1. 서 론
2. 이론적 배경
2.1 암석의 열물성
2.2 고준위방사성폐기물 심층처분을 위한 국내외 암석 열물성 측정 사례
3. 실험 방법 및 재료
3.1 암석 채취 지역
3.2 암석 열물성 측정 방법
4. 결 과
4.1 TPS 및 LFA에 의한 열물성
4.2 심도에 따른 암석 열물성
5. 토 의
5.1 열전도도, 열확산율 상관관계
5.2 조암광물과 열전도도 상관관계
5.3 국내외 암석 열물성 자료 분석
6. 결 론
1. 서 론
원자력 에너지는 국내 전력 발전량의 30.7%를 차지하고 있다(KEEI, 2024). 원자력 발전 시 발생하는 사용후핵연료는 장기간 발생하는 열과 방사선으로 인해 발전소 내 사용후핵연료 저장조 및 건식 저장시설에 보관하고 있다. 2024년 기준 저장량은 536,577다발로 저장용량 674,024다발의 79.6%를 차지하고 있다(KHNP, 2024). 예상 저장용량 포화 시점은 한빛 2030년, 한울 2031년, 고리 2032년, 월성 2037년, 신월성 2042년, 새울 2066년이다(MOTIR, 2023). 따라서 저장용량 포화에 대응하고 장기적으로 안전하게 보관할 수 있는 영구처분 시설을 확보할 필요가있다. 국내는 선진 외국과 같이 심부 암반에 고준위방사성폐기물을 처분하는 심층처분 시스템이 고려되고 있다(KORAD, 2025). 심층 처분은 지하 500 m 이내의 암반층을 굴착 하여 처분하는 형식으로 자연방벽과 공학적 방벽으로 구성된다. 앞서 설명한 사용후핵연료 특성으로 인해 국내에서 제안된 공학적 방벽은 설계 기준 온도를 100℃ 이하로 설정하였다(Lee et al., 2020). 자연 방벽 또한 장기간 열에 노출되면 암반의 역학적 특성이 변하고 주변 자연환경에 영향을 미칠 수 있다. 또한 암반의 열물성에 따라 처분공 설계 간격과 배치가 달라지며, 필요한 처분부지 면적 등이 변하기 때문에, 처분부지 선정 시 암반의 열물성을 파악하여야 한다. 하지만 측정 사례가 해외에 비해 매우 부족하며 심층처분을 위한 기초 자료를 확보하기 위해서는 다양한 지역에서 심부 암반 열물성 연구가 필요하다.
본 연구에서는 심부 암반의 다양한 특성을 파악하기 위하여 화강암 지대에 위치한 남원, 원주, 춘천 지역에서 750 m 시추공을 굴착하여 NQ3K 코어를 확보하였다. 회수 코어를 활용하여 비정상상태 측정 방법인 Laser flash method (LFA), Transient plane source method (TPS)로 열전도도, 열확산율, 비열을 측정하고, 각 열물성 사이 상관관계를 분석하였다. 그리고 XRD 분석을 통해 산정된 조암광물 구성으로부터 조암광물이 열전도도에 미치는 영향을 분석하였다.
2. 이론적 배경
2.1 암석의 열물성
열전도도 λ(Thermal conductivity, W/mK)는 전도를 통해 열이 전달되는 정도를 나타내는 지표로 단위 두께 dχ의 판에 단위 온도차 dT가 있을 때 단위 시간당 전달되는 열량 qχ″(heat flux, W/m2)으로 식 (1)과 같이 나타낼 수 있다(Yim et al., 2022).
열전도도를 측정하는 대표적인 방법으로 Divided bar method (DBM), LFA, TPS, Guarded hot plate, heat-flow meter method, Thermal needle probe 등이 있다(Yim et al., 2022).
열확산율 α(Thermal diffusivity, m2/s)는 시간 t에 따라 열 T가 전달되는 정도를 나타내는 지표로, 식 (2)으로 나타낼 수 있다.
열확산율 α는 식 (3)과 같이 열전도도와 밀도 ρ(kg/m3), 비열 cp(J/kgK)의 비로도 정의된다.
비열 cp(Specific heat, J/kgK)은 단위 질량의 물체를 단위 온도만큼 올리는 데 필요한 열량이다. 앞서 서술된 식 (3)을 통해 계산하거나 Calorimeter를 사용해 측정할 수 있다. 비열과 밀도의 곱은 열을 저장하는 능력을 나타내는 용적 열용량(Volumetric heat capacity, J/m3k)으로 정의된다.
2.2 고준위방사성폐기물 심층처분을 위한 국내외 암석 열물성 측정 사례
고준위방사성폐기물은 장기간 열을 발생시켜 심층 처분 부지 선정 및 설계 시 암석의 열물성 파악이 필수적이라서 다양한 연구가 오래전부터 수행되었다. Birch and Clark(1940)은 암석의 온도가 열전도도에 미치는 영향을 파악하였으며, Woodside and Messmer(1961)은 공극률이 감소할수록, 압력이 증가할수록 열전도도가 증가하는 상관관계를 파악하였다. Horai and Simmons(1969), Touloukian et al.(1971)은 암석을 구성하고 있는 조암광물의 열전도도를 산출하였고, Roy et al.(1981)와 Frederic and Guy(1989)은 조암광물이 열전도도에 미치는 영향을 분석하였다. 그 결과, 열전도도가 높은 광물의 함량이 열전도도의 증가에 영향을 주고 있음을 확인하였다. 그리고 세계 최초로 심층처분장을 건설하여 2026년에 운영을 시작할 예정인 핀란드는 부지 선정 및 건설 전반에 걸쳐 처분장의 암석 열물성을 조사하였다. POSIVA(2011)는 12개 시추공에서 350~550 m 심도의 암석 시료 392개를 확보하고, DBM을 사용하여 열전도도, 열확산율을 측정하였고, Calorimeter를 사용하여 비열을 측정하고, 암종, 엽리 각도에 따른 열물성을 파악하였다. POSIVA(2013)는 시추공 2공에서 각각 380~480 m, 380~500 m 심도 범위에 현장 측정장치(Thermal Properties Measurement, TERO)를 통해 현장에서 직접 열전도도, 열확산율을 측정하였다.
국내에서는 천부의 암석에 대해서만 LFA를 사용하여 열확산율, 열전도도를 측정하고, XRD 분석을 수행하여 열물성과 조암광물 사이 상관관계를 확인하였다(Cha et al., 2007, Park et al., 2007, Park et al., 2009). Cha et al.(2007)은 한국원자력연구원 부지 내의 지하처분연구시설(KURT)에서 심도 23~234 m에서 획득한 화강암을 TPS 방법으로 열전도도를 측정하고 공극률, 심도, 함수비와 열전도도 사이 연관성을 파악하였다. Oh et al.(2011)은 화산암을 사용하여 DBM과 LFA의 열전도도 측정값 비교 및 장단점을 정리하였다. Kwon et al.(2011)은 KURT 내에서 시추공 히터 실험을 통해 열전도도, 열전달계수, 열팽창계수를 측정하였다. Kim et al.(2012)는 DBM을 사용하여 아산 편마암, 보령 셰일, 연천 편암의 열전도도를 측정하여 엽리 및 층리에 의한 열전도도 이방성을 확인하였다. Kim et al.(2014)는 대전, 연기(현 세종시)에서 각각 300 m, 200 m 시추공의 화강암의 열확산율, 열전도도를 LFA로 측정하고 XRD, XRF 분석을 실시하였다. Choi et al.(2025)는 KURT 인근 심도 395~430 m 구간의 화강암 시편 34개를 채취하여 DBM로 열전도도, 온도조건을 변경하는 방식의 Transient DBM으로 열확산율과 비열, Strain gage method로 열팽창계수를 측정하였다. 위와 같이, 국내 연구는 Cho et al.(2008) 및 Kim et al.(2014)을 제외하면 대부분 저심도에 머물러 있어 심층에 있는 암석의 열물성 연구가 부족하다. 따라서 본 연구에서는 남원, 원주, 춘천에서 750 m까지 시추하여 확보한 화강암 암석을 TPS, LFA로 열확산율, 열전도도, 비열을 산출하였다. 그리고 XRD 분석을 통해 열전도도와 조암광물 사이 상관관계를 확인하였다.
3. 실험 방법 및 재료
3.1 암석 채취 지역
본 연구를 위해 전국을 경상분지, 영남육괴, 경기육괴, 옥천대로 구분하였다. 채취 지역은 4개로 구분된 지체구조와 처분 가능 암종인 화강암, 편마암, 퇴적암, 화산암으로 구분한 후, 고준위방사성폐기물 심층처분과 관련하여 시추가 수행된 지역을 선정하였다(Fig. 1). 선정된 지역은 남원, 원주, 춘천으로 암상은 모두 화강암류이며 지질시대는 중생대 쥐라기이다. 심층처분시설이 위치하게 될 예상 심도는 500 m이므로, 이보다 더 깊은 심도까지 시추하여 열물성을 파악할 필요가 있어 750 m까지 시추를 진행하였다. 회수된 코어는 NQ3K 규격이며 약 50 m 간격으로 확보하여 건조 상태에서 열물성을 측정하였다.
3.2 암석 열물성 측정 방법
암석의 열전도도를 측정하는 방법은 정상상태(steady state), 비정상상태(transient state)로 구분할 수 있다(Yim et al., 2022). 정상상태 측정은 시편 온도를 일정하게 유지하면서 측정하는 방식으로 Benfield(1939)가 제안한 DBM이 대표적이다. 비정상상태 측정은 시편에 특정 시간 동안 열을 가하면서 온도 변화를 측정하는 방식이다. 대표적인 방법으로 LFA (Fig. 2), TPS (Fig. 3), 가 있다. 본 연구에서는 LFA, TPS를 사용하여 암석의 열물성을 측정하였다.
TPS는 Gustafsson(1991)이 제시한 방법으로 ISO-22007-2에 의해 표준화되어 있다(ISO, 2008). 시편 크기는 센서 직경보다 커야 하며 본 실험에서는 지름 50 mm, 높이 20∼25 mm의 원기둥형 시편을 사용하였다. 센서는 나선 형태의 니켈로 구성된 얇은 금속 막 형태로 두 암석 시료 사이에 넣은 뒤 특정 시간 동안 특정 출력을 주면서 시편에 열을 가한다. 이때 센서는 시편의 온도 변화를 측정한다. 이때 측정된 시간에 따른 온도변화를 통해 열전도도와 열확산율을 산출한다. 비열은 식 (3)을 사용하여 산출하였다. LFA는 Parker et al.(1961)이 제시한 방법으로 ASTM E1461 표준을 따른다(ASTM, 2001). 시편 크기는 직경 10~12.5 mm, 높이 1~6 mm이다. 본 방법은 시편에 특정 시간 동안 레이저 펄스를 가한 뒤 시편 후면의 온도 변화를 측정하여 열확산율과 비열을 산출한다. 그리고 식 (3)을 통해 열전도도를 계산하였다. 모든 실험은 상온에서 실시 되었다.
4. 결 과
4.1 TPS 및 LFA에 의한 열물성
본 실험에서 시편의 체적은 버니어 캘리퍼를 사용하여 측정하였다. 공극률 및 비중은 시편 수침 48시간 이상 실시 후 포화 질량 측정, 105 ℃에서 24시간 이상 시편 건조 후 측정한 질량으로 산출하였다. Table 1은 남원에서 채취한 화강암의 기본 물성, 열전도도, 열확산율, 비열을 나타내며, 열물성 측정은 TPS로 수행하였다.
Table 1.
Namwon granite basic properties and thermal properties
Table 2는 원주 화강암의 기본 물성 및 LFA로 측정한 열물성이다. 그리고 Table 3은 TPS로 측정한 열물성으로 LFA측정 결과와 비교를 통해 장비에 따른 열물성 차이에 관해 확인하였다.
Table 2.
Wonju (LFA) granite basic properties and thermal properties
Table 3.
Wonju (TPS) granite basic properties and thermal properties
Table 4는 춘천 화강암의 기본 물성 및 열전도도, 열확산율, 비열로 열물성 측정 방법은 원주 화강암과 동일한 LFA를 활용하였다.
Table 4.
Chuncheon granite basic properties and thermal properties
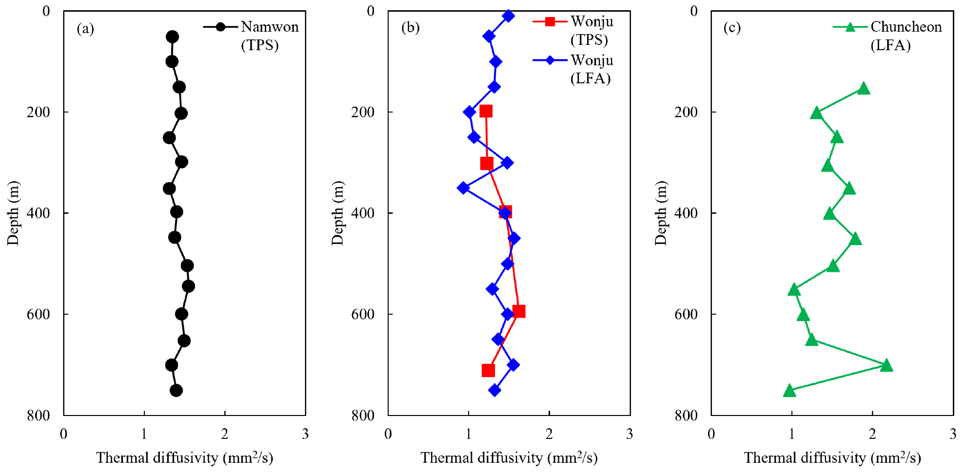
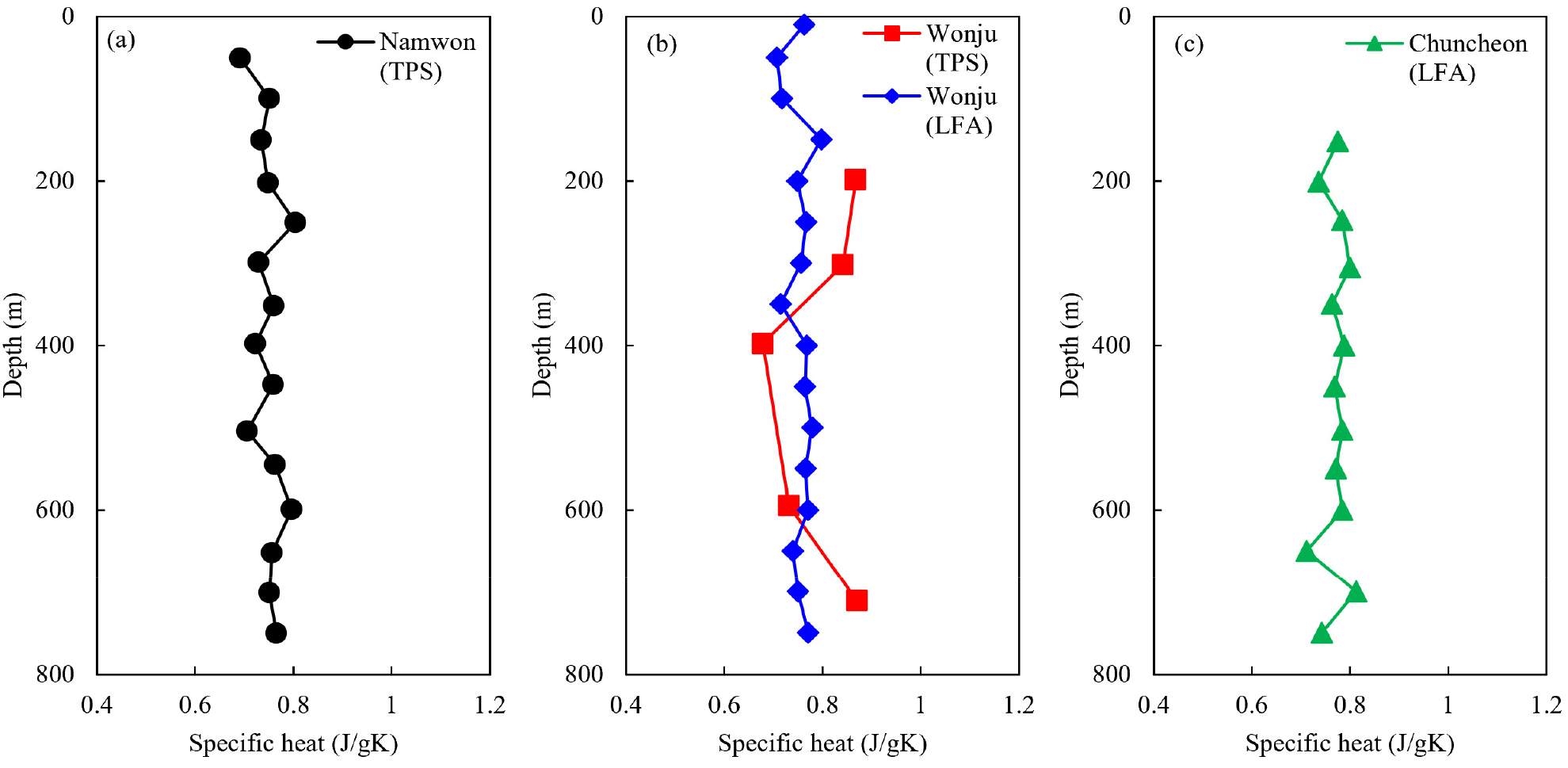
4.2 심도에 따른 암석 열물성
본 연구의 목적은 500 m 내외의 심도에서 이루어지는 심층처분 시설을 위한 국내 심층 암반의 열물성 평가이다. 따라서 750 m까지 시추한 뒤 50 m 간격으로 열전도도, 열확산율, 비열을 산출하여 심도에 따른 열물성을 확인하였다. Fig. 4, Fig. 5 및 Fig. 6은 심도에 따른 열전도도, 열확산율, 비열을 각각 나타낸다. Fig. 4, 5, 6의 (a), (b), (c)는 각각 남원, 원주, 춘천이다. 세 지역 모두 심도에 따른 열전도도, 열확산율, 비열의 경향성은 나타나지 않았다.
Fig. 4(b)는 TPS 및 LFA 방법을 활용한 열전도도를 나타낸다. 동일 시추공의 유사 심도에서 획득한 코어이지만 열물성 시험에 사용된 시료가 완전히 동일하지 않아 조암광물 구성이나 공극률 등에서 차이가 존재하는 것을 고려하면, 측정 방법에 따른 차이는 측정된 열물성 범위를 고려할 때 무시할 수 있는 수준으로 판단된다. 남원은 원주 및 춘천에 비해 상대적으로 심도에 따른 열전도도, 열확산율, 비열의 변화가 작게 나타나고 있다. TPS보다 LFA의 오차가 큰 이유는 LFA 방식에서 Laser pulse로 열을 가할 시 암석 시료의 전면, 후면부의 표면이 공극 분포나 광물 조성이 다를 경우 열전달이 반사 및 산란 작용으로 인한 오차가 발생한 것으로 판단된다(Oh et al., 2011).
5. 토 의
5.1 열전도도, 열확산율 상관관계
식 (3)에 따르면 열전도도와 열확산율은 비례 관계를 맺으며 본 실험을 통해서도 확인되었다. Fig. 7은 열전도도에 따른 열확산율 그래프로 남원, 원주, 춘천 모두 열전도도가 증가할수록 열확산율이 증가하는 경향을 보인다. 이는 핀란드 Olkiluoto 지역에서 DBM으로 측정한 열전도도, 열확산율에서도 동일하게 증가하는 경향이 확인되었다(POSIVA, 2011). 핀란드 Olkiluoto 및 국내 자료의 기울기는 유사하나, 핀란드 Olkiluoto가 동일한 열전도도에서 상대적으로 높은 열확산율을 나타내고 있다. 그 이유는 핀란드의 비열(0.69 J/gK)이 본 연구(0.76 J/gK)에서 측정된 비열보다 낮기 때문이다.
5.2 조암광물과 열전도도 상관관계
열전도도에 영향을 주는 인자는 공극률, 함수비, 조암광물, 온도, 압력 등이 있다. 결정질암은 좁은 공극의 범위 내에서 열전도도 범위가 크게 나타나 조암광물 구성 비율의 영향이 공극에 의한 영향보다 더 크게 작용하는 것으로 보고되어 있다(Kim et al., 2014). 본 연구에서 사용한 화강암 또한 결정질암으로 열전도도에 대한 조암광물의 영향이 클 것으로 예상된다. Table 5와 같이 조암광물의 열전도도를 정리하였다(Clauser and Huenges, 1995). Table 6은 본 연구에서 측정한 암석 XRD 결과다.
Table 5.
Thermal conductivity of mineral (Clauser and Huenges, 1995)
| Mineral | Thermal conductivity (W/mK) |
| Quartz | 7.69 |
| Chlorite | 5.15 |
| Megnetite | 5.10 |
| Calcite | 3.59 |
| Hornblende | 2.81 |
| Microcline | 2.49 |
| Orthoclase | 2.31 |
| Muscovite | 2.28 |
| Albite | 2.14 |
| Biotite | 2.02 |
Table 6.
XRD results of granite
암석은 수많은 조암광물 입자로 구성되어 동일한 암석일지라도 조암광물의 구성 비율에 따라 열전도도가 크게 달라진다. 조암광물 중 하나인 석영은 높은 열전도도(7.7 w/mK)를 가져 암석의 열전도도와 큰 상관관계를 가진다(Horai and Simmons, 1969). 석영은 화강암을 구성하는 주요한 조암광물이다. 따라서 석영 함량에 따른 열전도도를 분석한 결과, 석영 함량이 증가함에 따라 열전도도가 증가하는 경향을 보였다(Fig. 8). 춘천 지역 화강암 시료 사이의 석영 함량 차이는 다른 지역에 비해 컸으며, 이는 Fig. 5의 심도에 따른 열전도도와 열확산율의 큰 변화에 영향을 준 것으로 추정된다. 조장석(Albite)과 미사장석(Microcline) 또한 화강암을 구성하는 조암광물로, 석영과 반대로 낮은 열전도도(조장석 2.14 W/mK, 미사장석 2.49 W/mK)를 가진다. 석영의 영향과 달리, 조장석과 미사장석 함량을 더한 값이 증가할수록 열전도도는 감소하는 경향을 보인다(Fig. 9). 그리고 암석을 구성하고 있는 모든 조암광물을 반영하기 위해 열전도도 5 W/mK를 기준으로 열전도도가 높은 광물과 낮은 광물의 함량비(Correlation of Mineral Content Ratio of High Conductivity and Low Conductivity-MCR of HC and LC)를 산출하였다(Fig. 10). 해당 함량비 또한 열전도도가 높은 광물이 분자에 위치해 함량비가 증가할수록 열전도도가 증가하여야 하며 실제 결과는 이와 동일하게 나타났다.
5.3 국내외 암석 열물성 자료 분석
본 연구에서 측정된 열전도도를 국내외 발표된 자료와 함께 비교하였다(Kim et al., 2014, Cho et al., 2008, POSIVA, 2011, Choi et al., 2025)(Fig. 11). 그래프 이미지로부터 데이터를 추출할 수 있는 get data 프로그램을 사용하여 국내 발표된 데이터를 확보하였다. 본 연구 측정값은 이전에 발표된 국내 자료와 유사한 값을 나타내고 있으며, 핀란드 POSIVA가 처분심도 부근에서 측정한 자료와도 유사한 값을 나타내고 있다. 이는 국내 화강암의 열물성이 국외 결정질암의 특성과 유사함을 의미한다. 또한 국내 화강암의 경우 천부에서 심부까지 심도에 따른 열물성의 변화는 뚜렷한 차이를 보이지 않고 유사한 경향을 보이는 것으로 나타났다.
6. 결 론
본 연구에서는 국내 심부 화강암반의 열물성을 측정 및 분석을 목표로 하였다. 이를 위해 화강암이 분포한 남원, 원주, 춘천에서 지하 750 m 시추를 통해 약 50 m 간격으로 시료를 확보하였다. 확보한 시료로 기본 물성, 비정상상태 측정 방법인 TPS, LFA 및 식 (3)을 사용하여 열전도도, 열확산율, 비열을 산출하였다. 그리고 TPS와 LFA의 측정값 비교를 통해 측정 방법에 따른 결과 차이를 확인하고 신뢰도를 확보하였다.
세 지역에서 결과로부터 열전도도, 열확산율, 비열은 심도에 따라 경향성이 보이지 않았다. 열전도도에 따른 열확산율을 분석하였고 두 인자는 서로 비례하는 것을 확인하였다. 이러한 경향은 (POSIVA, 2011)에서도 동일하게 나타났다. 열전도도에 영향을 주는 주요한 인자로 알려진 조암광물의 영향을 확인하기 위해, XRD 분석을 통해 산출된 조암광물 함량비를 확인하고 그중 열전도도가 큰 석영(7.7 W/mK)과 열전도도가 작은 조장석(2.14 W/mK)과 미사장석(2.49 W/mK)의 함량비의 합에 따른 열전도도를 분석하였다. 분석 결과 석영 함량이 증가할수록, 조장석과 미사장석 함량의 합이 감소할수록 열전도도가 증가하는 경향을 보였다. 암석을 구성하고 있는 모든 조암광물을 반영하기 위해 열전도도 5 W/mK를 기준으로 열전도도가 높은 광물 함량과 낮은 광물 함량의 비를 열전도도와 비교하여 비례 관계인 것을 확인하였다. 따라서 조암광물 함량비를 통해 암석의 열전도도를 추정할 수 있을 것으로 예상된다. 이번 연구 측정값과 국내외 자료를 비교하였을 때 열전도도 범위는 유사하게 나타났으며 심도에 따른 경향성은 없었다. 본 연구에서는 국내 심부 화강암의 열물성 측정 및 분석을 수행하였다. 하지만 심부 환경을 재현하기 위한 응력 조건과 이에 따른 열물성 변화, 포화 유무, 지열과 고준위방사성폐기물 붕괴열에 의한 온도 조건을 고려하지 않은 한계성도 존재해 추후 관련 연구가 필요하다. 본 연구 결과는 국내 심부 암석의 열적 특성을 이해하고 고준위방사성폐기물 처분을 위한 심층처분장 부지 선정 및 건설 시 중요한 기초 자료로 작용할 수 있을 것으로 기대된다.














