 증가에 따른 등가 마찰각의 증가율은 값의 커짐에 따라 점차 감소하는 특징이 있음을 알 수 있다. Fig. 8에서 등가 마찰각은 정규화 초기지압 이 0.2에서 0.3으로 증가함에 따라 감소하는 경향을 보여준다. 이는 초기지압의 증가함에 따른 소성영역의 확대와 관련성이 있는 것으로 판단된다. 소성영역의 확대는 소성영역에서 반경방향 수직응력, 즉 최소주응력의 변화 범위가 넓어짐을 의미한다. 이 연구의 가정처럼 최소주응력의 하한을 0으로 선정한 경우 넓은 최소주응력 구간에서 GHB 파괴기준식의 최적 선형근사 결과는 좁은 구간 근사에 비해 상대적으로 낮은 등가 마찰각이 계산된다.
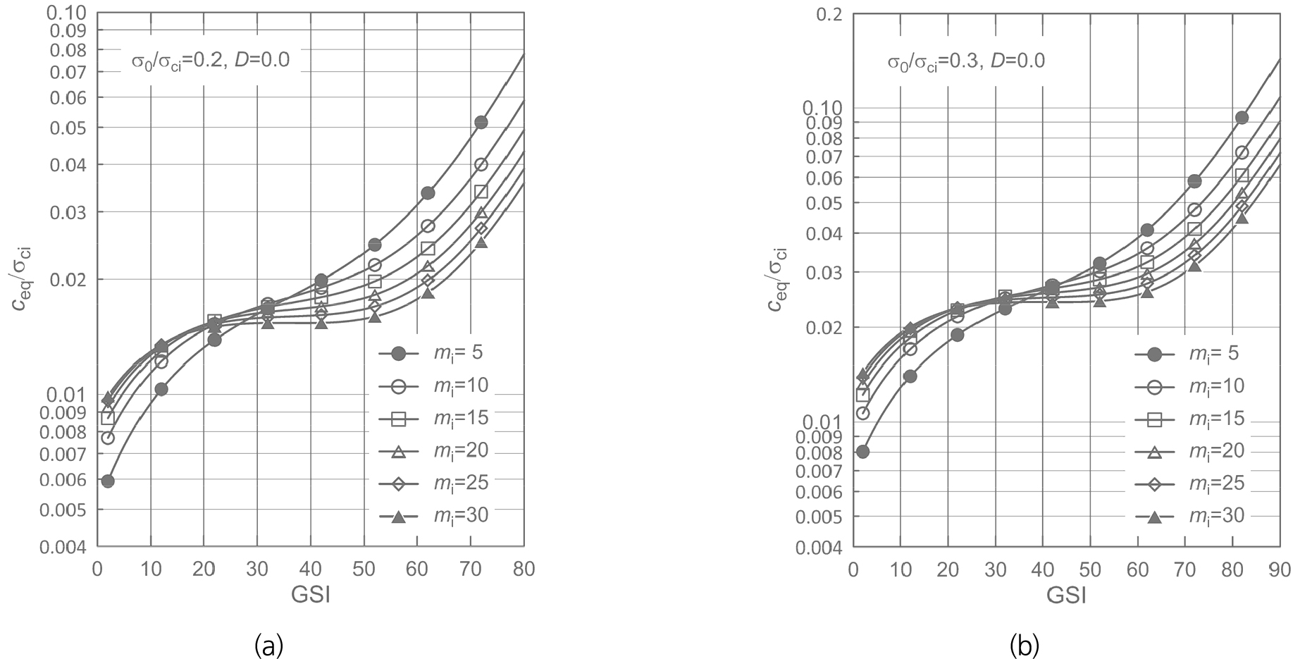
Fig. 9는 로 정규화한 등가 점착력()과 GSI의 관계를 도시한 것이다. 전체적으로 등가 점착력은 GSI의 증가와 더불어 증가하지만 가 감소하면 증가율이 커지는 경향을 보이고 있다. 또한 등가 점착력()은 초기지압이 증가함에 따라 증가하는 경향을 보여준다. 이러한 등가 점착력의 변화 추이 역시 원형터널 주변에 형성되는 소성영역의 크기와 직접적인 관련성이 있다. 동일한 GSI 값을 가정할 때 가 감소하고 초기지압이 증가하면 소성영역이 확대되고 이에 따라 이 증가한다. 넓은 최소주응력 범위에서 GHB 파괴기준식의 최적 선형근사가 시도되면 등가 마찰각은 감소하지만 수직응력-전단강도 좌표계의 연직축 절편값에 해당하는 등가 점착력은 증가하게 된다.
Fig. 8과 Fig. 9의 그래프는 =0.2, 0.3인 2가지 경우로 한정되지만, 3.1절 4.1절의 결과 식들을 이용하면 다른 지압조건에 대해서도 유사한 그래프를 손쉽게 작성할 수 있다. 그러므로 이 연구의 결과는 지압조건, 강도정수[], 암반 양호도[GSI]에 부합하는 정밀한 등가 마찰각과 등가 점착력을 계산하는 유용한 수치해석적 도구가 될 것으로 판단된다.
5. 요약 및 결론
암반공학적 활용에 특화된 GHB 파괴기준식은 최소주응력에 대응되는 한계 최대주응력을 계산하는 비선형 파괴기준식으로서 오늘날 사용빈도가 증가하고 있다. 그러나 이 기준식은 비선형 멱함수 형태이므로 수치해석적 활용을 목적으로 하는 수식전개 과정에서 기존의 선형 파괴조건식에 비해 많은 수학적 불편함을 수반한다. 예를 들어 강도정수 가 0.5가 아닌 경우 전단강도-수직응력 관계식으로 변환이 어려울 뿐만 아니라 기지의 에 대응되는 를 명시적인 해석적 수식으로 표현할 수도 없다.
이 연구에서는 GHB 파괴기준식의 활용성 제고를 위해 을 매우 정밀한 의 근사함수로 수식화하는 방법이 제안되었다. 먼저 GHB 파괴기준식의 시점이 항상 원점이 되도록 무차원화시킨 후 무차원 GHB 파괴기준식을 Talyor 다항식으로 근사시키는 방법이 사용되었다. GHB 파괴기준식을 근사하는 Taylor 다항함수의 차수가 3이하이면 이 다항함수의 정해를 구할 수 있고, 그 결과는 의 근사값이 된다. 이 때 Taylor 다항식의 전개중심으로 일 때 구해지는 의 정해가 사용되었다. 1차, 2차, 3차 Taylor 다항함수를 기반으로 유도한 근사식 모두 정확성이 뛰어난 것으로 판명되었고, 근사 차수가 증가할수록 근사식의 정확도는 급격히 높아졌다. Taylor 다항함수 차수 증가에 따른 근사식의 정확도 개선효과는 이 작을수록 그리고 GSI 값과 값이 클수록 크게 나타났다.
제안된 최소주응력 계산 근사식의 적용 사례를 제시할 목적으로 3차 Taylor 다항함수 기반의 최소주응력 근사식을 활용하여 원형 터널 주변에 예측되는 소성영역의 등가 마찰각과 등가 점착력을 계산하였다. 소성영역의 등가 마찰각은 GSI와 가 증가할수록 증가하는 것으로 나타났다. 을 고정시켰을 때 등가 점착력은 GSI값의 증가에 따라 증가하는 경향을 보였으며 그 증가율은 이 작을수록 크게 나타났다. 초기지압이 증가하면 소성영역의 등가 마찰각은 감소하는 경향을 보이며 등가 점착력은 증가하는 경향을 나타내었다.
이 연구의 방법론은 향후 GHB 파괴기준식의 근사 Mohr 파괴포락선식 유도에 활용하여 기존에 발표된 근사 비선형 Mohr 파괴포락선의 정밀도를 높이는 데 활용할 예정이다. 또한 이 연구의 결과는 비선형 파괴기준식이 적용되는 원형터널의 해석적 지보압 계산 및 암반기초 지지력 계산 등에 응용될 수 있을 것으로 기대된다.












