1. 서 론
2. 정압주입시험 개요 및 장비
2.1 정압주입시험 개요
2.2 정압주입시험 장비 및 기구
3. 정압주입시험 조사절차
3.1 사전 장비 점검
3.2 시험 구간 선정 및 준비
3.3 고심도 수리시험(정압주입시험)
3.4 자료 처리 및 분석
3.5 결과 보고 및 DB 구축
4. 조사절차 적용사례
5. 결론 및 제언
1. 서 론
지하 암반의 수리특성 정보들은 고준위 방사성폐기물 처분의 설계 및 운영 시 안정성 평가에 가장 중요한 핵심 요인 중에 하나이다. 방사성 핵종의 이동 양상에 직접적으로 영향을 미치는 암반 내 지하수 흐름과 유동 특성 관련 수리지질 인자로는 수리전도도(K, hydraulic conductivity)와 저류계수(S, Storativity) 등이 대표적이다. 이들 인자들은 주로 해당 대상 부지에 굴착된 시추공을 이용한 현장수리시험을 통해 도출되며, 원위치 시험조사의 특성 상 시험방법의 적합성과 조사 시스템의 기계적 성능 및 조사절차의 표준화 여부가 시험 결과자료의 정확도와 신뢰성을 좌우하게 된다. 대표적인 수리지질 인자인 수리전도도의 경우 현장계측 시 값의 범위가 10-13 ~ 10-4 m/s 정도(Isherwood, 1979)로 매우 넓기 때문에 분포에 따라 그에 맞는 각기 다른 방식의 시험법이 적용되어야 하며, 넓은 범위의 압력과 유량을 조절하고 계측할 수 있는 고성능의 시험조사 시스템이 필요하다.
앞서 언급한 것처럼 수리지질 인자를 계측하기 위해서는 일반적으로 지하에 시추공을 건설하고 내부에 수리시험장비를 위치시킨 후, 일정한 압력이나 유량으로 물을 주입하거나 배출하여 현장 매질의 시간에 따른 반응 변화를 기록해야 한다. 이와 같이 자연 상태 지하수의 교란 또는 간섭 방식에 따라 다양한 시험방식(정압주입시험/정량주입배출시험/슬러그시험/펄스시험 등)이 존재하는데, 이 중 정압주입시험은 고심도 암반대수층 환경에서 정밀하게 수리지질 인자와 지하수 흐름양상(유동 차원)을 평가할 수 있는 가장 적합한 방법으로 평가되고 있다(Kim et al., 2019).
그러나 정압주입시험은 높은 수준의 기술과 정밀한 시스템이 필요한 만큼 해외 기술 선도 국가에서 독점적으로 개발이 수행되어 왔고(Enachescu and Rahm, 2007), 국내에서는 최근에 이르러서야 장비의 국산화 개발과 현장 적용이 시작되고 있는 초기 단계이다. 이에 따라 조사 시스템에 부합하는 수리시험법과 절차가 표준화 되어 있지 않은 실정이며, 주로 해외 문헌이나 수행자료를 참고하거나 자체 경험적인 방식으로 시험을 수행하고 있다. 표준시험법과 절차의 부재는 현장에서 획득한 수리지질 인자 측정자료의 품질저하 및 분석결과의 신뢰성 하락과 직결될 수 있는 문제이다.
이러한 요구에 맞추어 최근 암반 수리지질 관련 분야의 산학연 전문가 협력을 통해, 국외 표준시험법을 바탕으로 국내의 고심도 암반대수층 조건에 적합한 표준정압주입시험법이 제안되었다(Lee et al., 2022). 기존 국외 시험법은 절차와 방법이 개략적이고 또한 자료분석 시 균열암반의 특성을 적절히 반영하지 않았으며, 신뢰도 향상을 위한 시스템 성능 점검 등의 과정이 생략되어 있기 때문에 국내 지하연구시설 개발 시, 고심도 저투수성 환경조건의 수리특성평가에 그대로 활용하기 어려운 문제가 있었다. 본 보고에서는 암반공학회에 제안된 표준시험법 자료를 바탕으로 이를 보완하고 구체화한 정압주입시험의 상세조사절차를 소개하고, 본 조사절차가 적용된 실제 현장시험 연구 사례도 공유하고자 한다.
2. 정압주입시험 개요 및 장비
2.1 정압주입시험 개요
지하 암반의 수리지질 인자 값을 획득하기 위한 여러 수리시험 방법 중에서 정압주입시험은 지상에서 시추공 내 대상 구간으로 물을 일정 압력으로 지속적으로 주입하면서 시간에 따라 변화하는 주입 유량을 모니터링 함으로써 수리지질의 핵심인자인 수리전도도와 저류계수 정보를 획득하는 시험법이다(Fig. 1). 압력-유량 관계 자료를 제안된 이론식 및 표준곡선을 이용해 매칭시키고 이러한 분석 과정을 통해 암반매질의 투수 특성을 추정할 수 있다.
수리시험 방법 선택 시, 시험 대상 부지 매질의 투수성과 시추공 주변 영역을 적절히 고려해야 정확한 수리지질특성을 도출할 수 있다(Walter et al., 2006). 일반적으로 시험 구간의 유입 수량이 충분히 높을 경우 양수시험 적용이 가능하고 그 외의 경우에는 주입시험을 수행한다. 국내에 존재하는 대부분의 암반대수층은 투수도가 낮은 상태이므로 양수시험의 적용 빈도는 극히 드물다. 주입시험 중에서도 투수도가 매우 낮은 경우에는 순간충격시험을 주로 적용하는데 이는 시험 시간이 짧고 과정이 단순하여 수행이 용이하지만 시추공 주변의 제한적인 투수 특성만 반영되는 특징을 가지고 있다.
정압주입시험은 10-10 ~ 10-4 m2/s 정도 범위의 투수도(T, Transmissivity)를 측정할 수 있는 시험법으로 순간충격시험에 비해 시추공 주변의 보다 광역적인 투수 특성을 도출할 수 있다(Fig. 2). 시험이 수행되는 동안 주입 압력이 일정하게 유지되기 때문에 공내저류효과의 영향을 최소화 할 수 있고, 주입되는 유량을 직접 측정하고 해석에 적용하기 때문에 시험 원리가 명확하고 해석 오류 발생 가능성이 적다(Bae et al., 2021). 또한 핵심 수리지질인자인 수리전도도와 저류계수 도출 이외에도 시추공 인근 지하수의 흐름 양상을 나타내는 유동 차원(n, flow dimension)을 구할 수 있다. 유동 차원은 시험 구간 내에서의 유체 유동을 1차원적 선형 유동, 2차원적 평면적 방사 유동, 3차원적 입체적 구상 유동으로 나누고 이를 수치적으로 표현한 것이다. 다공성 매질에서는 일반적으로 2차원 평면 방사 유동을 가정하고 또한 유동 단면적은 시추공으로부터의 거리에 비례하여 일정하게 증가하는 것으로 가정하지만, 실제 암반 절리에서는 개별 절리의 연결을 통해 수리적 유동이 발생하기 때문에 유동 차원도 다양한 형태를 나타내고 유동 면적도 절리 연결 상태에 따라 달라질 수 있다(Kim et al., 2019). 결론적으로 이러한 여러 장점에도 불구하고 정압주입시험은 시험방법과 절차가 까다롭고 장치 구성의 복잡하며, 조사 시스템의 기계적 성능이 매우 높아야 하는 등의 수행 시 어려움을 가지고 있다.
2.2 정압주입시험 장비 및 기구
정압주입시험 전체 시스템은 크게 두 부분으로 나눌 수 있는데, 먼저 가압장치, 자료획득장치, 시스템제어장치, 윈치 등의 지상 장치와 가압 구간 및 패커 수압전달장치, 가압 구간 및 패커 압력측정장치, 스트래들 패커 등의 공내 장치로 구성된다(Fig. 3).

Fig. 3
Schematic diagram of total system for constant pressure injection test (modified from Lee et al., 2022)
2.2.1 가압장치
유체의 가압은 지상에 설치된 펌프에 의해 이루어지며, 펌프는 0~10 L/min의 유량범위에서 10 MPa 이상 가압할 수 있어야 한다. 일반적으로 본 정압주입시험 시에는 1 MPa 이상 가압하는 경우는 거의 없으나, 패커 팽창 시에 수 MPa 정도의 가압 범위가 필요하므로, 펌프는 일정 고압력 성능을 보유하고 있어야 한다. 고심도 암반대수층의 경우에는 일반적으로 낮은 투수환경이기 때문에 1 L/min 이하의 저유량 사양의 펌프를 별도로 사용하는 것이 안정적인 주입에 유리하다. 가압 시 압력의 변동(fluctuation)을 최소화 할 수 있는 고성능의 펌프를 선정하여 사용하는 것을 권장하며 다양한 방식의 가압펌프가 적용될 수 있으나 정밀한 가압, 압력 유지 및 유량 조절 측면에서 전기식이나 유압식 펌프를 사용하는 것이 유리하다. 환경 조건에 따라 단일 펌프의 기계적 성능 한계로 인해 안정적이고 미세한 유량 주입이 어려운 경우에는 시험 데이터의 신뢰도 향상을 위해, 저용량/고용량 펌프를 유량 범위에 따라 선택적으로 사용할 필요가 있다. 또한 가압보조장치(펌프회전수 조절모터, 압력-유량 제어 밸브, 미세유량 bypass 조절장치)를 함께 사용하는 것도 권고된다.
2.2.2 자료획득장치
압력계 및 유량계로부터 얻어지는 아날로그 데이터는 A/D (Analog to Digital) 보드를 거쳐 신호변환 후 디지털 데이터로 저장된다. 디지털 센서를 사용할 경우에는 이러한 변환 과정 없이 디지털 신호가 직접적으로 기록된다.
2.2.3 시스템 제어장치
패커의 팽창 및 수축, 시험 구간의 가압 조절을 위한 압력 제어 기능이 장착되며 시험 전 과정에 걸친 다양한 세부 기능들(유체의 방향 조절, 역류 제어, 과압 방지, flow back)을 직접적으로 제어할 수 있어야 한다. 신속한 제어를 위해서 기계식 수동 방법보다 전기식 또는 공기압 방식 조절(개폐) 장치를 사용하는 것이 유리하며 다양하고 복잡한 작업 공정을 고려하여 개별 제어 기능 구동 모듈들이 통합된 형태로 구성되는 것이 바람직하다.
2.2.4 윈치 및 와이어라인
시추공 입구에 삼각대 등과 연결되어 정압주입시험에 필요한 공내 시험 장치들을 시추공 내의 시험 구간에 위치시키기 위해 사용한다. 이 때 윈치와 와이어라인은 시험 장치의 무게를 충분히 지지할 수 있는 최소 직경 6 mm 이상의 충분한 두께의 케이블을 사용하는 것이 작업 안정성 확보에 유리하며, 공내삽입장치의 상향 이동 시 시추공 내 물의 저항으로 큰 하중에 작용하므로 윈치부의 견인력이 충분히 큰 윈치장치(2.5 HP 이상)를 사용하는 것이 현장작업에 유리하다. 윈치 와이어라인은 일반적으로 고강도 스테인리스 스틸(High-strength stainless steel)로 구성되며, 부식 방지 성능의 향상을 위해 일부 합금이 포함되기도 한다. 1 km 이상 고심도에서 시험이 수행될 경우에는 공내삽입장치와 더불어 와이어라인 자체의 과중한 무게로 인해 케이블이 신장(elongation)될 수 있으므로 이에 관한 고려 및 보정을 통해 조사 심도 오차를 최소화해야 한다.
국내 여건 상 많이 쓰이지는 않지만 대규모 조사 시스템이 적용되고 있는 해외의 경우에는 rod/pipe 방식도 종종 사용되고 있는데, 구조적으로 많은 공내장치 설치가 가능하다는 장점이 있지만 rod 연결과 시추공 내 이동을 위해 시추기나 그에 준하는 대형 장비가 필요하다는 단점이 있다. 일반적으로 2~3 m 길이의 개별 rod를 연결하여 공내 삽입부를 이동시키기 때문에 depth indicator를 이용해 조사 심도를 정확하게 확인해야 한다. 또한 연결 rod 자체가 시험수 주입에 사용되기 때문에 연결부에서의 누수 발생 여부에 대한 점검이 필요하다.
2.2.5 압력 및 유량 측정장치
유체의 압력을 실시간으로 확인하기 위해 압력계(pressure transducer)를 사용하며 가압 구간과 패커에서 각각 사용된다. 특히 지하 현장에 적용되는 정확한 수압을 실시간으로 모니터링하기 위해서 시추공 내의 패커 직상부에 압력계가 설치되어야 한다. 기록 시스템에서 발생하는 오차를 포함하여 ±0.5% 수준 이상의 측정 정확도가 권장된다.
시험 구간으로 유입되는 유량을 측정, 저장하기 위해서 유량계를 사용하며 지상부 가압장치와 수압전달장치 사이에 위치한다. 유량계는 압력계에 비하여 측정 범위가 제한적이기 때문에 시험 구간의 유량 범위에 따라 각기 다른 사양의 유량계가 한 개 이상 필요할 수 있다(저유량용/고유량용). 측정 정확도는 상용화된 유량계를 기준으로 ±1% 수준 이상의 제품이 권고되는데, 실제 유량계 특성 상 제공된 측정 정확도가 full-scale 기준인 경우가 대부분이다 보니 저유량 범위에서 계측 시 신뢰도를 보장하기 어렵다. 그러므로 저유량용 유량계의 경우에는 측정 정확도의 기준이 full-scale이 아닌 각 자료의 해당 값(reading value)인 것을 사용하는 것이 계측 신뢰도 향상에 있어 유리하다.
2.2.6 수압전달장치
일반적으로 패커의 팽창과 시험 구간의 가압에 필요한 작동은 지상에서 수행한다. 고압용 스테인리스 스틸 튜브, 신축성 호스 또는 시추 롯드를 사용하여 수압을 전달한다. 튜브나 호스를 사용할 경우에는 시추공 내로 이동을 위해 윈치나 릴(reel) 장치가 사용되며, 롯드를 사용하는 경우에는 개별 롯드의 연결과 이동을 위해 시추기 규모의 대형 장비와 부가 장치들이 필요하다. 추가적으로 압력 회복(recovery) 자료 획득이 필요한 롯드방식에서는 튜브나 호스에 비해 매우 큰 저류 효과가 발생하기 때문에 공내에서 즉각적으로 개폐를 통해 유체 유동을 차단할 수 있는 downhole shut-in valve와 같은 장치가 선택적으로 사용될 필요가 있다.
2.2.7 패커
시추공 내에 밀폐된 시험 구간을 형성하기 위하여, 두 개의 팽창성 고무 패커를 사용한다. 공벽 사이의 누출(leakage)을 방지하기 위해서 두 패커 사이의 거리는 시추공 직경의 10배 이상인 것이 바람직하며(NX 시추공의 경우는 80 cm 이상인 제품 사용 권장), 두 개의 상하부 패커에는 동일한 압력이 작용하여야 한다.
패커의 가압은 수압과 기체압(압축 공기, 질소 등)으로 가능하다. 기체압 방식의 경우 고심도 환경에서는 수 십 bar 이상의 고압으로 기체를 주입할 수 있는 가압 장치와 폭발 방지 장치가 필요하고 현장 작업의 안정성을 위해서 관련 전문가가 참여해야 한다. 따라서 작업의 효율성과 안정성 측면에서 기존 수압 펌프를 이용해서 패커 내부를 물로 팽창시키는 수압 방식이 주로 사용되고 있다.
패커에 적용되는 수압은 시험 구간에 적용되는 주입 압력 이상이어야 하며, 해당 깊이에서의 지층 파괴 압력 미만의 값을 가져야 한다. 패커 순팽창압력(net working pressure)에 대해 표준화된 기준은 없지만 일반적으로 20~35 bar (kgf/cm2) 범위의 값이 적용되며, 패커 구조 상 센서 측정 압력보다 실제 공벽에 가해지는 압력은 다소 낮게 나타난다.
일반적인 암반 대수층 수리시험의 경우 대부분 이중(double) 패커가 사용되지만, 시험 목적(요소체적규모(REV) 수리특성평가, 시추공 굴진 중 파쇄대 수리특성평가 등)에 따라 단일(single) 패커 방식을 활용하여 정압주입시험을 수행하는 경우도 있다.
3. 정압주입시험 조사절차
정압주입시험뿐만 아니라 대부분의 고심도 수리특성 평가를 위한 현장 수리 시험들은 Fig. 4와 같은 순서와 절차에 의해 수행된다. 먼저 사전 장비 점검 과정을 통해 조사 시스템 각 개별 장치들의 성능과 연결성, 그리고 시스템 구동 시 안정성과 측정 결과의 정확도 등을 실내 실험 스케일에서 미리 검증한다. 이 과정에서 발생한 문제점을 보완한 후, 실제 시험이 수행될 현장 시추공 내 시험 구간을 선정한다. 이 때 물리검층 자료와 암석 시추 코어 자료를 활용하여 시험 목적에 맞게 조사 구간을 선정하고, 구체적으로 시험 구간의 개수와 인터벌 길이를 결정한다. 이 후, 본 수리시험을 수행하게 되는데 이에 앞서 현장에서 조사 시스템의 세팅과 더불어 최종 점검 과정을 수행하게 된다. 최종 점검 과정에서 특별한 문제점이 발견되지 않으면, 시스템을 시추공 내부로 위치시키고 정압주입시험을 수행하게 된다. 시험을 수행한 후, 자료 처리 및 분석 과정을 통해 해당 암반 대수층의 수리특성 값을 회득하고, 이를 종합적으로 정리하는 결과 보고 및 데이터베이스(DB) 구축 과정이 진행된다.
3.1 사전 장비 점검
고심도 수리시험용 조사 시스템은 전 세계적으로도 상용화된 것이 거의 없고, 해외 기술 선도국들의 경우 자국 환경 조건에 따라 각기 다른 방식과 형태를 가진다. 여러 개별 조사장치들의 복합적인 조합에 의해 현장 조사 시스템이 구성되기 때문에 일부 장치에서 오작동이 발생하거나 기능면에서 불완전할 경우에 정상적인 본 시험이 불가능하다. 따라서 실제 본 현장시험 전 단계에서 시스템 하드웨어/소프트웨어 성능에 대한 예비시험과 점검과정이 필요하다. 특히 우리나라의 암반대수층의 경우 대부분 투수성이 낮은 결정질이나 이암 등의 퇴적암이 다수 분포하고 있고 심도가 깊어질수록 저투수성 환경이 보다 더 많아진다. 이러한 암반 조건에서는 일반적인 상용 수압펌프 사용으로는 정밀한 가압과 일정한 압력 유지 및 저유량 주입/측정이 어렵다. 그러므로 고성능 고사양의 장치들이 사용되어야 하고, 현장 시험 전에 여러 파라미터를 조절할 수 있는 실내실험/점검을 통해 조사 시스템 성능을 검증하는 과정이 필수적이다. 점검의 범위와 기준은 외국의 경우에도 따로 규정화된 바가 없지만 정압주입시험을 기본으로 수행할 경우, 핵심적인 사전 점검 사항은 다음과 같이 제시될 수 있다. 아래 점검 사항 중 ③~⑥의 과정을 실제 실험실 또는 현장스케일의 실험을 통해 사전에 체크하면서 ①~②에 해당하는 조사 시스템 전체적인 기계적 성능과 안정성은 함께 점검이 수행된다.
① 조사 시스템 내 유동 라인 누수/누유 여부와 장시간 구동에 따른 작동 안정성 여부
② 자료 조절획득부-윈치-공내압력센서 간 신호 통신 기능(공내압력센서 방수 성능 함께 확인)
③ 가압 장치부의 압력 조절 및 유지 성능
④ 지표주입압력과 공내측정압력의 신호 수치 및 변화 정도 일치성 여부
⑤ 저유량/극저유량 주입 및 측정 성능
⑥ 패커 가압 팽창 및 밀폐 성능
Fig. 5는 사전 장비 점검 과정 중 ③과 ④에 해당하는 부분으로, 정밀 가압과 압력 유지 기능 및 지표주입압력(Psi, surface injection pressure)과 공내측정 순주입압력(Pni, net injection pressure) 간의 일치성 여부 점검 사례를 나타낸다.
일반적으로 현장시험 시 지표에서 주입하고 기록된 압력에 비해 실제 지하 시험 구간에서 측정되는 공내 순주입압력은 작은 값을 보이는 경우가 많다. 긴 도체(호스)를 따라 유체가 흐르면서 마찰에 따른 압력 손실이 발생하게 되는데, 길이(심도)가 길어질수록 그 정도는 커져서 심도 500 m 이상 고심도로 가면 지표 주입 압력에서 20~30% 이하로 줄어든 압력만이 실제 공내 시험 구간에 작용하기도 한다. 따라서 지표와 공내의 이러한 압력 값 차이 때문에 실제 시험 자료를 분석/해석 할 때에는 공내에서 측정하는 순주입압력 값을 이용하는 것이 바람직하다
다만 측정되는 순주입압력 값을 신뢰하기 위해서는 압력 손실이 발생하지 않는 기본 상태에서 실제 펌프를 통해 토출되는 지표주입압력과 공내측정압력 값이 차이를 보이지 않고 일치해야 하는 비교 검증이 필요하다. 일반적으로 두 압력 센서에서 측정하는 값이 동일하다고 간주한 상태에서 시험을 수행하고 결과를 획득하지만, 실제 동일한 사양의 센서를 사용하더라도 신호를 전달해주는 시그널 케이블이나 신호를 읽고 변환해주는 시그널 컨디셔너와의 연결성 문제 등으로 인해 값의 차이가 발생할 수 있기 때문에 사전에 성능 점검이 필요하다.
주입 압력이 일정하게 유지되지 않거나 혹은 일정하게 유지되더라도 그 유지 정도가 고르지 못하고 압력 값이 위아래로 변동(fluctuation) 하게 되면 그에 따라 유입 유량 값이 함께 변동하게 된다. 정압주입시험에서는 시간에 따른 유량의 값과 변화 형태를 이용하여 실제 균열암반의 수리물성과 지하수의 흐름(유동) 양상을 평가하기 때문에 조절 변수인 주입 압력이 비정상적으로 유량 결과 값에 영향을 미치게 되면 자연 암반 본래의 수리특성을 정확하게 평가하기 어렵다. 일반적으로 지표에서 주입된 압력의 변동성은 긴 도체(호스)를 지나 시추공 내 시험 구간에 이르면서 감소되는 경향이 있다. 그래서 압력의 변동이 공내 순주입압력 상에서 크지 않으면 지표압력의 변동성은 무시될 수도 있지만, 실제 시험 구간 내로 유입되는 유량은 지표의 펌프에서 시작되기 때문에 의도치 않은 유량의 불규칙한 변동을 최소화하기 위해서는 시작 지점인 지표 주입 압력 변동도 최소화 할 필요가 있다.
Fig. 6은 사전 장비 점검 과정 중 ⑤에 해당하는 부분으로, 저유량 주입/조절 및 측정 사례를 나타낸다. 투수성이 낮은 암반 조건에서 유량이 과다하게 주입되는 경우, 압력이 급격하게 상승하여 기존 암반 균열들이 기하학적으로 변형될 수 있는 위험성이 있다. 또한 앞에서 언급한 것처럼 고압력/고유량으로 주입이 이뤄질 경우에 절리의 기하학적인 변화가 없더라도, 비선형 흐름(난류) 발생으로 인한 압력 손실이 본래 자연 상태 투수도를 과소평가 하게 하는 해석 오류를 범할 수도 있다. 따라서 이러한 시험 구간에서는 미소 유량 주입이 가능한 특수 저용량 펌프 또는 미세 유량 조절장치가 사용되어야만 정상적인 시험이 가능하다. Fig. 6(a)은 저용량 펌프를 사용해서 10 mL/min 수준의 극저유량 주입을 수행한 실내 실험 사례이다. 이처럼 저용량 펌프를 사용하는 경우에는 패커의 가압 팽창과 고유량 시험 구간을 대비하여 고용량의 펌프를 필요에 따라 선택적으로 사용할 수 있는 하이브리드 시스템이 필요하다. Fig. 6(b)은 유량 조절 장치를 사용해 펌프에서 토출된 고유량을 인위적으로 낮게 감소시킨 사례이다. 이 경우에는 하나의 고용량 펌프를 활용해 패커 가압 팽창과 저유량/고유량 시험을 모두 한 번에 수행할 수 있는 편리성을 지닌다. 그러나 펌프를 통해 토출된 고용량의 물을 인위적으로 bypass 시킴으로써 실제로 시험 구간에 들어가는 유입량을 감소시키는 원리이기 때문에, 조절 장치를 사용하는 시험자의 경험과 주관이 결과에 영향을 미칠 수 있는 불확실성이 존재한다. 즉, 시험 구간에 따라 조절하는 물의 양이 달라질 수 있는데 그때마다 표준화된 조절 기준이 없기 때문에 bypass 정도에 따라서 실제 균열암반의 본래 수리특성이 왜곡될 위험성이 있다. 그러므로 유량 조절 장치를 통해 저유량을 주입할 경우에는 장치의 유량 조절 원리를 명확히 설명하고, 인위적으로 조절하는 bypass volume의 기준을 정량화하여 제시하면 시험 결과의 신뢰성을 보다 높일 수 있다.
Fig. 7은 사전 장비 점검 과정 중 ⑥에 해당하는 부분으로, 패커 가압 팽창 및 밀폐 적정성 사례를 나타낸다. 대부분의 수리시험은 일정한 구간을 대상으로 수행되기 때문에, 시험 구간을 완전히 밀폐(isolation) 시키는 패커의 기능은 조사 시스템 내에서도 핵심 점검 사항에 해당한다. 스테인리스 철제 케이싱을 이용해 패커를 가압하고, 팽창압 유지 여부와 누수(주입 유량의 유출) 여부 등을 확인한다. 패커 팽창압은 정해진 기준은 없으며, 시험 구간의 온전한 밀폐와 시추공벽 변형 및 파괴 등을 종합적으로 고려하여 20~35 bar (kgf/cm2) 수준에서 시험자가 결정하여 사용한다.
3.2 시험 구간 선정 및 준비
불연속면의 분포 상태와 시험의 목적 및 작업성을 종합적으로 고려하여 시험 구간을 결정한다. 주로 시추 코어와 물리검층 조사자료를 활용하나 후자에 가중치를 둔다(Fig. 8). 시추 시에 얻어지는 암석 코어를 통해 암석의 광물학적 불연속성을 육안으로 관찰하여 물이 흐를 수 있는 절리 구간을 파악한다. 코어 획득 시 물리적인 깨짐 등으로 인위적인 불연속면이 생성될 수도 있으므로 반드시 물리검층 자료와 비교 분석하여 신뢰성을 제고해야 한다. 시험 구간 선정 시 활용되는 물리검층은 주로 초음파 주사검층 자료와 시추공 카메라를 이용한 시각적 관측자료를 의미한다. 특히 초음파 주사검층은 공내 수질이 좋지 않아 시야가 잘 확보되지 않는 환경 조건에서도 불연속면(암반 절리)의 크기와 방향 등을 이미지로 확인할 수 있는 장점이 있다. 그러나 이미지에 관찰되는 틈새가 반드시 지하수가 유동하는 투수성 절리를 의미하지는 않기 때문에, 여건이 된다면 보다 신뢰도 높은 구간 선정을 위해 온도/전기전도도/감마-감마/밀도 검층/자연 전위 등의 추가 물리검층 결과 비교를 통한 보완도 권고된다. 암석 시추 코어와 물리검층 자료를 통해 종합적으로 투수성 절리를 구분하고 시험 목적에 따라 깊이별로 시험 구간의 개수와 길이를 선정한다. 시험 구간의 길이는 상부 패커와 하부 패커 사이의 인터벌 길이에 해당하며 일반적으로 0.5~10 m의 범위에서 시험 목적에 따라 결정된다. 현장 시험의 잠재적 위험 요인으로 작용하는 대규모 불연속면(파쇄대, 단층 등)이 분포하는 잠재적 위험 구간은 본 시험 전에 충분히 검토하여 제외하는 것이 바람직하다.
3.3 고심도 수리시험(정압주입시험)
정압주입시험을 수행하는 동안 시험 구간 및 스트래들 패커의 압력, 주입되는 유체의 단위시간당 유량(flow rate)을 전 시험 시간에 걸쳐 실시간으로 기록하여야 한다. 일반적으로 패커와 호스 등의 사양을 고려했을 때, 정압주입시험이 수행되기 적합한 시추공의 직경은 76~96 mm (NX~HX size)이다.
① 공내 삽입부는 케이블 윈치를 사용하여 최하부 시험 심도로 이동시킨다. 이 때 하강/상승 속도는 작업 안전성을 위해 가능한 한 6.0 m/sec 이하로 한다(윈치 사양 및 현장 상황에 따라 조절). 케이블의 장력을 실시간으로 체크하여 공내 삽입부의 걸림이나 끊어짐 등의 위험성을 사전에 방지한다.
② 패커는 불완전 밀착에 따른 누수를 방지하도록 고무 부분 길이가 0.8 m 이상인 제품을 사용하는 것이 권고된다.
③ 패커 팽창을 위한 순팽창압(net working pressure)은 공벽 손상을 최소화시키기 위해 20~35 bar (kgf/cm2) 범위에서 여러 단계로 나누어 팽창시킨다. 이 때, 패커 가압 시 압력이 급격하게 증가하면서 패커 내부로 유입되는 유량이 급속도로 줄어들게 되는데, 이를 통해 패커의 가압이 완료 상태에 도달하는 것을 간접적으로 확인할 수 있다.
④ 패커의 불완전한 공벽 밀착이나 급격한 팽창압 변화는 누수의 원인이 되므로 시험 전 과정에서 실시간으로 측정, 모니터링 및 기록한다(Fig. 9).
⑤ 패커의 공벽 밀착 후 10분 이상 시추공 내 지하수를 안정화시키면서 다운홀 압력센서가 시험 구간 심도 초기 수압을 정확히 측정하고 있는지를 확인한다. 시험 구간의 수압이 안정화되면 펌프를 작동시켜 순주입압력(Pni)을 2~3 bar 이하로 가압한 후, 15~20분 이상 가압한 압력을 그대로 일정하게 유지시키면서 주입 시간(injection period)동안 유입되는 유량의 변화를 기록한다. 순주입압력을 2~3 bar 이하로 낮게 유지하는 것을 권장하는 이유는 앞서 설명한 것처럼 암반 절리의 기하학적 변형과 비선형 흐름을 통해 본래 균열암반의 수리특성 값이 왜곡되는 것을 최소화하기 위함이다. 일반적으로 정압주입시험 수행 시, Fig. 10과 같이 시험 시간이 경과함에 따라 처음 증가했던 유량이 감소하다가 일정한 값으로 수렴하여 안정화되는 비정상류 형태를 보인다.
⑥ 암반 투수성이 낮은 시험 구간 조건에서는 저용량 펌프 모듈을 가동시켜 낮은 유량으로 물을 토출하여 주입하고, 투수성이 높은 구간에서는 고용량 펌프 모듈을 이용하여 충분한 유량으로 주입시험을 진행한다(단일 펌프를 사용할 경우 저유량 조절 장치 추가 선택 활용).
⑦ 시험 시작 후 15~20분 경과하고, 주입 유량이 일정한 값으로 수렴하여 안정화되면 가압을 멈추고(shut-in) 패커를 이완시킨다. 10분 이상 충분히 패커를 이완한 후 다음 시험 심도로 공내 삽입부를 이동시키고 위의 과정을 반복하여 수행하며, 최종 시험 종료 후에는 지상으로 공내 삽입부를 이동시키고 시험 장비를 해체한다.
3.4 자료 처리 및 분석
3.4.1 정상류 해석(Steady state analysis)
자연 환경에서 실제 암반 내 지하수의 흐름은 정상류 상태라기보다는 특정 위치에서 시간 경과에 따른 속도가 변화하는 비정상류(Non-steady state (transient) flow) 상태에 가깝다. 수압시험에서는 준정상류 상태를 짧은 시간 유지하고 단계적으로 변화시키는 과정에서 나타나는 압력, 유량 값을 해석에 이용한다. 정압주입시험에서는 가압 종료 시점에서의 유량 특성 값들이 정상류 해석에 적용된다. 정상류 조건에 근거한 수리전도도와 투수량계수 등과 같은 수리상수 분석에는 Moye(1967) 계산식이 널리 활용되고 있다. 아래 식 (1)과 (2)에서 T는 투수량계수(m2/s), ρ는 물의 밀도(kg/m3), g는 중력가속도(m/s), Cm는 geometrical shape factor(단위 없음), Pni는 순주입압력(Pa), Lw는 시험구간의 길이(m), rw는 시추공의 반경(m)을 나타낸다.
일반적으로 정상류 해석 결과는 비정상류 해석에 비하여 수 배 정도 이내 수준에서 큰 값을 가진다. 그러나 정압주입시험 시 유량이 안정화되어 오랜 시간이 경과하거나 완전히 이상적인 방사상 흐름의 경우 또는 투수성이 매우 높은 조건에서는 정상류 해석 결과가 비정상류 해석과 유사한 값을 가지는 경우도 있기 때문에, 이러한 조건에서는 정상류 해석이 서로 다른 해석법들 간의 교차 분석을 통한 신뢰성 향상에 활용될 수 있다.
3.4.2 비정상류 해석(Non-steady state analysis)
1) 다공성매질 비정상류 표준곡선중첩(type curve matching) 분석법(Jacob and Lohman, 1952)
Jacob and Lohman(1952)은 피압 조건 균질 암반 내 정압 상태의 방사상 흐름에 대한 유동 해석과 분석 방법을 제안하였다. 무차원 유량과 시간 개념을 도입한 직선 분석법(straight line analysis method)을 기반으로 이후 많은 연구를 통해 이론과 해석 기술의 발전이 이루어져 왔다. Jacob and Lohman(1952)이 제시한 다공성매질 비정상류 표준곡선(type curve) 중첩(matching) 분석법은 다음과 같은 과정으로 진행된다. 먼저 지하수 유동방정식을 이용하여 정압주입시험 시 지하수 유입량 변화의 해석해를 유도하고 이 해석해를 이용하여 수치적으로 만든 로그-로그(log-log) 스케일의 표준곡선을 도식화한다. 실험을 통해 얻은 시간에 따른 유량 변화 로그 값을 표준곡선과 동일한 스케일의 logarithmic paper에 표현하고, 이 두 유량 곡선을 중첩하면서 가정 높은 적합도(best fit)의 곡선을 찾는다(Fig. 11). 중첩된 두 좌표계의 임의 지점의 좌표로부터 투수량계수(T)와 저류계수(S) 값을 결정하고 기록할 수 있으며, 이 두 수리상수 값들을 제외한 나머지 변수들은 모두 시험 내에서 결정되어 있는 고정 값으로 간주한다.
Jacob and Lohman(1952)의 표준곡선중첩법은 효율적으로 수리특성을 구할 수 있는 가장 대표적이고 일반적인 방법이지만 기본적으로 2차원 방사상 흐름(radial flow)을 가정하기 때문에, 실제 현장에서 1차원적 선형 흐름이나 3차원적 구상 흐름 환경 조건에 측정된 자료와는 매칭이 잘 되지 않을 수 있다. 시행착오적 방법으로 무리하게 매칭시키는 경우에 결과 값이 비정상적으로 나타날 수 있는 문제가 발생할 수 있다.
2) 암반절리 Generalized Radial Flow Method (GRFM) 분석법(Barker(1988), Doe and Geier(1990))
Barker(1988)는 이러한 다공성 매질에 근거한 해석 방법들의 문제점을 해결하기 위해 지하수 유동 형태를 비정수 차원(non-integer dimension)에 근사시켜 해석하는 Generalized Radial Flow Model (GRFM)법을 제안하였다. 절리(균열) 암반을 주로 고려한 이 모델은 균질한 등방성 매질을 가정하여 개발되었기 때문에 불연속면 발달이 미약한 다공성 암반에도 적용이 가능하다. Barker(1988)의 이론을 기반으로 Doe and Geier(1990)는 단일공 정압시험의 해석법을 제안하였다. 지하수의 유동 차원(flow dimension)을 대표적으로 1, 2, 3의 정수형으로 구분하고 각각 1차원 선형 유동(linear flow), 2차원 방사상 유동(radial or cylindrical flow) 및 3차원 구상 유동(spherical flow)으로 정의하였다.
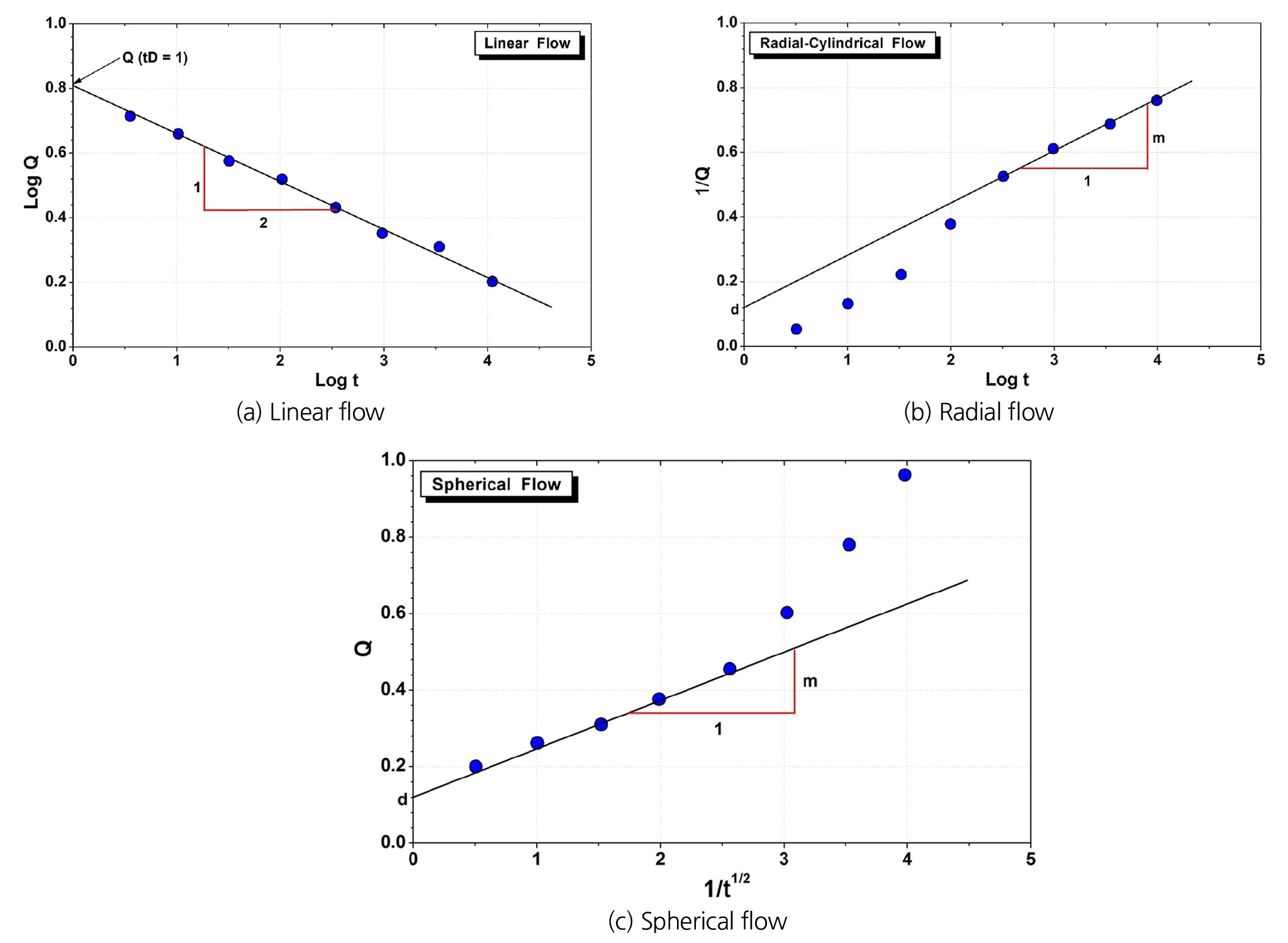
2의 이론을 기반으로 제안된 Doe and Geier(1990) 해석법에서는 현장 정압주입시험에서 측정되는 주입 압력-유량 곡선에서 지하수 유동 흐름이 1, 2, 3의 정수형 특성 값을 가지는 것으로 가정할 경우 표준 곡선에서, 특정 유량 매개 변수를 사용하여, 유량 변화를 직선으로 표현할 수 있다. 이러한 이론적 특성을 기초로 제안된 직선 간편법(straight –line simplification)을 적용하여 식 (3)~(5)로부터 투수량계수, 수리전도도, 저류계수 및 비저류계수와 같은 수리상수 값들을 산정할 수 있다. Fig. 12는 선형 유동(n=1), 방사상 유동(n=2) 및 구상 유동(n=3)인 경우의 유량 변수와 시간 변수와의 관계 곡선을 나타낸다. 먼저 선형 유동의 경우, 유동방정식은 아래 식 (3)과 같이 정의한다. K는 수리전도도(m/s), Ss는 비저류계수(m-1), A는 유동 통로의 단면적 크기(m2), hw0는 시험공내 초기 수두압력(Pa)을 나타낸다.
Fig. 12(a)에 나타나 있는 기울기가 1:2인 직선의 연장선에서 Q(tD=1)을 도출하고 수리전도도와 비저류계수의 곱의 형태인 수리상수를 구한다. 이 경우에 비저류계수 값을 가정하고 수리전도도 값을 구하는데, 암반대수층의 경우 파쇄 정도에 따라 10-7(파쇄 약하고 불연속면 분포 밀도 낮음)~10-4(파쇄 심하여 불연속면 크게 발달)의 값 분포를 나타낸다(Kuusela-Lahtinen et al., 2003, Kuang et al., 2020).
방사상 유동의 경우, 유동 방정식은 아래 식 (4)과 같이 정의한다.
방사상 유동에서 시간에 따른 유량의 변화는 1/Qvs logt에서 직선의 형태를 나타내며, Fig. 12(b)에 나타나 있는 직선에서 기울기와 절편의 값을 이용하여 투수량계수와 저류계수 값을 산정한다. t는 시험 경과 시간(sec), T는 투수량계수(m2/s), m은 그래프 상 직선의 기울기를 나타낸다.
구상 유동의 경우, 유동방정식은 아래 식 (5)과 같이 정의한다.
구상 유동에서 시간에 따른 유량의 변화는 에서 직선의 형태를 나타내며, Fig. 12(c)에 나타나 있는 직선에서 기울기와 절편의 값을 이용해 수리전도도와 비저류계수 값을 도출한다.
3.5 결과 보고 및 DB 구축
정압주입시험을 통해 획득한 자료분석 후, 결과 보고 및 DB 구축 시 다음 사항을 포함해야 한다.
① 시험 시추공 주변 지질 정보와 시추공 상세 정보
② 시험 장비 정보(다이어그램, 제원, 보정 결과 등)
③ 시험 순서 및 과정 정보(주입 시 일정 압력 유지 시간 등)
④ 시험 구간의 심도와 간격, 시험 횟수, 순서 및 시험 구간 선정을 위한 시추 코어 분석과 물리검층 조사 자료
⑤ 초기 수압, 지상 주입 압력, 공내 순주입압력, 패커 압력, 시간 경과에 다른 주입 유량 변화 자료
⑥ 시험 구간의 투수량계수(T), 수리전도도(K), 저류 계수(S) 결정 방법, 해석 그래프 및 결과 자료
⑦ 기타 시험 과정에서의 특이 사항
4. 조사절차 적용사례
본 보고에서 소개한 정압주입시험 조사절차의 전 과정이 전남 영암 화산암 지역 내 고심도 시추공(심도 : 750 m)에서 적용되었다(Fig. 13). 암석 코어를 통한 조사에서 뚜렷한 파쇄대(fault zone)는 관찰되지 않았고, 일부 작은 균열이 유동 구조를 따라 발달하는 것을 확인하였다. 수직적인 암반 절리도 소수 존재하나 일반적인 화산암에서 관찰되듯 전체적으로 절리 발달이 미약한 massive rock의 형태를 보였다. 결론적으로 국부적인 소규모 파쇄대 및 암반 절리가 분포하나 전체적으로는 매우 견고한 암반 상태를 나타냈다. Fig. 13(b)에 나타나듯 구조지질 조사에서도 각종 구조선과 교차하지 않고 거리도 멀리 떨어진 것으로 확인되어, 풍화가 약한 신선한 암반 상태임을 간접적으로 추정할 수 있었다.
현장 시험은 시추코어와 초음파 주사검층 자료를 바탕으로 잠재적 투수성 암반 절리의 위치, 시추공 공벽 상태 등을 종합적으로 고려하여, 심도 730 m 상부 영역에서 투수성 절리 구간을 선정하여 수행하였다(Fig. 14). 특히 고심도로 갈수록 윈치 케이블의 늘어짐(elongation) 등의 변수가 발생할 수 있기 때문에 구간 선정 시, 후보 암반 절리들은 오차를 감안하여 최대한 패커 상하부 경계에서 멀리 떨어져 안정적으로 위치할 수 있도록 고려하였다. 시험 구간 길이(interval)는 암반 내 분포하는 불연속면의 빈도/특성과 패커의 안정적 장착 작업 등을 고려하여 3.2 m로 선정하였다. 본 과업에서 조사 심도는 공내 삽입부의 정중앙을 의미하는 위치로써 정확히는 패커와 패커 사이 인터벌의 정 가운데 지점을 의미한다.
본 현장 적용 연구에 사용된 장비는 한국지질자원연구원(KIGAM)이 자체적으로 설계 및 제작을 통해 구축한 통합 일체형 메인 프레임 기반 고심도 시추공 수리특성 조사 시스템(KHP, KIGAM-Hydraulic Packer Testing System)이다(Fig. 15). 메인 프레임 장치는 중량을 최소화하여 현장 이동성과 작업성을 향상시키도록 제작되었고, 전체적으로 시험 수행을 조율하는 컨트롤러 부분이 매우 간단하고 직관적으로 구성되어 시험자와 상관없이 시험 조작과 수행이 일관되고 이에 따라 결과 자료의 신뢰성을 보장할 수 있도록 제작되었다. 또한 시스템에 부착된 각종 압력-유량 센서들은 현 시점에서 상용화된 제품들 중 가장 높은 수준의 정확도와 신뢰도를 보유하도록 구성함으로써, 고정밀 수리특성시험 수행과 고품질 시험 자료 획득이 가능하도록 하였다.
Fig. 16은 KHP 조사 시스템의 상세 계통도 및 정압주입시험 모식도를 나타낸다. 본 시험 장비의 주요 기능과 특성은 다음과 같다.
① 안전하고 효율적인 시험을 위한 유체 주입 가압부-시스템 조절부-자료 획득부 통합 일체형 메인 프레임
② Control box-panel 모듈로써 지상/공내 주입 압력, 패커 팽창 압력, 펌프 토출/시추공 주입 유량 등 실시간 모니터링
③ 압력 변동(fluctuation)을 최소화하는 고성능 가압 펌프와 1차 압력-유량 제어 밸브 및 2차 감압시스템을 이용한 2단계 조절 시스템으로 주입 압력 기준 2~3 bar 이하 초정밀 가압 및 무변동 유지 가능
④ 고성능 저용량 펌프와 정밀 유량 센서를 이용해 저투수성 암반 조건에서 0.01 L/min(10 mL/min) 이하의 극저유량 주입 및 측정 가능
⑤ 100 bar급 downhole pressure sensor를 이용한 고심도 압력 시험 자료의 안정적 획득
⑥ 최대 조사 가능 고심도 1,100 m 내외
⑦ 정압주입시험 이외 펄스 시험과 정량주입시험 등에 다양하게 적용 가능한 multi hydraulic testing system
현장에서 시험을 수행하다 보면 예기치 못한 다양한 상황이 발생하게 되어 본래의 시험 목표나 내용을 수정해야 하는 일이 발생하기도 한다. 그러나 기본적으로 표준시험법에서 제시한 시험 절차를 일정하게 따라 시험을 수행하는 것은 수리특성 시험자료의 정확도와 신뢰도를 향상시키는데 있어 매우 중요한 요소이다. 실내 실험과는 다르게 현장 시험 특성 상 획득한 자료의 옳고 그름을 판단하는 기준이 되는 절대 값이 존재하지 않기 때문에, 표준화된 절차를 일관되게 준수하는 것이 반드시 필요하고, 최고 기술 선도국에서도 현장 수리 특성 시험에 관한 절차서를 표준화하기 위한 노력을 기울이고 있으며, 이를 준수하는 것을 권고하고 있다. 본 적용 현장에서 정압주입시험이 수행된 절차는 다음과 같다.
① 시험 구간 선정 및 잠재적 위험 구간 검토(시추 코어 및 초음파 주사검층 자료 활용)
② 현장 조사 시스템 사전 점검 및 세팅
- 메인 컨트롤러 및 서브 컨트롤러 점검(압력, 유량 센서 점검 및 모니터링 기능 점검)
- 패커부 가압 및 감압, 누수 및 압력 모니터링 점검
- 저압력/저유량에서부터 고압력/고유량 범위 컨트롤 기능 테스트
③ 장비 하차 후 조사 시스템 결합
④ 각종 호스(패커, 물 시료) 누수 여부 확인
⑤ 지표에서 현장 점검 테스트 수행
- 압력 및 유량 기능 등 현장 점검 테스트를 통한 시스템 신뢰도 확보
⑥ 시험 구간 패커 시스템 공내 삽입
- 상부 패커, 인터벌 등으로 구성된 패커부를 윈치와 압력 호스를 연결하여 시추공 내부로 이동 삽입
- 심도 변화에 따른 공내압력센서 정상 작동 여부 확인(심도와 정수압 크기 비교)
⑦ 시험 구간 도달 및 지하수위 안정화 이후 상부 패커 가압(고용량 펌프 사용)
- 패커 압력과 유량 실시간 모니터링을 통해 가압 상태를 확인(패커 압력은 25~30 bar 범위에서 팽창 및 고정)
⑧ 본 정압주입시험 수행
- 순주입압력을 2~3 bar 이하로 가압한 후, 15분 이상 기간으로 유지 및 측정(저용량 펌프 사용)
- 정압주입압력과 유량 이외에 다운홀 압력 및 지표 주입 압력 등도 함께 실시간 모니터링 수행
⑨ 측정 완료 후, 패커를 감압하여 다음 시험 구간으로 이동, ①~⑧과 동일한 절차로 반복하여 수리시험 수행
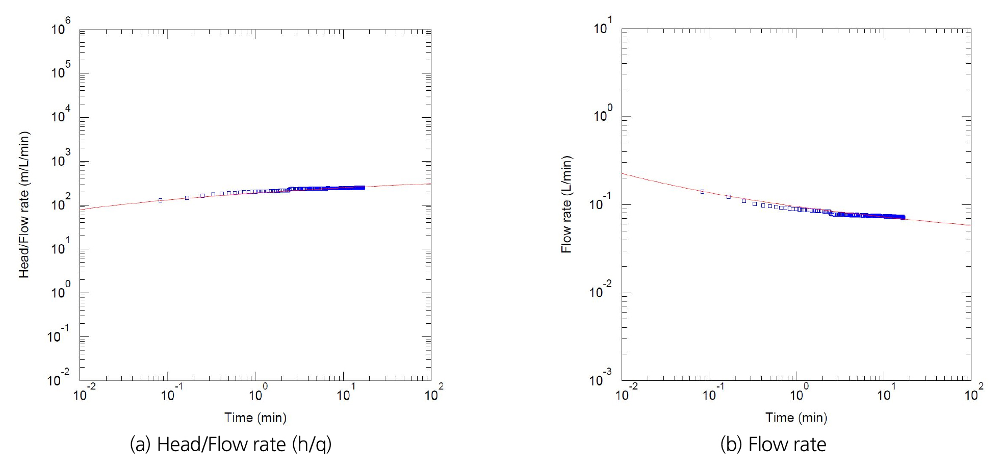
Fig. 17은 심도 276.4 m(274.8~278.0 m) 시험 구간에서 정압주입시험이 진행되는 동안 공내 및 지상 시스템 내 센서에서 측정된 압력 과 유량 변화 특성 자료를 나타낸다. 상하부 패커에 적용된 팽창 압력에 대한 실시간 모니터링 결과, 가압 및 안정화 이후 패커 순팽창압은 시험 종료 시까지 26~27 bar 범위에서 큰 변동성 없이 매우 안정적으로 유지되었다. 지표주입압력(Psi)은 시험 내내 2.18~2.22 bar의 값 범위로 정압을 형성하였으며, 공내측정압력(Pni)은 1.77~1.81 bar로 지표주입압에 비해 약 20% 정도 압력 손실이 발생된 상태로 정압이 유지되었다. 정압 형성 후, 지표와 공내 압력 변동성이 모두 3% 이내 수치를 보임으로써 거의 변동(fluctuation)이 없는 매우 안정적인 정압 형성 및 유지 결과를 나타냈다. 이는 관련 분야 세계 최고 기술 선도국(스웨덴 등)이 보유한 정압유지기능(압력 변동성 5% 이내)을 상회하는 성능으로써, 정압주입시험의 성공적인 수행과 자료 신뢰도 확보를 위한 중요한 필수 요소 중 하나이다.
Fig. 18은 심도 276.4 m(274.8~278.0 m) 시험 구간에서 순주입압력 1.8 bar로 유지한 조건에서 시험 중 측정된 구간 내 주입 유량 변화 상세 곡선을 나타낸다. 본 시험 구간에서는 가압 이후 큰 지연 없이 주입 압력이 정압 수준으로 바로 상승하면서, 유량 또한 불규칙한 유입 특성을 나타내지 않았고, 이를 통해 공벽 인접 영역(inner zone)의 수리학적 교란 특성인 스킨 효과(skin effect)가 거의 없는 상태임일 알 수 있다. 본 시험 구간에서 측정된 압력-유량 곡선은 정압주입시험의 가장 이상적(이론적)인 곡선 변화 형태를 보여준다. 주입 유량은 시험 직후, 1.0 L/min 수준까지 상승한 뒤 정압 조건이 유지되면서 빠르게 감소한 후에 시험이 끝날 때까지 0.07 L/min 수준에서 최종 안정화되는 경향을 나타냈다.
정압주입시험을 통해 획득한 압력-유량 자료에 대해 앞서 소개한 조사절차에 반영되어 있는 정상류 해석과 비정상류 해석을 함께 수행하였다. 정상류 해석에는 Moye(1967) 제안식을 사용하였고, 비정상류 해석에는 Jacob and Lohman(1952) 해석법과 Barker(1988)의 GRFM법을 이용하였다. 특히 GRFM방법에서는 측정자료인 Head/Flow rate(h/q)와 derivative(변동량 함수) 곡선을 유동 차원(flow dimension)에 맞추어, 시행착오적인 방식으로 표준곡선(type curve)에 매칭(matching)하는 반복 과정을 통해 최적의 수리물성 값을 산정하였다.
Table 1은 해석 결과 도출된 수리특성 값을 종합적으로 정리한 표이며, Fig. 19와 Fig. 20은 비정상류 해석법의 표준곡선중첩 결과를 보여준다. 정상류 해석에 의한 수리전도도 값은 1.53×10-8 m/s로 산정되었고, 비정상류 해석은 1.13×10-8~1.55×10-8 m/s 값 범위를 보였다. 두 비정상류 해석법 모두 실제 유량 측정 자료와 표준 곡선이 매우 높은 매칭 적합도를 나타냈으며, 이를 통해 본 시험 구간에서 정압주입시험으로 획득한 수리특성의 정확도와 신뢰도가 높은 것으로 판단할 수 있다.
Table 1.
Analysis results of constant pressure injection test
| Steady state analysis | Non-steady state (transient) analysis | ||
| Moye(1967) | Jacob & Lohman(1952) | Barker(1988) | |
| T (m2/s) | 4.91E-08 | 4.96E-08 | - |
| K (m/s) | 1.53E-08 | 1.55E-08 | 1.13E-08 |
| Ss (1/m) | - | - | 1.04E-08 |
| S | - | 5.49E-06 | - |
| Flow dimension (n) | - | - | 2.3 |
Fig. 21은 본 현장 시추공 시험 구간 중, 0.01 L/min(=10 mL/min) 이하의 극저유량이 주입되고 측정된 사례 결과를 보여준다. 그림에서 보이는 바와 같이, 이 시험 구간의 주입 유량은 A 구간에서 일시적으로 0.005 L/min(=5 mL/min) 수준까지 감소하였다가 약간 상승하여 0.008~0.010 L/min에서 최종 안정한 상태로 유지되었다. 이처럼 정압 유지 조건에서 발생하는 주입 유량의 불규칙성은 주입된 유체가 암반균열 내로 흘러들어가면서 다른 균열들과의 교차로 인한 유동 단면적의 변화나, 또는 주입시 미세 암석 파편들의 이동으로 인한 유동 통로 막힘 등의 원인으로 인해 발생할 수 있다. Fig. 21의 A 구간에서 측정된 0.005 L/min 유량 값은 본 조사 시스템 성능으로 측정할 수 있는 가장 낮은 수준의 유량이며, 이는 수리특성시험 관련 전 세계 최고 기술 선도국인 스웨덴에서 현장 측정한 극저유량 레벨과 유사한 수준을 나타낸다. 이 이하의 초저유량 값(< 0.005 L/min)은 펌프의 기계적 성능 한계 및 유량 센서의 측정 오차 범위 내에 들어가기 때문에 그 수치의 신뢰성을 보장하기 어렵다. 결론적으로, 실제 국내 현장 적용을 통해 본 조사 시스템이 0.01 L/min(= 10 mL/min) 이하 수준의 극저유량까지 안정적으로 자료 획득이 가능한 것으로 확인되었으며, 저투수성 균열암반대수층 환경에서 신뢰도 높은 수리특성 값을 성공적으로 획득할 수 있는 성능을 보유한 것으로 판단되었다.
5. 결론 및 제언
본 보고에서는 심부 암반대수층의 핵심 수리지질 평가인자인 수리전도도와 저류계수 등을 획득하기 위한 정압주입시험 조사절차와 이를 고심도 암반대수층 환경에서 적용한 연구 사례를 소개하였다. 본 보고에서 기술한 정압주입시험 조사절차는 국내 수리시험 사례 및 수행 연구 내용을 반영하여, 2022년도에 제안한 암반공학회 표준시험법 자료를 보완하고 구체화 한 것이다. 조사절차에는 조사 시스템의 필요 성능, 사전 점검 수행, 실제 본 수리시험 수행, 자료분석 및 해석에 이르는 일련의 과정들이 자세히 기술되어 있고 이를 통해 실제 국내 고심도 암반대수층 환경에서 정압주입시험의 적용성과 활용도를 높이고자 하였다.
본 조사절차와 자체적으로 개발 구축된 KHP 수리특성평가 조사 시스템을 활용하여 750 m급 고심도 화산암 암반대수층 시추공에서 정압주입시험을 수행하였다. 정압주입시험을 통한 자료 획득 시, 신뢰도 향상에 가장 중요한 요소인 정밀 정압 형성 및 유지와 극저유량 주입 및 측정 기능이 기술 선도국 수준에서 성공적으로 수행되었고, 압력-유량 자료를 이용한 자료 해석에서도 매우 높은 매칭 적합도를 보였다. 이처럼 조사 결과의 정확도와 신뢰도는 조사 시스템의 성능과 조사절차의 표준화와 밀접한 관계를 보이는 것으로 판단된다. 본 보고에서 제시한 조사절차는 조사 장치들의 성능 개선과 해석 방법의 고도화를 통해 수정 보완되고, 이를 국내 고심도 암반대수층 수리시험에 지속적으로 적용함으로써 보다 더 구체화되고 표준화 될 수 있을 것으로 기대된다.























