1. 서 론
2. 이론: 전극배열법
3. 실험방법
3.1 측정장치
3.2 대조실험
3.3 흑연-시멘트 시료 실험
3.4 수조 모형 실험
4. 실험결과
4.1 대조실험결과
4.2 흑연-시멘트 시료 및 수조 모형 실험 결과
5. 결 론
1. 서 론
유도분극 탐사는 Seigel(1959)이 제안한 충전율(Chargeability)를 기반으로 하여, 광물자원 탐사에 주로 이용되었다(Pelton et al., 1978). 이러한 유도분극 탐사는 전기비저항 탐사와 같은 방식으로 수행되며, 함께 해석할 수 있어 지하수 및 환경 분야 등에 널리 활용되고 있다(Olhoeft, 1985, Vanhala and Soininen, 1995, Börner et al., 1996, Revil and Florsch, 2010). 유도분극 특성은 지질 및 암종에 따라 크게 달라지며, 공극, 입자크기, 투수율, 포화도, 온도 등의 영향을 받는 것으로 알려졌다(Palacky, 1987, Telford et al., 1990, Kearey et al., 2002). 충전율은 전기비저항에 비해 그 측정값이 매우 작으므로 잡음에 취약하다(Kemna et al., 2012).
물성 정보의 획득은 현장 탐사를 통해 획득하거나 실내 측정으로 획득할 수 있다. 실내 측정은 실험실에서 환경을 잘 제어할 수 있지만 현장의 복잡한 환경 조건의 영향을 받는다. 대부분의 현장 자료와 실내 측정 결과의 비교해석은 정성적 해석이 이루어지고 있다(Park, 2004).
실내 실험을 통해 암석의 전기적 물성을 측정하는 방법에는 전류 전극과 전위 전극의 형태에 따라 크게 2전극법과 4전극법으로 구분된다. 2전극법은 시료의 양 단에 전극을 위치시켜 전류 주입과 전위 측정이 동일한 전극에서 이루어진다. 반면 4전극법은 전류 전극과 전위 전극을 분리해 측정하는 방법이다. 2전극법과 관련된 측정의 어려움은 전극과 시료 사이의 높은 접촉 저항(contact resistance)으로 인하여 정확한 저항 측정이 어렵다는 점이다. 접촉저항을 줄이기 위해서는 염수로 포화된 스펀지, 천 등을 전극과 시료 사이에 설치하는 방식으로 전극과 시료 사이의 접촉 저항을 줄이는 방법이 이용된다(Rust, 1952). 이에 비하여 4전극법은 시료의 일부 위치에서 전위차를 측정하기 위해 별도의 전위전극을 사용하기 때문에 전위전극을 따라 흐르는 전류의 양이 작아 시료의 저항이 안정적으로 측정된다(Rust, 1952, Schwan, 1968, Binley and Slater, 2020).
시료의 유도분극 측정은 다양한 영향인자 뿐만 아니라 전극배열과 전극의 종류 및 형태에 따라 영향을 받는다(Ward et al., 1995, Ulrich and Slater, 2004). 따라서 이 연구에서는 2전극법에서는 전극의 재질과 형태에 따른 유도분극 측정에 미치는 영향을 비교하고, 2전극법과 4전극법에서 시료의 전기비저항 변화에 따른 유도분극 반응의 차이를 비교하였다. 시료의 측정 결과는 현장탐사를 모사한 모형실험으로 검증함으로써 시료의 유도분극 측정에 있어서 효과적인 측정방법을 제시하고자 한다.
2. 이론: 전극배열법
시료의 양단에 전극을 위치시키고 전류를 송신하고 이에 의한 전위를 측정하는 2전극법은 전극의 설치가 간편한 방법이다. 반면 4전극법은 전류전극과 전위전극을 분리하여 설치하는 방법으로 시료에 전극을 위치시킴에 있어 번거로움과 어려움이 따른다.
전극 설치 방법에 상관없이 전극을 통해 전류를 주입하게 되면, 전극과 시료사이에는 전극 임피던스(Electrode impedance)가 발생한다. 임피던스는 전극과 매질 사이에서 흐르는 전류의 흐름에 대항하는 현상으로, 임피던스 Z는 식 (1)과 같이 표시한다. 직류의 경우 저항(Resistance), 교류의 경우 실수부분 R은 저항(Resistance)와 허수부분 X는 리액턴스(Reactance)이다.
시료의 전기비저항 측정을 위해 설치된 전극과 매질 사이에서 전류의 흐름에 대항하는 현상을 Fig. 1에 등가회로 상에서 표현할 수 있다(Schwan, 1968). 전극의 임피던스는 허수 부분을 축전용량으로 모사하면 전극과 전해질 사이에 일어나는 현상을 모두 포함하여 저항과 축전기의 병렬로 정의할 수 있다(식 (2)).
Zp는 전극 임피던스, Rp는 전극의 저항(Resistance), j는 순허수, ω는 각속도, Cp는 전극의 축전용량(Capacitance)이다. 이와 동일한 방법으로 시료를 또 다른 하나의 임피던스로 정의할 수 있다.
식 (3)의 Zs는 시료의 임피던스, Rs는 시료의 저항, Cs는 시료의 축전용량이다.
이 등가회로를 실제 시료 측정 시스템에 적용해 보면 Fig. 2와 같이 나타낼 수 있다. 2전극법 측정은 전류 및 전위전극을 동일한 전극으로 사용하는 방법이다(Fig. 2(a)). 전위차 측정에 있어서 용액과 전극 사이의 분극에 의한 전위차가 발생하고, 측정값에 분극에 의한 전위차 값이 포함되는 문제가 발생한다(Schwan, 1968, Paik and Park, 2012).
전극 임피던스를 최소하기 위해서 값이 0인 전극을 사용한다면 문제가 해결되지만 임피던스가 0인 전극은 불가능하다. 다른 방안은 전위전극을 통과하는 전류의 양을 시료를 통과하는 전류에 비해 무시할 수 있을 정도로 줄이는 것이다. 이를 위해 금속 판이 아닌 금속 망을 전극으로 사용할 수 있다. 전위전극을 통과하는 전류의 양이 상당량 줄어들 수 있지만, 주입전류가 전극을 흐르기 때문에 이에 의한 전극 임피던스를 무시할 수 없다 Binley and Slater, 2020). 한편 전위전극의 임피던스를 정확히 측정하여 이를 소거해 주는 방법이 가능하나 이 방법은 측정 대상인 시료가 바뀜에 따라 전극 임피던스가 달라지기 때문에, 동일한 시료의 경우에도 접촉 상태가 달라짐에 따라 전극 임피던스는 크게 달라지기 때문에 어려움이 따른다.
4전극법은 전위전극을 전류전극과 분리하여 사용하기 때문에 전위전극으로 전류의 통과가 완전히 무시될 수 있다(Fig. 2(b)). 이는 전극에서의 전극 임피던스 문제를 극복하고 직류전원을 사용하면서 값을 바로 사용할 수 있다(Schwan, 1968, Paik and Park, 2012). 하지만 4전극법은 2전극법과 달리 전위전극의 설치에 있어서 어려움이 따른다. 전위전극을 측정 시료 표면에 비분극전극 및 금속전극을 점 형태로 설치하거나 2전극법처럼 양 단에 전류전극을 설치하고 전위전극을 점 형태 및 링 형태로 설치한다. 전류전극과 전위전극을 점 형태로 측정하는 방법은 시료의 길이와 전극 간격에 따라 측정값이 왜곡될 수 있다(Binley and Slater, 2020).
4전극법은 두 전위전극이 일정한 거리에 정확하게 유지되도록 설치해야 한다. 이 때문에 4전극법을 이용한 측정 효율성과 용이성이 떨어진다. 이러한 문제를 해결하기 위해 측정 홀더를 고안하여 사용하기도 한다(Binley et al., 2005, Gomaa and Alikaj, 2009, Zisser et al., 2010).
이 연구에서는 시간영역 유도분극 측정법에 있어서 2전극법과 4전극법을 비교하였다. 이와 더불어 전극의 재질과 형태에 따른 차이를 비교하고자 스테인리스(stainless), 구리(Copper) 재질의 전극을 판(Plate), 망(Mesh), 링(ring)의 형태의 전극(Fig. 4(a), (c), (d))을 사용하여 전기비저항과 충전율을 확인하고 보다 효과적인 측정법을 제시하고자 한다.
3. 실험방법
3.1 측정장치
시간영역 유도분극 측정은 Syscal Pro (IRIS Instruments Co.)장비를 사용하였다(Fig. 3(a)). 장비의 송신전압은 최대 800 V까지이며, 1 μV까지 측정이 가능하다. 전기비저항 측정과 시간영역 유도분극의 측정이 가능한 장비로, 감쇠시간에 따른 충전율을 20개의 시간채널까지 획득가능하다(Fig. 3(b)). 유도분극 측정모드는 Arithmetic - Semi Logarithmic – Logarithmic – Cole-Cole – Programmable로 총 5가지 모드를 사용할 수 있고 측정시간은 각각 2, 4, 8 초까지 측정할 수 있다. 본 실험에서 측정은 모든 채널에서 균등한 시간간격으로 감쇠곡선을 파악할 수 있는 Arithmetic 모드를 이용하여 2초의 측정시간으로 측정하였다. 시간채널의 감쇠정보와 함께 식 (4)로 계산된 총충전율(Global chargeability)를 제시한다.
여기서 Mi는 각 채널의 충전율, TMi는 각 채널의 측정시간이다.
충전율이 없는 매질에 대한 측정실험인 대조실험에 사용된 아크릴 홀더는 5 × 10 × 5 cm의 부피이며, 양단에 전극을 설치할 수 있도록 제작되었다(Fig. 4). 이에 대하여 시료의 유도분극 측정에 있어서는 8 × 15 × 12 cm의 홀더에 전극과 시료를 설치하여 측정하였다. 이와 같이 유도분극 측정이 이루어진 시료는 전기비저항(100ohm-m)이 일정한 NaCl 수용액을 채운 크기 120 × 80 × 70 cm의 아크릴 직육면체 수조 내에 이상체로 설치하여 수조모형실험을 행하였다(Fig. 5).
3.2 대조실험
대조실험에서의 물성측정 대상은 전기비저항의 변화를 다양하게 조절할 수 있고, 균질한 상태, 충전율이 0 ms (Telford et al., 1990)인 점을 고려하여 탈 이온수에 NaCl을 혼합하여 다양한 전기전도도의 용액을 충전율 실험에 사용하였다. 동일한 조건의 매질을 사용함으로써 전극배열에 따른 전극 임피던스 효과 및 전극의 종류와 형태에 따른 효과를 비교하고자 하였다(Fig. 4(a)).
2전극법 측정에서는 일반적으로 사용되는 판 형태의 전극과 전극 임피던스를 낮추기 위해 사용되는 망 전극을 비교하였다(Table 1). 이때 망 전극의 사이즈에 따른 분극효과를 비교하기 위하여 8 mesh, 24 mesh, 40 mesh 크기의 구리망을 사용하였다. 또한 전극의 재질에 따른 비교를 위해 스테인레스망과 구리망을 비교 측정하였다(Fig. 4b)).
4전극법 측정에서는 아크릴 홀더의 중앙부에 전도성테이프를 전위전극으로 부착하여 측정하였다(Table 1). 전위전극의 폭에 따른 전극 임피던스 효과를 알아보고자 전위전극의 폭을 1 cm, 0.5 cm, 0.3 cm로 달리하여 비교하였다(Fig. 4(c) and (d)).
또한 전기비저항의 변화에 따른 전극 임피던스 변화를 파악하기 위해 고비저항(5.6 kohm-m), 중비저항(100 ohm-m), 저비저항(0.6 ohm-m)으로 달리하여 비교 측정하였다.
Table 1.
Classification by experiment type
3.3 흑연-시멘트 시료 실험
전기비저항과 유도분극 측정실험을 위하여 뚜렷한 충전율 반응을 나타나는 흑연 분말을 시멘트 모르타르와 혼합하여 4 × 10 × 4 cm 크기의 시료를 제작하였다. 측정시료는 수조 모형 실험에서 설정된 매질의 전기비저항과 동일한 100 ohm-m의 NaCl 수용액으로 포화시켰다. 2전극법 측정은 구리판과 스테인레스망 전극을 사용하였고, 4전극법은 폭이 3 mm인 구리 테이프를 사용하였다(Fig. 8) 4전극법 측정 시 전위전극은 4 cm 간격으로 설치하였다. 측정은 대조실험과 동일하게 2 초의 시간동안 Arithmetic 모드로 측정하였다.
3.4 수조 모형 실험
모형 실험 장치는 수조, 전극, 탐사기기, IP모델로 이루어진다. 수조는 120 × 80 × 70 cm 크기의 아크릴로 제작하였다. 전극은 직경 1.5 mm의 백금으로 제작하였고, 전체 수조의 크기에 비하여 전극이 설치되는 영역의 크기를 가능한 작게 하기 위하여 2cm 간격으로 30개의 전극을 설치하여 반무한 공간을 시뮬레이션 하고자 하였다(Fig. 5). 실제 탐사에서 주변 매질에 해당되며 전기를 전달하는 매체로는 전기비저항이 약 100 ohm-m 인 0.001몰의 염화나트륨 수용액을 사용하였고 온도에 따른 영향을 최소화하기 위하여 항온이 갖추어진 연구실에서 실험을 진행하였다. 사용된 측정기기는 Syscal Pro장비이며 자동전극 전환 장치(Automatic Swiching Box)를 이용하여 자동으로 측정자료를 획득하였다. 탐사자료의 획득에는 분해능이 뛰어난 쌍극자 배열을 이용하였다.
4. 실험결과
4.1 대조실험결과
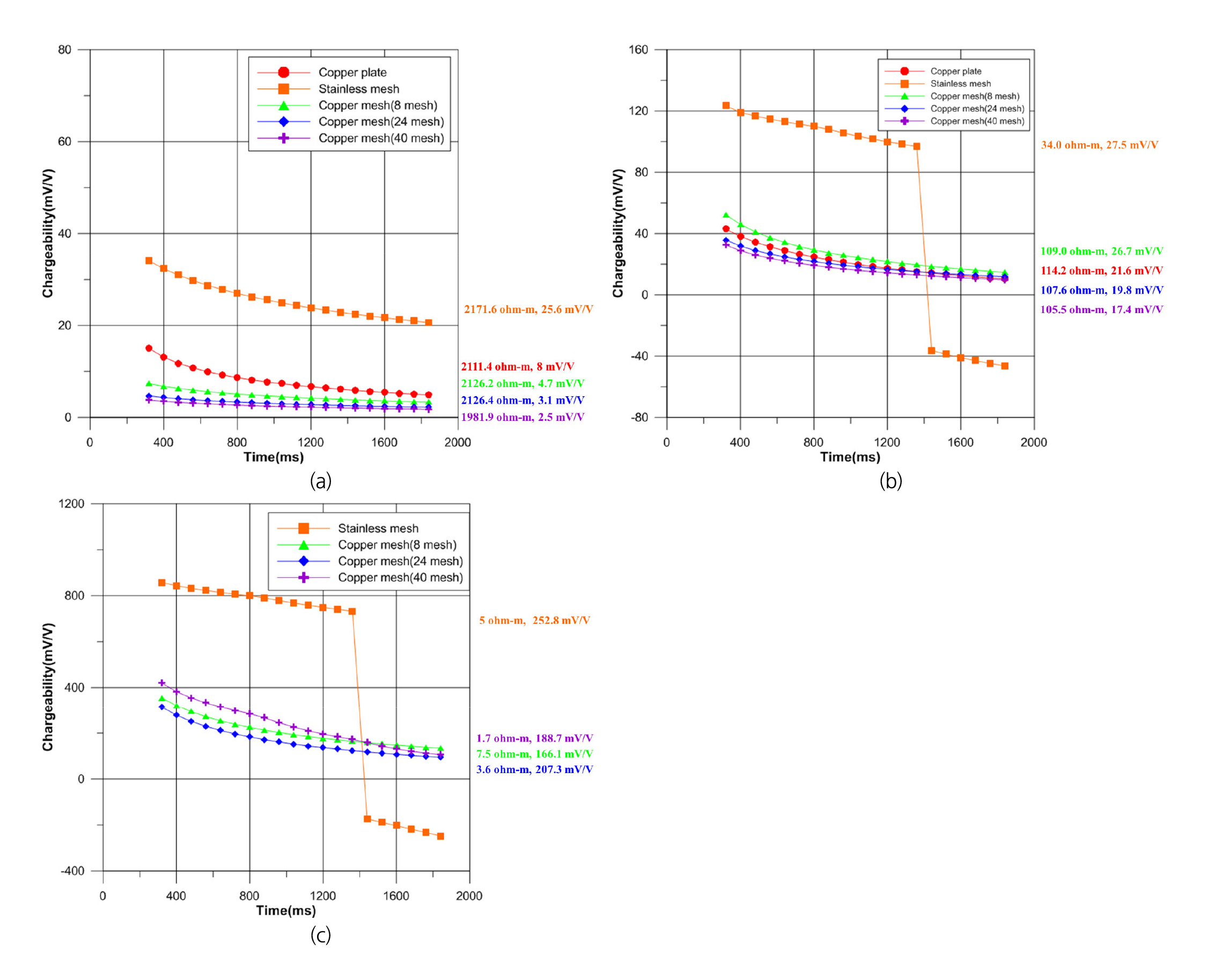
2전극법을 이용한 대조실험결과에 있어서 먼저 가장 특징적인 점은 측정대상의 전기비저항을 정확하게 측정하지 못한다는 점이다. 즉 실험에 설정한 3가지 전기비저항(5.6 kohm-m, 100 ohm-m 및 0.6 ohm-m)에 비하여 특히 고비저항의 경우 1981~2171 ohm-m로 실제에 비하여 작게 측정되고 있으며, 중간 비저항(100 ohm-m)의 경우 105~114 ohm-m로서 비교적 실제값에 가까운 측정값을 보이고 있다. 저비저항(0.6 ohm-m)의 경우에는 1.7~7.5 ohm-m로서 실제값에 비하여 큰 측정값을 보이고 있다. 한편 충전율에 있어서는 전기비저항이 낮아지고, 이온의 농도가 높아질수록 충전율이 증가하는 결과를 보였다.
전기비저항이 5.6 kohm-m인 경우 판 전극의 충전율이 8 mV/V로 망 전극의 4.7, 3.1, 2.5 mV/V(40, 24, 8 mesh)에 비해 높게 측정되었다(Fig. 6). 스테인레스 전극은 구리 전극과 비교해 전기비저항의 오차가 클 뿐만 아니라 충전율이 매우 크게 측정되었다. 특히 전기비저항이 낮아지는 경우 후기 시간에 음의 충전율로 변화하는 결과를 보였다(Fig. 6(b) and (c)).
2극법 측정에서는 전해액에 전류가 흐르며 전기화학 반응이 발생하고, 이로 인한 측정 오차가 발생하는 것으로 판단된다. 또한 구리재질 보다 철재질의 전극에서 전기화학 반응이 강하게 나타나 분극 특성이 강하게 측정되어 측정값의 오차가 크게 나타난 것으로 판단된다.
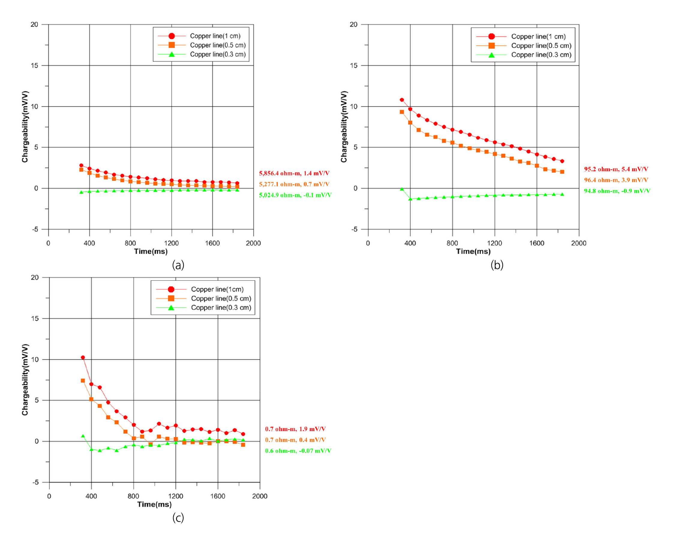
4전극법에서 링의 폭을 각 1 cm, 0.5 cm, 0.3 cm로 달리하여 측정한 결과이다. 전기비저항을 측정한 결과, 4전극법 측정의 결과가 3 가지 용액에서 2전극법과 비교해 정확한 측정 결과를 보였다. 특히, 2전극법과 달리 전기비저항이 낮은 0.6 ohm-m의 수용액에서 매우 정확한 측정을 보이는 것으로 측정 값에 전극에서 발생하는 분극 효과가 감소한 것으로 보인다.
4전극법의 충전율 측정 결과로 고비저항과 중간비저항의 경우를 비교하면 링 전극의 폭이 각각 1 cm, 0.5 cm인 경우 전기비저항이 낮아지면서 미약하게 충전율이 증가하였다(Fig. 7). 하지만 0.3 cm 폭의 전극은 모든 용액에서 유사한 충전율 결과를 보이는 것으로 링의 폭을 얇게 하는 것이 효과적인 것으로 판단된다. 이와 같은 대조실험에서 매질의 전기비저항의 감소는 측정대상 용액의 NaCl 농도가 높아지는 것을 의미하며 이 경우 충전율의 증가는 이온농도 증가에 따라 전극 주변의 전기화학적 반응이 증가에 의한 전극 분극 효과에 기인하는 것으로 해석된다(Fig. 7(c)).
4.2 흑연-시멘트 시료 및 수조 모형 실험 결과
흑연-시멘트 혼합 시료의 측정은 Fig. 8과 같이 측정 홀더에서 측정을 실시하였다. 측정된 전기비저항은 2전극법을 이용한 스테인레스(40 mesh)와 구리판, 그리고 4전극법을 이용한 구리링 순으로 76.7, 31.9, 20.5 ohm-m의 값을 나타내었다(Fig. 8(a)). 흑연-시멘트 시료의 충전율을 측정한 결과에서 2전극법의 경우 스테인레스 망은 240.1 mV/V, 구리판은 34.8 mV/V의 값이 측정되어 구리링을 이용한 4전극법에 비하여 매우 큰 측정값을 나타내었다(Fig. 8(b)). 이와 달리 4전극법에서 측정한 충전율(4.6 mV/V)은 수조에서 측정된 충전율(5.2 mV/V)과 매우 유사한 결과를 나타내었다(Fig. 8(b)).
흑연-시멘트 시료의 측정 결과는 전기비저항 탐사를 구현한 수조 측정 결과와 함께 비교한 이유는 현장에서 수행되는 전기비저항 탐사는 전류전극과 전위전극이 분리되어 있어 전극의 임피던스 영향이 적기 때문에 물성측정에서의 전극배열법의 효과를 비교하는 데 있어 적합할 것으로 판단하였다.
수조모형 측정에서 얻은 겉보기비저항을 DC_2Dpro (Kim, 2009)를 통해 역산으로 전기비저항 값을 도출하였다(Fig. 9). 그 결과 이상체가 위치한 구간에서 중심부의 전기비저항이 약 20.6 ohm-m로 나타났다. 이는 구리링을 사용하여 측정한 전기비저항값 20.5 ohm-m와 매우 근접한 결과를 나타내며(Fig. 8(a)) 이는 4전극법을 이용하여 정확한 전기비저항 측정이 가능함을 말하여 준다.
수조 실험에서 얻어진 충전율 감쇠곡선을 기준으로 각 측정법과의 차이를 비교한 결과 2전극법인 구리판과 스테인레스 망 전극 및 4전극법을 이용한 구리링 전극에서의 측정값은 수조실험결과에 비하여 각 6.3, 49.8, 0.1 %의 차이를 나타내어 4전극법을 이용한 구리링 전극의 충전율 감쇠곡선이 수조모형실험 결과와 가장 유사한 결과를 보였다.
5. 결 론
본 연구에서는 암석 시료의 유도분극 반응 측정에 미치는 영향요인 중에서 측정 전극의 종류 및 형태와 전극배열에 따른 영향을 파악하고자 하였다. 대조실험에서 2전극법 측정을 위해 전극의 종류와 형태를 달리하여 비교한 결과 전기비저항과 충전율 측정 오차가 망 형태의 전극에 비해 판 형태의 전극이 크게 나타났다. 이는 전극과 매질의 접촉면적이 감소하면서 전극과 매질 사이에서 발생하는 전극임피던스가 줄어들기 때문으로 판단된다. 전극의 재질에 있어서는 구리재질 보다 철재질의 전극에서 전기화학 반응이 강하게 나타나 분극 특성이 강하게 측정되어 측정값의 오차가 크게 나타난 것으로 판단된다.
2전극법과 달린 전류전극과 전위전극을 분리하여 측정하는 4전극법에서는 전기비저항의 오차가 작고, 분극효과가 크게 감소하는 것으로 나타났다. 4전극법에서는 링 전극 폭에 따른 비교에서, 전극 폭이 얇아질수록 충전율 반응이 작게 측정되었다.
흑연-시멘트 시료를 통한 실험에서도 4전극법이 2전극법에 비해 전기비저항과 충전율이 작게 측정되었으며, 수조 모형 실험 결과와 잘 일치하였다. 4전극법이 전위전극으로 전류의 통과가 작아 전극 분극효과의 문제가 해결된 결과를 보였다. 광물탐사 등 물성 변화를 파악하기 위해 전기탐사를 수행하는데 있어서, 암석 시료의 물성측정은 실제 지반의 물성 변화를 보다 정확히 파악하는 데 있어서 좋은 지시자로 활용할 수 있다. 따라서 본 연구를 통해 4전극법이 2전극법에 비해 전극의 임피던스에 의한 문제를 줄일 수 있어 유도분극 측정뿐만 아니라 전기비저항 측정에서도 정확한 물성 측정을 기할 수 있음을 확인하였다.












